• 文献检索
  • 文档翻译
  • 深度研究
  • 学术资讯
  • Suppr Zotero 插件Zotero 插件
  • 邀请有礼
  • 套餐&价格
  • 历史记录
应用&插件
Suppr Zotero 插件Zotero 插件浏览器插件Mac 客户端Windows 客户端微信小程序
定价
高级版会员购买积分包购买API积分包
服务
文献检索文档翻译深度研究API 文档MCP 服务
关于我们
关于 Suppr公司介绍联系我们用户协议隐私条款
关注我们

Suppr 超能文献

核心技术专利:CN118964589B侵权必究
粤ICP备2023148730 号-1Suppr @ 2026

文献检索

告别复杂PubMed语法,用中文像聊天一样搜索,搜遍4000万医学文献。AI智能推荐,让科研检索更轻松。

立即免费搜索

文件翻译

保留排版,准确专业,支持PDF/Word/PPT等文件格式,支持 12+语言互译。

免费翻译文档

深度研究

AI帮你快速写综述,25分钟生成高质量综述,智能提取关键信息,辅助科研写作。

立即免费体验

绵羊 X 染色体的剂量补偿与基因表达。

Dosage Compensation and Gene Expression of the X Chromosome in Sheep.

机构信息

Department of Animal Science.

School of Natural Sciences, California State University, Monterey Bay, Seaside, CA 93955.

出版信息

G3 (Bethesda). 2019 Jan 9;9(1):305-314. doi: 10.1534/g3.118.200815.

DOI:10.1534/g3.118.200815
PMID:30482800
原文链接:https://pmc.ncbi.nlm.nih.gov/articles/PMC6325915/
Abstract

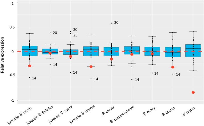
Ohno's hypothesis predicts that the expression of the single X chromosome in males needs compensatory upregulation to balance its dosage with that of the diploid autosomes. Additionally, X chromosome inactivation ensures that quadruple expression of the two X chromosomes is avoided in females. These mechanisms have been actively studied in mice and humans but lag behind in domestic species. Using RNA sequencing data, we analyzed the X chromosome upregulation in sheep fetal tissues from day 135 of gestation under control, over or restricted maternal diets (100%, 140% and 60% of National Research Council Total Digestible Nutrients), and in conceptuses, juvenile, and adult somatic tissues. By computing the mean expression ratio of all X-linked genes to all autosomal genes (X:A), we found that all samples displayed some levels of X chromosome upregulation. The degrees of X upregulation were not significant (P-value = 0.74) between ovine females and males in the same somatic tissues. Brain, however, displayed complete X upregulation. Interestingly, the male and female reproduction-related tissues exhibited divergent X dosage upregulation. Moreover, expression upregulation of the X chromosome in fetal tissues was not affected by maternal diets. Maternal nutrition, however, did change expression levels of several X-linked genes, such as sex determination genes and In summary, our results showed that X chromosome upregulation occurred in nearly all sheep somatic tissues analyzed, thus support Ohno's hypothesis in a new species. However, the levels of upregulation differed by different subgroups of genes such as those that are house-keeping and "dosage-sensitive".

摘要

小野的假说预测,雄性中单个 X 染色体的表达需要补偿性上调,以使其与二倍体常染色体的剂量相平衡。此外,X 染色体失活确保了雌性中避免四倍体表达两个 X 染色体。这些机制在小鼠和人类中得到了积极研究,但在国内物种中却落后了。我们使用 RNA 测序数据,分析了在控制、超喂或限制母鼠饮食(100%、140%和 60%的国家研究委员会总可消化营养物)下,妊娠 135 天的绵羊胎儿组织、胚胎、幼年和成年体组织中 X 染色体的上调。通过计算所有 X 连锁基因与所有常染色体基因的平均表达比值(X:A),我们发现所有样本都显示出一定程度的 X 染色体上调。在同一体组织中,绵羊雌性和雄性的 X 染色体上调程度没有显著差异(P 值=0.74)。然而,大脑显示出完全的 X 染色体上调。有趣的是,雄性和雌性生殖相关组织表现出不同的 X 染色体剂量上调。此外,母体营养对胎儿组织中 X 染色体的表达上调没有影响。然而,母体营养确实改变了几个 X 连锁基因的表达水平,如性别决定基因 和 。总之,我们的结果表明,X 染色体上调发生在几乎所有分析的绵羊体组织中,因此在一个新物种中支持小野的假说。然而,上调水平因不同的基因亚群而有所不同,如管家基因和“剂量敏感”基因。

