Suppr超能文献

在仰卧位和俯卧位治疗体位下,使用MRI直线加速器进行单剂量部分乳腺照射。

Single dose partial breast irradiation using an MRI linear accelerator in the supine and prone treatment position.

作者信息

Charaghvandi K R, Van't Westeinde T, Yoo S, Houweling A C, Rodrigues A, Verkooijen H M, Philippens M E P, van Asselen B, Horton J K, van den Bongard H J G D

机构信息

Department of Radiation Oncology, University Medical Center Utrecht, Utrecht, The Netherlands.

Department of Radiation Oncology, Duke Cancer Center, Durham, United States.

出版信息

Clin Transl Radiat Oncol. 2018 Sep 5;14:1-7. doi: 10.1016/j.ctro.2018.09.001. eCollection 2019 Jan.

Abstract

BACKGROUND

In selected patients with early-stage and low-risk breast cancer, an MRI-linac based treatment might enable a radiosurgical, non-invasive alternative for current standard breast conserving therapy.

AIM

To investigate whether single dose accelerated partial breast (APBI) to the intact tumor in both the prone and supine radiotherapy positions on the MRI-linac is dosimetrically feasible with respect to predefined coverage and organs at risk (OAR) constraints.

MATERIAL & METHODS: For 20 patients with cTis or low-risk cT1N0M0 non-lobular breast carcinoma, previously treated with single dose preoperative APBI in the supine (n = 10) or prone (n = 10) position, additional intensity modulated radiotherapy plans with 7 coplanar beams in the presence of a 1.5T magnetic field were generated. A 20 Gy and 15 Gy dose was prescribed to the gross tumor and clinical target volume, respectively. The percentage of plans achieving predefined organ at risk (OAR) constraints, currently used in clinical practice, was assessed. Dosimetry differences between the prone versus supine approach and the MRI-linac versus clinically delivered plans were evaluated.

RESULTS

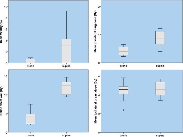
All MRI-linac plans met the coverage and predefined OAR constraints. The prone approach appeared to be more favorable with respect to the chest wall, and ipsilateral lung dose compared to the supine position. No dosimetric differences were observed for the ipsilateral breast. No treatment position was clearly more beneficial for the skin or heart, since dosimetry varied among parameters. Overall, the MRI-linac and clinical plans were comparable, with minor absolute dosimetric differences.

CONCLUSION

MRI-linac based single dose APBI to the intact tumor is a promising and a dosimetrically feasible strategy in patients with low-risk breast cancer. Preliminary OAR dosimetry favored the prone radiotherapy position.

摘要

背景

在部分早期低风险乳腺癌患者中,基于MRI直线加速器的治疗可能为当前标准保乳治疗提供一种放射外科、非侵入性的替代方案。

目的

研究在MRI直线加速器上,对完整肿瘤进行单次剂量加速部分乳腺照射(APBI),在俯卧位和仰卧位放疗时,相对于预定义的覆盖范围和危及器官(OAR)限制,剂量学上是否可行。

材料与方法

对于20例cTis或低风险cT1N0M0非小叶型乳腺癌患者,这些患者之前在仰卧位(n = 10)或俯卧位(n = 10)接受过单次剂量术前APBI治疗,在存在1.5T磁场的情况下生成了7个共面射束的额外调强放疗计划。分别对大体肿瘤和临床靶区规定20 Gy和15 Gy的剂量。评估达到临床实践中目前使用的预定义危及器官(OAR)限制的计划百分比。评估俯卧位与仰卧位方法之间以及MRI直线加速器与临床实施计划之间的剂量学差异。

结果

所有MRI直线加速器计划均满足覆盖范围和预定义的OAR限制。与仰卧位相比,俯卧位方法在胸壁和同侧肺剂量方面似乎更有利。同侧乳腺未观察到剂量学差异。由于剂量学在各参数之间有所不同,没有一种治疗体位对皮肤或心脏明显更有益。总体而言,MRI直线加速器和临床计划具有可比性,绝对剂量学差异较小。

结论

基于MRI直线加速器对完整肿瘤进行单次剂量APBI,对于低风险乳腺癌患者是一种有前景且剂量学上可行的策略。初步的OAR剂量学支持俯卧位放疗。

https://cdn.ncbi.nlm.nih.gov/pmc/blobs/1490/6215022/bbea0e31ff4c/gr1.jpg

文献AI研究员

20分钟写一篇综述,助力文献阅读效率提升50倍。

立即体验

用中文搜PubMed

大模型驱动的PubMed中文搜索引擎

马上搜索

文档翻译

学术文献翻译模型,支持多种主流文档格式。

立即体验