• 文献检索
  • 文档翻译
  • 深度研究
  • 学术资讯
  • Suppr Zotero 插件Zotero 插件
  • 邀请有礼
  • 套餐&价格
  • 历史记录
应用&插件
Suppr Zotero 插件Zotero 插件浏览器插件Mac 客户端Windows 客户端微信小程序
定价
高级版会员购买积分包购买API积分包
服务
文献检索文档翻译深度研究API 文档MCP 服务
关于我们
关于 Suppr公司介绍联系我们用户协议隐私条款
关注我们

Suppr 超能文献

核心技术专利:CN118964589B侵权必究
粤ICP备2023148730 号-1Suppr @ 2026

文献检索

告别复杂PubMed语法,用中文像聊天一样搜索,搜遍4000万医学文献。AI智能推荐,让科研检索更轻松。

立即免费搜索

文件翻译

保留排版,准确专业,支持PDF/Word/PPT等文件格式,支持 12+语言互译。

免费翻译文档

深度研究

AI帮你快速写综述,25分钟生成高质量综述,智能提取关键信息,辅助科研写作。

立即免费体验

与工作相关的慢性下腰痛的磁共振成像分析:不同腰椎间盘模式的比较

Magnetic resonance imaging analysis of work-related chronic low back pain: comparisons of different lumbar disc patterns.

作者信息

Jiang Xin, Chen Dong

机构信息

Department of Spine Surgery, China-Japan Friendship Hospital, Beijing, China,

出版信息

J Pain Res. 2018 Oct 31;11:2687-2698. doi: 10.2147/JPR.S162988. eCollection 2018.

DOI:10.2147/JPR.S162988
PMID:30464586
原文链接:https://pmc.ncbi.nlm.nih.gov/articles/PMC6216966/
Abstract

BACKGROUND

Currently, there is a lack of comparative research about different lumbar disc patterns in patients with work-related chronic low back pain (CLBP) based on magnetic resonance imaging (MRI) analysis. Therefore, this study, on different patterns of lumbar disc degeneration or herniation in patients with CLBP, is valuable. In this study, we retrospectively investigated lumbar degenerative changes in patients with CLBP by using MRI analysis.

MATERIALS AND METHODS

Two hundred and eighty-three patients (110 women and 173 men) with work-related CLBP were enrolled and divided into four groups based on intervertebral disc morphology from MRI analysis, including normal discs (ND) group, degenerative discs (DD) group, bulging discs (BD) group, and herniated discs (HD) group. Demographic characteristics, occupational information, Visual Analog Scale (VAS) scores, and Oswestry Disability Index (ODI) scores were analyzed. Moreover, multiple parameters were investigated in the MRI analysis.

RESULTS

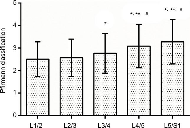
The mean age of all 283 patients was 41.8±12.0 years (range, 18-80) and the mean duration of CLBP for all patients was 24.5±24.9 months. There were no significant differences in the patients' BMI, history of smoking, and education level (>0.05). The three most common occupational types were manual worker, desk worker, and technician. The VAS and ODI scores of patients with CLBP in the DD, BD, and HD groups were significantly higher than those of patients in the ND group (<0.05). The degrees of degeneration of L4/5 and L5/S1 were significantly higher than those of other intervertebral discs (<0.05). The disc heights of L4/5 in the BD and HD groups were significantly lower than those of the ND group (<0.05) and the disc height of L5/S1 in the HD group was significantly lower than that of the ND group (<0.05). At the neutral position, the distances of L3/4, L4/5, and L5/S1 discs' bulge/herniation in the BD and HD groups were significantly higher than those in the ND and DD groups (<0.05).

CONCLUSION

In summary, more severe degenerative changes of lower lumbar discs (L4/5 and L5/S1) such as higher degree of degeneration of disc, lower disc height, and significant displacement of disc were found in patients with work-related CLBP based on MRI analysis.

