• 文献检索
  • 文档翻译
  • 深度研究
  • 学术资讯
  • Suppr Zotero 插件Zotero 插件
  • 邀请有礼
  • 套餐&价格
  • 历史记录
应用&插件
Suppr Zotero 插件Zotero 插件浏览器插件Mac 客户端Windows 客户端微信小程序
定价
高级版会员购买积分包购买API积分包
服务
文献检索文档翻译深度研究API 文档MCP 服务
关于我们
关于 Suppr公司介绍联系我们用户协议隐私条款
关注我们

Suppr 超能文献

核心技术专利:CN118964589B侵权必究
粤ICP备2023148730 号-1Suppr @ 2026

文献检索

告别复杂PubMed语法,用中文像聊天一样搜索,搜遍4000万医学文献。AI智能推荐,让科研检索更轻松。

立即免费搜索

文件翻译

保留排版,准确专业,支持PDF/Word/PPT等文件格式,支持 12+语言互译。

免费翻译文档

深度研究

AI帮你快速写综述,25分钟生成高质量综述,智能提取关键信息,辅助科研写作。

立即免费体验

应激对大鼠行为和静息态 fMRI 的影响及替米沙坦治疗应激诱导抑郁模型的评价。

Effects of stress on behavior and resting-state fMRI in rats and evaluation of Telmisartan therapy in a stress-induced depression model.

机构信息

School of Traditional Chinese Medicine, Capital Medical University, Beijing, 100069, China.

Beijing University of Chinese Medicine, Beijing, 100029, China.

出版信息

BMC Psychiatry. 2018 Oct 17;18(1):337. doi: 10.1186/s12888-018-1880-y.

DOI:10.1186/s12888-018-1880-y
PMID:30333002
原文链接:https://pmc.ncbi.nlm.nih.gov/articles/PMC6192217/
Abstract

BACKGROUND

The etiology of depression and its effective therapeutic treatment have not been clearly identified. Using behavioral phenotyping and resting-state functional magnetic resonance imaging (r-fMRI), we investigated the behavioral impact and cerebral alterations of chronic unpredictable mild stress (CUMS) in the rat. We also evaluated the efficacy of telmisartan therapy in this rodent model of depression.

METHODS

Thirty-two rats were divided into 4 groups: a control group(C group), a stress group(S group), a stress + telmisartan(0.5 mg/kg)group (T-0.5 mg/kg group) and a stress + telmisartan(1 mg/kg) group (T-1 mg/kg group). A behavioral battery, including an open field test (OFT), a sucrose preference test (SPT), and an object recognition test (ORT), as well as r-fMRI were conducted after 4 weeks of CUMS and telmisartan therapy. The r-fMRI data were analyzed using the amplitude of low-frequency fluctuations (ALFF) and regional homogeneity (ReHo) approach. The group differences in the behavior and r-fMRI test results as well as the correlations between these 2 approaches were examined.

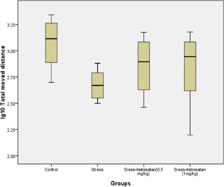
RESULTS

CUMS reduced the number of rearings and the total moved distance in OFT, the sucrose preference in SPT, and novel object recognition ability in ORT. The telmisartan treatment (1 mg/kg) significantly improved B-A/B + A in the ORT and improved latency scores in the OFT and SPT. The S group exhibited a decreased ReHo in the motor cortex and pons, but increased ReHo in the thalamus, visual cortex, midbrain, cerebellum, hippocampus, hypothalamus, and olfactory cortex compared to the C group. Telmisartan (1 mg/kg)reversed or attenuated the stress-induced changes in the motor cortex, midbrain, thalamus, hippocampus, hypothalamus, visual cortex, and olfactory cortex. A negative correlation was found between OFT rearing and ReHo values in the thalamus. Two positive correlations were found between ORT B-A and the ReHo values in the olfactory cortexand pons.