https://cdn.ncbi.nlm.nih.gov/pmc/blobs/5fbe/6325915/b4551e09d2fa/305f4.jpg
https://cdn.ncbi.nlm.nih.gov/pmc/blobs/5fbe/6325915/cb272f5f77ca/305f1.jpg
https://cdn.ncbi.nlm.nih.gov/pmc/blobs/5fbe/6325915/ea449c7cc77c/305f2.jpg
https://cdn.ncbi.nlm.nih.gov/pmc/blobs/5fbe/6325915/ff45bed7318e/305f3.jpg
https://cdn.ncbi.nlm.nih.gov/pmc/blobs/5fbe/6325915/b4551e09d2fa/305f4.jpg
https://cdn.ncbi.nlm.nih.gov/pmc/blobs/5fbe/6325915/cb272f5f77ca/305f1.jpg
https://cdn.ncbi.nlm.nih.gov/pmc/blobs/5fbe/6325915/ea449c7cc77c/305f2.jpg
https://cdn.ncbi.nlm.nih.gov/pmc/blobs/5fbe/6325915/ff45bed7318e/305f3.jpg
https://cdn.ncbi.nlm.nih.gov/pmc/blobs/5fbe/6325915/b4551e09d2fa/305f4.jpg

相似文献

1
Dosage Compensation and Gene Expression of the X Chromosome in Sheep.绵羊 X 染色体的剂量补偿与基因表达。
G3 (Bethesda). 2019 Jan 9;9(1):305-314. doi: 10.1534/g3.118.200815.
2
Expression reduction in mammalian X chromosome evolution refutes Ohno's hypothesis of dosage compensation.哺乳动物 X 染色体进化中的表达减少否定了 Ohno 关于剂量补偿的假说。
Proc Natl Acad Sci U S A. 2012 Jul 17;109(29):11752-7. doi: 10.1073/pnas.1201816109. Epub 2012 Jul 2.
3
No X-chromosome dosage compensation in human proteomes.人类蛋白质组中不存在X染色体剂量补偿。
Mol Biol Evol. 2015 Jun;32(6):1456-60. doi: 10.1093/molbev/msv036. Epub 2015 Feb 19.
4
RNA sequencing shows no dosage compensation of the active X-chromosome.RNA 测序显示活跃 X 染色体没有剂量补偿。
Nat Genet. 2010 Dec;42(12):1043-7. doi: 10.1038/ng.711.
5
The evolution of X chromosome inactivation in mammals: the demise of Ohno's hypothesis?哺乳动物 X 染色体失活的演化:大野假说的终结?
Cell Mol Life Sci. 2014 Apr;71(8):1383-94. doi: 10.1007/s00018-013-1499-6. Epub 2013 Oct 31.
6
Dosage Compensation of the X Chromosomes in Bovine Germline, Early Embryos, and Somatic Tissues.牛生殖细胞、早期胚胎和体细胞中 X 染色体的剂量补偿。
Genome Biol Evol. 2019 Jan 1;11(1):242-252. doi: 10.1093/gbe/evy270.
7
X-chromosome upregulation is driven by increased burst frequency.X 染色体的上调是由爆发频率的增加驱动的。
Nat Struct Mol Biol. 2019 Oct;26(10):963-969. doi: 10.1038/s41594-019-0306-y. Epub 2019 Oct 3.
8
Mammalian X chromosome inactivation evolved as a dosage-compensation mechanism for dosage-sensitive genes on the X chromosome.哺乳动物 X 染色体失活是作为 X 染色体上剂量敏感基因的一种剂量补偿机制进化而来的。
Proc Natl Acad Sci U S A. 2012 Apr 3;109(14):5346-51. doi: 10.1073/pnas.1116763109. Epub 2012 Mar 5.
9
Non-Canonical and Sexually Dimorphic X Dosage Compensation States in the Mouse and Human Germline.小鼠和人类生殖系中的非经典和性二态性X染色体剂量补偿状态
Dev Cell. 2017 Feb 6;40(3):289-301.e3. doi: 10.1016/j.devcel.2016.12.023. Epub 2017 Jan 26.
10
The X to Autosome Expression Ratio in Haploid and Diploid Human Embryonic Stem Cells.单倍体和二倍体人类胚胎干细胞中的X染色体与常染色体表达比率
Mol Biol Evol. 2016 Dec;33(12):3104-3107. doi: 10.1093/molbev/msw187. Epub 2016 Sep 4.

