Suppr超能文献

对映体β-(2',5'-二甲基苯基)溴代内酯的制备、其抗增殖活性及对生物膜的影响。

Preparation of Enantiomeric β-(2',5'-Dimethylphenyl)Bromolactones, Their Antiproliferative Activity and Effect on Biological Membranes.

机构信息

Department of Chemistry, Wrocław University of Environmental and Life Sciences, Norwida 25, 50-375 Wrocław, Poland.

Department of Physics and Biophysics, Wrocław University of Environmental and Life Sciences, Norwida 25, 50-375 Wrocław, Poland.

出版信息

Molecules. 2018 Nov 20;23(11):3035. doi: 10.3390/molecules23113035.

Abstract

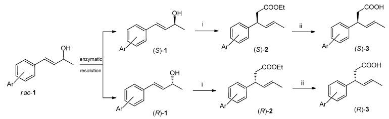
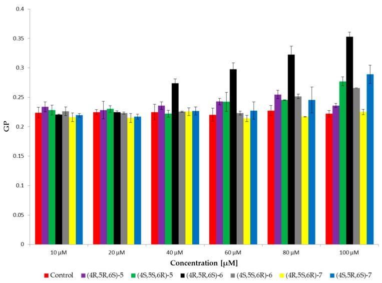
Three novel enantiomeric pairs of bromolactones possesing a 2,5-dimethylphenyl substituent at the β-position of the lactone ring have been synthesized from corresponding enantiomeric ()-3-(2',5'-dimethylphenyl)hex-4-enoic acids () by kinetically controlled bromolactonization with -bromosuccinimide (NBS). γ-Bromo-δ-lactones () were isolated as the major products. Absolute configurations of stereogenic centers of γ-bromo-δ-lactones () were assigned based on X-ray analysis; configurations of δ-bromo-γ-lactones () and δ-bromo-γ-lactones () were determined based on mechanism of bromolactonization. Synthesized compounds exhibited significant antiproliferative activity towards the four canine cancer cell lines (D17, CLBL-1, CLB70, and GL-1) and one human cancer line (Jurkat). Classifying the compounds in terms of activity, the most active were enantiomers of δ-bromo-γ-lactones () followed by enantiomers of isomer () and enantiomeric γ-bromo-δ-lactones (). Higher activity was observed for all stereoisomers with configuration at C-4 in comparison with their enantiomers with 4 configuration. Synthesized compounds did not induce hemolysis of erythrocytes. The results of the interaction of bromolactones with red blood cell membranes suggest that these compounds incorporate into biological membranes, concentrating mainly in the hydrophilic part of the bilayer but have practically no influence on fluidity in the hydrophobic region. The differences in interactions with the membrane between particular enantiomers were observed only for γ-lactones: stronger interactions were found for enantiomer 4,5,6 of γ-lactone () and for enantiomer 4,5,6 of γ-lactone ().

摘要

三种新型的溴内脂对映体,具有β-位取代的 2,5-二甲基苯基,是由相应的()-3-(2',5'-二甲基苯基)-己-4-烯酸()通过动力学控制的溴内酯化反应与 -溴代丁二酰亚胺(NBS)合成的。γ-溴代δ-内脂()被分离为主要产物。γ-溴代δ-内脂()的手性中心的绝对构型是基于 X 射线分析确定的;δ-溴代γ-内脂()和 δ-溴代γ-内脂()的构型是根据溴内酯化反应的机理确定的。合成的化合物对四种犬癌细胞系(D17、CLBL-1、CLB70 和 GL-1)和一种人癌细胞系(Jurkat)表现出显著的增殖抑制活性。根据活性对化合物进行分类,最活跃的是δ-溴代γ-内脂()的对映异构体,其次是异构体()的对映异构体和γ-溴代δ-内脂()的对映异构体。在 C-4 位具有 构型的所有立体异构体的活性均高于具有 4 构型的对映异构体。合成的化合物没有诱导红细胞溶血。溴内脂与红细胞膜相互作用的结果表明,这些化合物掺入生物膜,主要集中在双层的亲水区,但对疏水区的流动性几乎没有影响。在与膜的相互作用中,不同的对映体之间存在差异,只有γ-内脂观察到:()γ-内脂的 4,5,6-对映异构体和()γ-内脂的 4,5,6-对映异构体的相互作用更强。

https://cdn.ncbi.nlm.nih.gov/pmc/blobs/3abc/6278266/a0371a964189/molecules-23-03035-sch001.jpg

文献检索

告别复杂PubMed语法,用中文像聊天一样搜索,搜遍4000万医学文献。AI智能推荐,让科研检索更轻松。

立即免费搜索

文件翻译

保留排版,准确专业,支持PDF/Word/PPT等文件格式,支持 12+语言互译。

免费翻译文档

深度研究

AI帮你快速写综述,25分钟生成高质量综述,智能提取关键信息,辅助科研写作。

立即免费体验