CONCLUSIONS

Telmisartan may be an effective complementary drug for individuals with depression who also exhibit memory impairments. Stress induced widespread regional alterations in the cerebrum in ReHo measures while telmissartan can reverse part of theses alterations. These data lend support for future research on the pathology of depression and provide a new insight into the effects of telmisartan on brain function in depression.

摘要

背景

抑郁症的病因及其有效治疗方法尚未明确。本研究采用行为表型和静息态功能磁共振成像(r-fMRI)技术,观察慢性不可预测轻度应激(CUMS)对大鼠的行为影响和脑区改变,并评估替米沙坦治疗该抑郁模型的疗效。

方法

32 只大鼠随机分为 4 组:对照组(C 组)、应激组(S 组)、应激+替米沙坦(0.5mg/kg)组(T-0.5mg/kg 组)和应激+替米沙坦(1mg/kg)组(T-1mg/kg 组)。经过 4 周 CUMS 和替米沙坦治疗后,进行行为学测试(旷场实验、糖水偏好实验、物体识别实验)和 r-fMRI 检查。r-fMRI 数据采用低频振幅(ALFF)和局部一致性(ReHo)分析方法进行分析。比较各组行为学和 r-fMRI 结果的差异,并分析两者之间的相关性。

结果

CUMS 降低了旷场实验中的后肢站立次数和总运动距离、糖水偏好实验中的糖水偏好率以及物体识别实验中的新物体识别能力。替米沙坦(1mg/kg)治疗显著提高了物体识别实验中的 B-A/B+A 比值,并改善了旷场实验和糖水偏好实验中的潜伏期评分。与 C 组相比,S 组运动皮质和脑桥的 ReHo 值降低,而丘脑、视皮质、中脑、小脑、海马、下丘脑和嗅皮质的 ReHo 值升高。替米沙坦(1mg/kg)治疗逆转或减轻了 CUMS 引起的运动皮质、中脑、丘脑、海马、下丘脑、视皮质和嗅皮质的变化。旷场实验中的后肢站立次数与丘脑的 ReHo 值呈负相关,物体识别实验中的 B-A 与嗅皮质和脑桥的 ReHo 值呈正相关。

结论

替米沙坦可能是一种有效的补充药物,可用于治疗伴有记忆障碍的抑郁症患者。应激导致大脑在 ReHo 测量中广泛区域改变,而替米沙坦可以逆转其中的部分改变。这些数据为进一步研究抑郁症的发病机制提供了支持,并为替米沙坦治疗抑郁症的脑功能提供了新的见解。

https://cdn.ncbi.nlm.nih.gov/pmc/blobs/8ed1/6192217/ea5dad00adf3/12888_2018_1880_Fig6_HTML.jpg
https://cdn.ncbi.nlm.nih.gov/pmc/blobs/8ed1/6192217/7b50ffbfd1d3/12888_2018_1880_Fig1_HTML.jpg
https://cdn.ncbi.nlm.nih.gov/pmc/blobs/8ed1/6192217/4b169be0ee57/12888_2018_1880_Fig2_HTML.jpg
https://cdn.ncbi.nlm.nih.gov/pmc/blobs/8ed1/6192217/66d8002341e4/12888_2018_1880_Fig3_HTML.jpg
https://cdn.ncbi.nlm.nih.gov/pmc/blobs/8ed1/6192217/b725fc6647e4/12888_2018_1880_Fig4_HTML.jpg
https://cdn.ncbi.nlm.nih.gov/pmc/blobs/8ed1/6192217/432c032bbacf/12888_2018_1880_Fig5_HTML.jpg
https://cdn.ncbi.nlm.nih.gov/pmc/blobs/8ed1/6192217/ea5dad00adf3/12888_2018_1880_Fig6_HTML.jpg
https://cdn.ncbi.nlm.nih.gov/pmc/blobs/8ed1/6192217/7b50ffbfd1d3/12888_2018_1880_Fig1_HTML.jpg
https://cdn.ncbi.nlm.nih.gov/pmc/blobs/8ed1/6192217/4b169be0ee57/12888_2018_1880_Fig2_HTML.jpg
https://cdn.ncbi.nlm.nih.gov/pmc/blobs/8ed1/6192217/66d8002341e4/12888_2018_1880_Fig3_HTML.jpg
https://cdn.ncbi.nlm.nih.gov/pmc/blobs/8ed1/6192217/b725fc6647e4/12888_2018_1880_Fig4_HTML.jpg
https://cdn.ncbi.nlm.nih.gov/pmc/blobs/8ed1/6192217/432c032bbacf/12888_2018_1880_Fig5_HTML.jpg
https://cdn.ncbi.nlm.nih.gov/pmc/blobs/8ed1/6192217/ea5dad00adf3/12888_2018_1880_Fig6_HTML.jpg

