Riaz Sundus, Fatima Nosheen, Rasheed Ahmed, Riaz Mehvish, Anwar Faiza, Khatoon Yamna
Department of Biomedical Engineering and Sciences, National University of Sciences & Technology, Islamabad, Pakistan.
Pakistan Agricultural Research Council, FQSRI, SARC, Karachi, Pakistan.
Int J Biomater. 2018 Sep 13;2018:1963024. doi: 10.1155/2018/1963024. eCollection 2018.
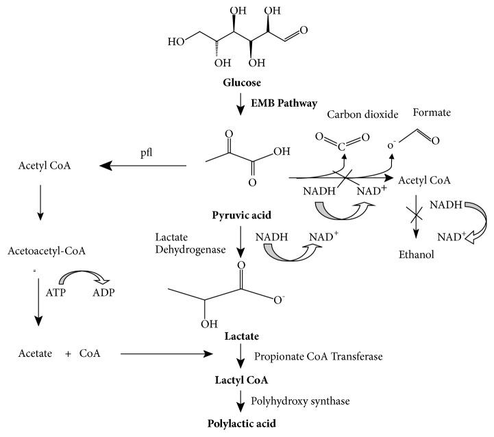
Polylactic acid (PLA) is a biodegradable thermoplastic polyester. In 2010, PLA became the second highest consumed bioplastic in the world due to its wide application. Conventionally, PLA is produced by direct condensation of lactic acid monomer and ring opening polymerization of lactide, resulting in lower molecular weight and lesser strength of polymer. Furthermore, conventional methods of PLA production require a catalyst which makes it inappropriate for biomedical applications. Newer method utilizes metabolic engineering of microorganism for direct production of PLA through fermentation which produces good quality and high molecular weight and yield as compared to conventional methods. PLA is used as decomposing packaging material, sheet casting, medical implants in the form of screw, plate, and rod pin, etc. The main focus of the review is to highlight the synthesis of PLA by various polymerization methods that mainly include metabolic engineering fermentation as well as salient biomedical applications of PLA.
聚乳酸(PLA)是一种可生物降解的热塑性聚酯。2010年,由于其广泛应用,PLA成为全球消费量第二高的生物塑料。传统上,PLA是通过乳酸单体的直接缩聚和丙交酯的开环聚合生产的,这导致聚合物分子量较低且强度较小。此外,传统的PLA生产方法需要催化剂,这使其不适用于生物医学应用。更新的方法利用微生物的代谢工程通过发酵直接生产PLA,与传统方法相比,该方法可生产出质量好、分子量高且产量高的PLA。PLA用作可分解包装材料、片材浇铸、螺丝、板和棒销等形式的医疗植入物。本综述的主要重点是突出通过各种聚合方法合成PLA,这些方法主要包括代谢工程发酵以及PLA的显著生物医学应用。