Suppr超能文献

基于直接作用抗病毒药物的治疗可降低丙型肝炎患者肝纤维化血清生物标志物微纤维相关蛋白 4。

Direct-acting antivirals-based therapy decreases hepatic fibrosis serum biomarker microfibrillar-associated protein 4 in hepatitis C patients.

机构信息

Department of Gastroenterology and Hepatology, University Hospital Bergmannsheil, Bochum, Germany.

Medizinisches Proteom-Center, Ruhr University Bochum, Bochum, Germany.

出版信息

Clin Mol Hepatol. 2019 Mar;25(1):42-51. doi: 10.3350/cmh.2018.0029. Epub 2018 Nov 19.

Abstract

BACKGROUND/AIMS: An estimated 80 million people worldwide are infected with viremic hepatitis C virus (HCV). Even after eradication of HCV with direct acting antivirals (DAAs), hepatic fibrosis remains a risk factor for hepatocarcinogenesis. Recently, we confirmed the applicability of microfibrillar-associated protein 4 (MFAP4) as a serum biomarker for the assessment of hepatic fibrosis. The aim of the present study was to assess the usefulness of MFAP4 as a biomarker of liver fibrosis after HCV eliminating therapy with DAAs.

METHODS

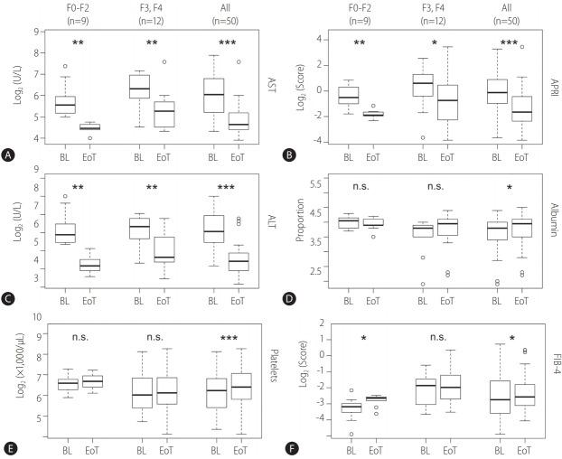
MFAP4 was measured using an immunoassay in 50 hepatitis C patients at baseline (BL), the end-of-therapy (EoT), and the 12-week follow-up visit (FU). Changes in MFAP4 from BL to FU and their association with laboratory parameters including alanine aminotransferase (ALT), aspartate aminotransferase (AST), platelets, the AST to platelet ratio index (APRI), fibrosis-4 score (FIB-4), and albumin were analyzed.

RESULTS

MFAP4 serum levels were representative of the severity of hepatic fibrosis at BL and correlated well with laboratory parameters, especially APRI (Spearman correlation, R²=0.80). Laboratory parameters decreased significantly from BL to EoT. MFAP4 serum levels were found to decrease from BL and EoT to FU with high statistical significance (Wilcoxon P<0.001 for both).

CONCLUSION

Our findings indicate that viral eradication resulted in reduced MFAP4 serum levels, presumably representing a decrease in hepatic fibrogenesis or fibrosis. Hence, MFAP4 may be a useful tool for risk assessment in hepatitis C patients with advanced fibrosis after eradication of the virus.

摘要

背景/目的:全球约有 8000 万人感染丙型肝炎病毒(HCV)血症。即使使用直接作用抗病毒药物(DAAs)消除 HCV 后,肝纤维化仍然是肝癌发生的一个危险因素。最近,我们证实了微纤维相关蛋白 4(MFAP4)作为评估肝纤维化的血清生物标志物的适用性。本研究旨在评估 MFAP4 在 HCV 消除治疗后作为肝纤维化生物标志物的有用性。

方法

在基线(BL)、治疗结束时(EoT)和 12 周随访时(FU),使用免疫测定法测量 50 例丙型肝炎患者的 MFAP4。分析 MFAP4 从 BL 到 FU 的变化及其与实验室参数(包括丙氨酸氨基转移酶(ALT)、天冬氨酸氨基转移酶(AST)、血小板、AST 与血小板比值指数(APRI)、纤维化-4 评分(FIB-4)和白蛋白)的关系。

结果

MFAP4 血清水平代表 BL 时肝纤维化的严重程度,与实验室参数,特别是 APRI(Spearman 相关,R²=0.80)密切相关。从 BL 到 EoT,实验室参数显著下降。MFAP4 血清水平从 BL 和 EoT 下降到 FU,具有高度统计学意义(Wilcoxon P<0.001)。

结论

我们的发现表明,病毒消除导致 MFAP4 血清水平降低,可能代表肝纤维化生成或纤维化减少。因此,MFAP4 可能是评估病毒消除后纤维化程度较高的丙型肝炎患者风险的有用工具。

https://cdn.ncbi.nlm.nih.gov/pmc/blobs/f00f/6435967/891daa0240bd/cmh-2018-0029f1.jpg

文献检索

告别复杂PubMed语法,用中文像聊天一样搜索,搜遍4000万医学文献。AI智能推荐,让科研检索更轻松。

立即免费搜索

文件翻译

保留排版,准确专业,支持PDF/Word/PPT等文件格式,支持 12+语言互译。

免费翻译文档

深度研究

AI帮你快速写综述,25分钟生成高质量综述,智能提取关键信息,辅助科研写作。

立即免费体验