相似文献

1
Effects of stress on behavior and resting-state fMRI in rats and evaluation of Telmisartan therapy in a stress-induced depression model.应激对大鼠行为和静息态 fMRI 的影响及替米沙坦治疗应激诱导抑郁模型的评价。
BMC Psychiatry. 2018 Oct 17;18(1):337. doi: 10.1186/s12888-018-1880-y.
2
Glutamate Chemical Exchange Saturation Transfer Imaging and Functional Alterations of Hippocampus in Rat Depression Model: A Pilot Study.谷氨酸化学交换饱和转移成像与大鼠抑郁模型中海马体的功能改变:一项初步研究
J Magn Reson Imaging. 2021 Dec;54(6):1967-1976. doi: 10.1002/jmri.27850. Epub 2021 Jul 22.
3
Telmisartan Activates PPARδ to Improve Symptoms of Unpredictable Chronic Mild Stress-Induced Depression in Mice.替米沙坦通过激活过氧化物酶体增殖物激活受体 δ 改善不可预知慢性温和应激诱导的抑郁小鼠的症状。
Sci Rep. 2017 Oct 25;7(1):14021. doi: 10.1038/s41598-017-14265-4.
4
Chronic harmine treatment has a delayed effect on mobility in control and socially defeated rats.慢性哈梅林治疗对对照组和社交挫败组大鼠的运动能力有延迟作用。
Psychopharmacology (Berl). 2020 Jun;237(6):1595-1606. doi: 10.1007/s00213-020-05483-2. Epub 2020 Feb 22.
5
Voluntary wheel running ameliorates depression-like behaviors and brain blood oxygen level-dependent signals in chronic unpredictable mild stress mice.自愿轮转运动可改善慢性不可预测轻度应激小鼠的抑郁样行为和脑血氧水平依赖信号。
Behav Brain Res. 2017 Jul 14;330:17-24. doi: 10.1016/j.bbr.2017.05.032. Epub 2017 May 17.
6
Changes in Male Rat Sexual Behavior and Brain Activity Revealed by Functional Magnetic Resonance Imaging in Response to Chronic Mild Stress.慢性轻度应激对雄性大鼠性行为和脑活动的影响:功能磁共振成像研究
J Sex Med. 2018 Feb;15(2):136-147. doi: 10.1016/j.jsxm.2017.11.221. Epub 2017 Dec 21.
7
Dynamic changes in thalamic connectivity following stress and its association with future depression severity.应激后丘脑连接的动态变化及其与未来抑郁严重程度的关系。
Brain Behav. 2019 Dec;9(12):e01445. doi: 10.1002/brb3.1445. Epub 2019 Oct 25.
8
[Regional homogeneity in the patients of irritable bowel syndrome complicated with depression: a resting-state functional magnetic resonance imaging study].肠易激综合征合并抑郁症患者的局部一致性:一项静息态功能磁共振成像研究
Zhonghua Yi Xue Za Zhi. 2018 Jan 16;98(3):196-201. doi: 10.3760/cma.j.issn.0376-2491.2018.03.008.
9
High throughput mRNA sequencing reveals potential therapeutic targets of Si-Ni-San in the pons for a stress-induced depression model.高通量mRNA测序揭示了四逆散在应激诱导抑郁模型中pons的潜在治疗靶点。
Front Pharmacol. 2024 Jul 29;15:1383624. doi: 10.3389/fphar.2024.1383624. eCollection 2024.
10
Feasibility of focal cerebral ischemia and reperfusion surgery combined with chronic unpredictable mild stress to simulate the post-stroke depressive state in rats.局灶性脑缺血再灌注手术联合慢性不可预测轻度应激模拟大鼠脑卒中后抑郁状态的可行性
Behav Brain Funct. 2015 Dec 24;11:39. doi: 10.1186/s12993-015-0085-5.