摘要

背景

目前,基于磁共振成像(MRI)分析,针对与工作相关的慢性下腰痛(CLBP)患者不同腰椎间盘模式的比较研究尚显不足。因此,本研究针对CLBP患者腰椎间盘退变或突出的不同模式具有重要价值。在本研究中,我们通过MRI分析回顾性研究了CLBP患者的腰椎退变情况。

材料与方法

纳入283例与工作相关的CLBP患者(110例女性和173例男性),并根据MRI分析的椎间盘形态将其分为四组,包括正常椎间盘(ND)组、退变椎间盘(DD)组、膨出椎间盘(BD)组和突出椎间盘(HD)组。分析了人口统计学特征、职业信息、视觉模拟评分(VAS)和Oswestry功能障碍指数(ODI)评分。此外,在MRI分析中还研究了多个参数。

结果

283例患者的平均年龄为41.8±12.0岁(范围18 - 80岁),所有患者CLBP的平均病程为24.5±24.9个月。患者的体重指数、吸烟史和教育水平无显著差异(>0.05)。三种最常见的职业类型是体力劳动者、办公室职员和技术人员。DD组、BD组和HD组CLBP患者的VAS和ODI评分显著高于ND组患者(<0.05)。L4/5和L5/S1的退变程度显著高于其他椎间盘(<0.05)。BD组和HD组L4/5的椎间盘高度显著低于ND组(<0.05),HD组L5/S1的椎间盘高度显著低于ND组(<0.05)。在中立位时,BD组和HD组L3/4、L4/5和L5/S1椎间盘膨出/突出的距离显著高于ND组和DD组(<0.05)。

结论

综上所述,基于MRI分析发现,与工作相关的CLBP患者下腰椎间盘(L4/5和L5/S1)存在更严重的退变改变,如椎间盘退变程度更高、椎间盘高度更低以及椎间盘明显移位。

https://cdn.ncbi.nlm.nih.gov/pmc/blobs/f68a/6216966/7f6bb268b9da/jpr-11-2687Fig12.jpg
https://cdn.ncbi.nlm.nih.gov/pmc/blobs/f68a/6216966/8fbd822db3ca/jpr-11-2687Fig1.jpg
https://cdn.ncbi.nlm.nih.gov/pmc/blobs/f68a/6216966/a02e778f842d/jpr-11-2687Fig2.jpg
https://cdn.ncbi.nlm.nih.gov/pmc/blobs/f68a/6216966/031ed1148c0b/jpr-11-2687Fig3.jpg
https://cdn.ncbi.nlm.nih.gov/pmc/blobs/f68a/6216966/fb88746e3318/jpr-11-2687Fig4.jpg
https://cdn.ncbi.nlm.nih.gov/pmc/blobs/f68a/6216966/5013d5ba6e32/jpr-11-2687Fig5.jpg
https://cdn.ncbi.nlm.nih.gov/pmc/blobs/f68a/6216966/7e7b433db1fd/jpr-11-2687Fig6.jpg
https://cdn.ncbi.nlm.nih.gov/pmc/blobs/f68a/6216966/78d929741ec1/jpr-11-2687Fig7.jpg
https://cdn.ncbi.nlm.nih.gov/pmc/blobs/f68a/6216966/07317c0de600/jpr-11-2687Fig8.jpg
https://cdn.ncbi.nlm.nih.gov/pmc/blobs/f68a/6216966/34a8015b4392/jpr-11-2687Fig9.jpg
https://cdn.ncbi.nlm.nih.gov/pmc/blobs/f68a/6216966/1a71d6a39881/jpr-11-2687Fig10.jpg
https://cdn.ncbi.nlm.nih.gov/pmc/blobs/f68a/6216966/a1bcc72316b9/jpr-11-2687Fig11.jpg
https://cdn.ncbi.nlm.nih.gov/pmc/blobs/f68a/6216966/7f6bb268b9da/jpr-11-2687Fig12.jpg
https://cdn.ncbi.nlm.nih.gov/pmc/blobs/f68a/6216966/8fbd822db3ca/jpr-11-2687Fig1.jpg
https://cdn.ncbi.nlm.nih.gov/pmc/blobs/f68a/6216966/a02e778f842d/jpr-11-2687Fig2.jpg
https://cdn.ncbi.nlm.nih.gov/pmc/blobs/f68a/6216966/031ed1148c0b/jpr-11-2687Fig3.jpg
https://cdn.ncbi.nlm.nih.gov/pmc/blobs/f68a/6216966/fb88746e3318/jpr-11-2687Fig4.jpg
https://cdn.ncbi.nlm.nih.gov/pmc/blobs/f68a/6216966/5013d5ba6e32/jpr-11-2687Fig5.jpg
https://cdn.ncbi.nlm.nih.gov/pmc/blobs/f68a/6216966/7e7b433db1fd/jpr-11-2687Fig6.jpg
https://cdn.ncbi.nlm.nih.gov/pmc/blobs/f68a/6216966/78d929741ec1/jpr-11-2687Fig7.jpg
https://cdn.ncbi.nlm.nih.gov/pmc/blobs/f68a/6216966/07317c0de600/jpr-11-2687Fig8.jpg
https://cdn.ncbi.nlm.nih.gov/pmc/blobs/f68a/6216966/34a8015b4392/jpr-11-2687Fig9.jpg
https://cdn.ncbi.nlm.nih.gov/pmc/blobs/f68a/6216966/1a71d6a39881/jpr-11-2687Fig10.jpg
https://cdn.ncbi.nlm.nih.gov/pmc/blobs/f68a/6216966/a1bcc72316b9/jpr-11-2687Fig11.jpg
https://cdn.ncbi.nlm.nih.gov/pmc/blobs/f68a/6216966/7f6bb268b9da/jpr-11-2687Fig12.jpg

