Molecular Immunology, Helmholtz Centre for Infection Research, Braunschweig, Germany.
Medical School Hannover, Institute of Immunology, Hannover, Germany.
Front Immunol. 2018 Oct 31;9:2483. doi: 10.3389/fimmu.2018.02483. eCollection 2018.
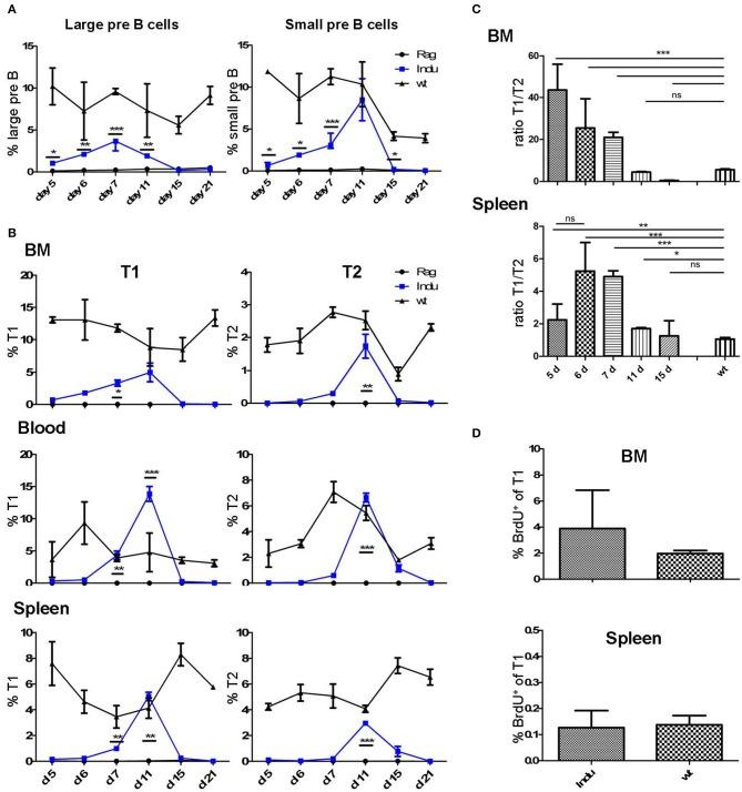
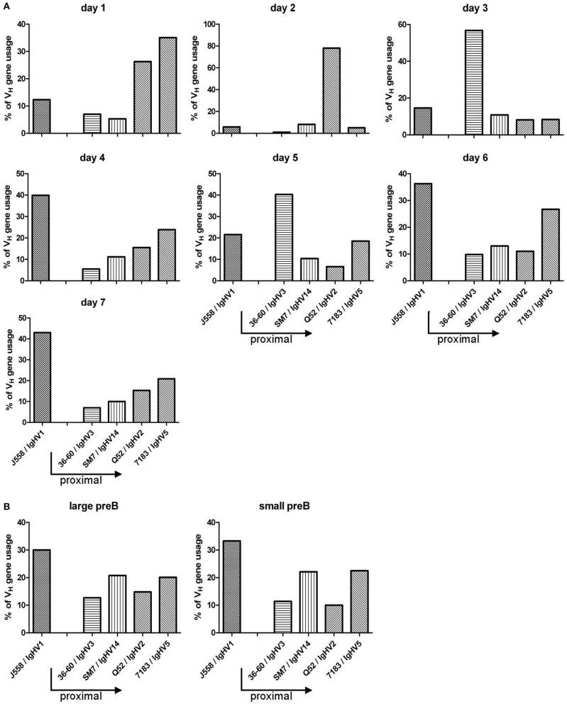
We employed the B-Indu-Rag1 model in which the coding exon of recombination-activating gene 1 (Rag1) is inactivated by inversion. It is flanked by inverted loxP sites. Accordingly, B cell development is stopped at the pro/pre B-I cell precursor stage. A B cell-specific Cre recombinase fused to a mutated estrogen receptor allows the induction of RAG1 function and B cell development by application of Tamoxifen. Since Rag1 function is recovered in a non-self-renewing precursor cell, only single waves of development can be induced. Using this system, we could determine that B cells minimally require 5 days to undergo development from pro/preB-I cells to the large and 6 days to the small preB-II cell stage. First immature transitional (T) 1 and T2 B cells could be detected in the bone marrow at day 6 and day 7, respectively, while their appearance in the spleen took one additional day. We also tested a contribution of adult bone marrow to the pool of B-1 cells. Sublethally irradiated syngeneic WT mice were adoptively transferred with bone marrow of B-Indu-Rag1 mice and B cell development was induced after 6 weeks. A significant portion of donor derived B-1 cells could be detected in such adult mice. Finally, early VH gene usage was tested after induction of B cell development. During the earliest time points the VH genes proximal to D/J were found to be predominantly rearranged. At later time points, the large family of the most distal VH prevailed.
我们使用了 B-Indu-Rag1 模型,其中重组激活基因 1 (Rag1) 的编码外显子通过反转失活。它被反向loxP 位点包围。因此,B 细胞的发育在 pro/pre B-I 细胞前体阶段停止。一个与突变雌激素受体融合的 B 细胞特异性 Cre 重组酶允许通过应用他莫昔芬诱导 Rag1 功能和 B 细胞发育。由于 Rag1 功能在非自我更新的前体细胞中恢复,只能诱导单次发育波。使用该系统,我们可以确定 B 细胞至少需要 5 天才能从 pro/preB-I 细胞发育到大 preB-II 细胞阶段,需要 6 天才能发育到小 preB-II 细胞阶段。分别在第 6 天和第 7 天可以在骨髓中检测到第一个不成熟的过渡 (T) 1 和 T2 B 细胞,而它们在脾脏中的出现则需要再增加一天。我们还测试了成年骨髓对 B-1 细胞池的贡献。用亚致死剂量照射的同基因 WT 小鼠接受 B-Indu-Rag1 小鼠的骨髓移植,并在 6 周后诱导 B 细胞发育。在这些成年小鼠中可以检测到相当一部分供体衍生的 B-1 细胞。最后,在诱导 B 细胞发育后测试了早期 VH 基因的使用。在最早的时间点,发现靠近 D/J 的 VH 基因优先重排。在稍后的时间点,最远端 VH 的大家族占主导地位。