引用本文的文献

1
Differential impacts of social isolation and enriched environment on multi-sensory brain-wide functionality and network segregation.社会隔离和丰富环境对多感官全脑功能及网络分离的不同影响。
Nat Commun. 2025 Jul 31;16(1):7036. doi: 10.1038/s41467-025-62253-4.
2
The application of telmisartan in central nervous system disorders.替米沙坦在中枢神经系统疾病中的应用。
Pharmacol Rep. 2025 Jun 19. doi: 10.1007/s43440-025-00737-2.
3
Functional vs Structural Cortical Deficit Pattern Biomarkers for Major Depressive Disorder.重度抑郁症的功能性与结构性皮质缺陷模式生物标志物

本文引用的文献

1
Modulation of GSK-3β/β-Catenin Signaling Contributes to Learning and Memory Impairment in a Rat Model of Depression.调节 GSK-3β/β-连环蛋白信号通路对抑郁模型大鼠学习记忆损伤的作用
Int J Neuropsychopharmacol. 2018 Sep 1;21(9):858-870. doi: 10.1093/ijnp/pyy040.
2
Orbital and Medial Prefrontal Cortex Functional Connectivity of Major Depression Vulnerability and Disease.眶额皮质和内侧前额叶皮质与重度抑郁症易感性和疾病的功能连接。
Biol Psychiatry Cogn Neurosci Neuroimaging. 2018 Apr;3(4):348-357. doi: 10.1016/j.bpsc.2018.01.004. Epub 2018 Feb 2.
3
Impaired reward prediction error encoding and striatal-midbrain connectivity in depression.
JAMA Psychiatry. 2025 Apr 2. doi: 10.1001/jamapsychiatry.2025.0192.
4
Variations of Aberrant Volume, Activity, and Network Connectivity of Hippocampus in Adolescent Male Rats Exposed to Juvenile Stress.暴露于幼年应激的青春期雄性大鼠海马异常体积、活动及网络连通性的变化
Brain Sci. 2025 Mar 7;15(3):284. doi: 10.3390/brainsci15030284.
5
Modulating Cognitive Function with Antihypertensive Medications: a Comprehensive Systematic Review On FMRI Studies.用抗高血压药物调节认知功能:关于功能磁共振成像研究的全面系统综述
Clin Neuroradiol. 2025 Jan 20. doi: 10.1007/s00062-024-01494-0.
6
High throughput mRNA sequencing reveals potential therapeutic targets of Si-Ni-San in the pons for a stress-induced depression model.高通量mRNA测序揭示了四逆散在应激诱导抑郁模型中pons的潜在治疗靶点。
Front Pharmacol. 2024 Jul 29;15:1383624. doi: 10.3389/fphar.2024.1383624. eCollection 2024.
7
Repeated exposure to multiple concurrent stressors alters visual processing in the adult posterior parietal cortex.反复暴露于多种同时存在的应激源会改变成年后顶叶皮层的视觉处理。
Neurobiol Stress. 2024 Jul 5;31:100660. doi: 10.1016/j.ynstr.2024.100660. eCollection 2024 Jul.
8
Depression Exacerbates Hepatic Steatosis in C57BL/6J Mice by Activating the Hypothalamic-Pituitary-Adrenal Axis.抑郁通过激活下丘脑-垂体-肾上腺轴加剧 C57BL/6J 小鼠的肝脂肪变性。
In Vivo. 2024 Jul-Aug;38(4):1677-1689. doi: 10.21873/invivo.13618.