相似文献

1
Magnetic resonance imaging analysis of work-related chronic low back pain: comparisons of different lumbar disc patterns.与工作相关的慢性下腰痛的磁共振成像分析:不同腰椎间盘模式的比较
J Pain Res. 2018 Oct 31;11:2687-2698. doi: 10.2147/JPR.S162988. eCollection 2018.
2
Association of MRI findings with paraspinal muscles fat infiltration at lower lumbar levels in patients with chronic low back pain: a multicenter prospective study.磁共振成像发现与慢性下腰痛患者下腰椎旁肌肉脂肪浸润的相关性:一项多中心前瞻性研究。
BMC Musculoskelet Disord. 2024 Jul 16;25(1):549. doi: 10.1186/s12891-024-07649-x.
3
Percutaneous Endoscopic Lumbar Discectomy via Transforaminal Approach Combined with Interlaminar Approach for L4/5 and L5/S1 Two-Level Disc Herniation.经皮椎间孔镜下腰椎间盘切除术联合经椎间孔入路与经椎板间入路治疗 L4/5 和 L5/S1 双节段椎间盘突出症
Orthop Surg. 2021 May;13(3):979-988. doi: 10.1111/os.12862. Epub 2021 Apr 5.
4
Association between intervertebral disc degeneration and the Oswestry Disability Index.椎间盘退变与奥斯威斯利功能障碍指数之间的关联。
J Back Musculoskelet Rehabil. 2017;30(4):819-823. doi: 10.3233/BMR-150516.
5
Familial predisposition for lumbar degenerative disc disease. A case-control study.腰椎退行性椎间盘疾病的家族易感性。一项病例对照研究。
Spine (Phila Pa 1976). 1998 May 1;23(9):1029-34. doi: 10.1097/00007632-199805010-00013.
6
Effects of Ozone Disc Nucleolysis in Management of Herniated Lumbar Intervertebral Disc: A Retrospective Single-Center Study of 149 Patients.臭氧椎间盘溶解术治疗腰椎间盘突出症的疗效:一项对149例患者的回顾性单中心研究
Med Sci Monit. 2024 Jul 17;30:e944645. doi: 10.12659/MSM.944645.
7
Radiological adjacent-segment degeneration in L4-5 spondylolisthesis: comparison between dynamic stabilization and minimally invasive transforaminal lumbar interbody fusion.L4-5椎体滑脱症中的放射学相邻节段退变:动态稳定与微创经椎间孔腰椎椎体间融合术的比较
J Neurosurg Spine. 2018 Sep;29(3):250-258. doi: 10.3171/2018.1.SPINE17993. Epub 2018 Jun 1.
8
Factors affecting disability and physical function in degenerative lumbar spondylolisthesis of L4-5: evaluation with axially loaded MRI.影响 L4-5 退变性腰椎滑脱症患者残疾和躯体功能的因素:轴向负荷 MRI 评估。
Eur Spine J. 2009 Dec;18(12):1851-7. doi: 10.1007/s00586-009-1059-9. Epub 2009 Jun 14.
9
[Adjacent segment degeneration after lumbosacral fusion in spondylolisthesis: a retrospective radiological and clinical analysis].腰椎滑脱症腰骶融合术后相邻节段退变:一项回顾性影像学及临床分析
Acta Chir Orthop Traumatol Cech. 2010 Apr;77(2):124-30.
10
Magnetic resonance imaging of lumbar trunk parameters in chronic low backache patients and healthy population: a comparative study.慢性下背痛患者与健康人群腰椎躯干参数的磁共振成像:一项对比研究。
Eur Spine J. 2016 Sep;25(9):2864-72. doi: 10.1007/s00586-016-4698-7. Epub 2016 Jul 15.

引用本文的文献

1
Imaging Analysis of the High-Intensity Zone on Lumbar Spine Magnetic Resonance Images: Classification, Features and Correlation with Low Back Pain.腰椎磁共振图像高强度区的影像分析:分类、特征及其与腰痛的相关性
J Pain Res. 2021 Sep 21;14:2981-2989. doi: 10.2147/JPR.S332509. eCollection 2021.
2
Relationship between Endplate Defects, Modic Change, Disc Degeneration, and Facet Joint Degeneration in Patients with Low Back Pain.腰痛患者终板缺陷、Modic 改变、椎间盘退变和小关节退变之间的关系。
Biomed Res Int. 2019 Jul 11;2019:9369853. doi: 10.1155/2019/9369853. eCollection 2019.

本文引用的文献

1
Prognosis of sciatica and back-related leg pain in primary care: the ATLAS cohort.基层医疗中坐骨神经痛和与背部相关的腿部疼痛的预后:ATLAS 队列研究。
Spine J. 2018 Jun;18(6):1030-1040. doi: 10.1016/j.spinee.2017.10.071. Epub 2017 Nov 21.
2
Lumbar Disc Herniation.腰椎间盘突出症
Curr Rev Musculoskelet Med. 2017 Dec;10(4):507-516. doi: 10.1007/s12178-017-9441-4.
3
Global, regional, and national incidence, prevalence, and years lived with disability for 328 diseases and injuries for 195 countries, 1990-2016: a systematic analysis for the Global Burden of Disease Study 2016.
全球、区域和国家发病率、患病率以及 195 个国家和地区 1990 年至 2016 年 328 种疾病和伤害导致的残疾年数:2016 年全球疾病负担研究的系统分析。
Lancet. 2017 Sep 16;390(10100):1211-1259. doi: 10.1016/S0140-6736(17)32154-2.
4
Preliminary Results of Relationship between Preoperative Walking Ability and Magnetic Resonance Imaging Morphology in Patients with Lumbar Canal Stenosis: Comparison between Trefoil and Triangle Types of Spinal Stenosis.腰椎管狭窄症患者术前步行能力与磁共振成像形态学关系的初步结果:三叶形与三角形椎管狭窄类型的比较
Asian Spine J. 2017 Aug;11(4):580-585. doi: 10.4184/asj.2017.11.4.580. Epub 2017 Aug 7.
5
Associations between disc space narrowing, anterior osteophytes and disability in chronic mechanical low back pain: a cross sectional study.慢性机械性下腰痛中椎间盘间隙变窄、椎体前缘骨赘与残疾之间的关联:一项横断面研究
BMC Musculoskelet Disord. 2017 May 15;18(1):193. doi: 10.1186/s12891-017-1562-9.
6
Non-specific low back pain.非特异性下背痛。
Lancet. 2017 Feb 18;389(10070):736-747. doi: 10.1016/S0140-6736(16)30970-9. Epub 2016 Oct 11.
7
Disc degeneration implies low back pain.椎间盘退变意味着下背痛。
Theor Biol Med Model. 2015 Nov 9;12:24. doi: 10.1186/s12976-015-0020-3.
8
MR imaging of degenerative disc disease.椎间盘退变疾病的磁共振成像
Eur J Radiol. 2015 Sep;84(9):1768-76. doi: 10.1016/j.ejrad.2015.04.002. Epub 2015 Apr 18.
9
MRI evaluation of lumbar disc degenerative disease.腰椎间盘退变疾病的磁共振成像评估
J Clin Diagn Res. 2015 Apr;9(4):TC04-9. doi: 10.7860/JCDR/2015/11927.5761. Epub 2015 Apr 1.
10
Categorization of Pathology Causing Low Back Pain using Magnetic Resonance Imaging (MRI).使用磁共振成像(MRI)对引起腰痛的病理学进行分类。
J Clin Diagn Res. 2015 Jan;9(1):TC17-20. doi: 10.7860/JCDR/2015/10951.5470. Epub 2015 Jan 1.