9
Human umbilical cord mesenchymal stem cells reverse depression in rats induced by chronic unpredictable mild stress combined with lipopolysaccharide.人脐带间充质干细胞逆转慢性不可预测轻度应激联合脂多糖诱导的大鼠抑郁。
CNS Neurosci Ther. 2024 Mar;30(3):e14644. doi: 10.1111/cns.14644.
10
The central renin-angiotensin system: A genetic pathway, functional decoding, and selective target engagement characterization in humans.中央肾素-血管紧张素系统:人类遗传途径、功能解码和选择性靶标结合特征。
Proc Natl Acad Sci U S A. 2024 Feb 20;121(8):e2306936121. doi: 10.1073/pnas.2306936121. Epub 2024 Feb 13.
抑郁症患者的奖励预测误差编码和纹状体-中脑连接受损。
Neuropsychopharmacology. 2018 Jun;43(7):1581-1588. doi: 10.1038/s41386-018-0032-x. Epub 2018 Feb 26.
4
The Abnormal Functional Connectivity between the Hypothalamus and the Temporal Gyrus Underlying Depression in Alzheimer's Disease Patients.阿尔茨海默病患者抑郁症背后下丘脑与颞回之间的异常功能连接
Front Aging Neurosci. 2018 Feb 13;10:37. doi: 10.3389/fnagi.2018.00037. eCollection 2018.
5
[Regional homogeneity in the patients of irritable bowel syndrome complicated with depression: a resting-state functional magnetic resonance imaging study].肠易激综合征合并抑郁症患者的局部一致性:一项静息态功能磁共振成像研究
Zhonghua Yi Xue Za Zhi. 2018 Jan 16;98(3):196-201. doi: 10.3760/cma.j.issn.0376-2491.2018.03.008.
6
Transient Ischemic Attack Results in Delayed Brain Atrophy and Cognitive Decline.短暂性脑缺血发作导致脑萎缩和认知能力下降。
Stroke. 2018 Feb;49(2):384-390. doi: 10.1161/STROKEAHA.117.019276. Epub 2018 Jan 4.
7
Telmisartan Activates PPARδ to Improve Symptoms of Unpredictable Chronic Mild Stress-Induced Depression in Mice.替米沙坦通过激活过氧化物酶体增殖物激活受体 δ 改善不可预知慢性温和应激诱导的抑郁小鼠的症状。
Sci Rep. 2017 Oct 25;7(1):14021. doi: 10.1038/s41598-017-14265-4.
8
Identify changes of brain regional homogeneity in early and later adult onset patients with first-episode depression using resting-state fMRI.利用静息态功能磁共振成像(fMRI)识别首发抑郁症早发和晚发成年患者脑区同质性的变化。
PLoS One. 2017 Sep 14;12(9):e0184712. doi: 10.1371/journal.pone.0184712. eCollection 2017.
9
Spontaneous alterations of regional brain activity in patients with adult generalized anxiety disorder.成年广泛性焦虑症患者大脑区域活动的自发改变。
Neuropsychiatr Dis Treat. 2017 Jul 20;13:1957-1965. doi: 10.2147/NDT.S133853. eCollection 2017.
10
Central Olfactory Dysfunction in Alzheimer's Disease and Mild Cognitive Impairment: A Functional MRI Study.阿尔茨海默病和轻度认知障碍中的中枢嗅觉功能障碍:一项功能磁共振成像研究
J Alzheimers Dis. 2017;59(1):359-368. doi: 10.3233/JAD-170310.