引用本文的文献

1
Dissection of X chromosome dosage compensation for quantitative traits in sheep using different statistical models.使用不同统计模型剖析绵羊X染色体剂量补偿对数量性状的影响。
Sci Rep. 2024 Dec 5;14(1):30361. doi: 10.1038/s41598-024-77060-y.
2
Dosage Compensation of the X Chromosome during Sheep Testis Development Revealed by Single-Cell RNA Sequencing.单细胞RNA测序揭示绵羊睾丸发育过程中X染色体的剂量补偿
Animals (Basel). 2022 Aug 24;12(17):2169. doi: 10.3390/ani12172169.
3
Variation in TAF1 expression in female carrier induced pluripotent stem cells and human brain ontogeny has implications for adult neostriatum vulnerability in X-linked Dystonia Parkinsonism.

本文引用的文献

1
Fetal and organ development at gestational days 45, 90, 135 and at birth of lambs exposed to under- or over-nutrition during gestation妊娠期间遭受营养不足或营养过剩的羔羊在妊娠第45天、90天、135天及出生时的胎儿和器官发育情况
Transl Anim Sci. 2017 Feb 1;1(1):16-25. doi: 10.2527/tas2016.0002. eCollection 2017 Feb.
2
Effects of maternal nutrition on the expression of genomic imprinted genes in ovine fetuses.母体营养对绵羊胎儿中基因组印记基因表达的影响。
Epigenetics. 2018;13(8):793-807. doi: 10.1080/15592294.2018.1503489. Epub 2018 Sep 21.
3
The Role of Xist in X-Chromosome Dosage Compensation.
女性携带者诱导多能干细胞中TAF1表达的变化以及人类脑发育对X连锁肌张力障碍帕金森综合征中成年新纹状体易损性具有影响。
eNeuro. 2022 Jul 21;9(4). doi: 10.1523/ENEURO.0129-22.2022.
4
TAF4b transcription networks regulating early oocyte differentiation.TAF4b 转录网络调控早期卵母细胞分化。
Development. 2022 Feb 1;149(3). doi: 10.1242/dev.200074. Epub 2022 Feb 9.
5
Do male and female heterogamety really differ in expression regulation? Lack of global dosage balance in pygopodid geckos.雌雄异配真的在表达调控上存在差异吗? pygopodid 壁虎缺乏全局剂量平衡。
Philos Trans R Soc Lond B Biol Sci. 2021 Sep 13;376(1833):20200102. doi: 10.1098/rstb.2020.0102. Epub 2021 Jul 26.
6
transcriptome reveals blood coagulation/antithrombin factors and infection mechanisms in adult worms.转录组揭示了成虫体内的凝血/抗凝血因子和感染机制。
Parasitology. 2021 Jun;148(7):857-870. doi: 10.1017/S0031182021000469. Epub 2021 Mar 17.
7
Transcriptomics of Tasmanian Devil () Ear Tissue Reveals Homogeneous Gene Expression Patterns across a Heterogeneous Landscape.塔斯马尼亚恶魔()耳部组织的转录组学研究揭示了在异质景观中均匀的基因表达模式。
Genes (Basel). 2019 Oct 12;10(10):801. doi: 10.3390/genes10100801.
Xist 在 X 染色体剂量补偿中的作用。
Trends Cell Biol. 2018 Dec;28(12):999-1013. doi: 10.1016/j.tcb.2018.05.005. Epub 2018 Jun 14.
4
Mammalian X Chromosome Dosage Compensation: Perspectives From the Germ Line.哺乳动物 X 染色体剂量补偿:生殖细胞视角。
Bioessays. 2018 Jun;40(6):e1800024. doi: 10.1002/bies.201800024. Epub 2018 May 14.
5
Landscape of X chromosome inactivation across human tissues.人类组织中X染色体失活的全景图。
Nature. 2017 Oct 11;550(7675):244-248. doi: 10.1038/nature24265.
6
Evolution of Sex Chromosome Dosage Compensation in Animals: A Beautiful Theory, Undermined by Facts and Bedeviled by Details.动物性染色体剂量补偿的进化:一个美丽的理论,却被事实和细节所破坏。
Genome Biol Evol. 2017 Sep 1;9(9):2461-2476. doi: 10.1093/gbe/evx154.
7
A high resolution atlas of gene expression in the domestic sheep (Ovis aries).家羊(绵羊)基因表达的高分辨率图谱。
PLoS Genet. 2017 Sep 15;13(9):e1006997. doi: 10.1371/journal.pgen.1006997. eCollection 2017 Sep.
8
Fast bootstrapping-based estimation of confidence intervals of expression levels and differential expression from RNA-Seq data.基于快速自举的 RNA-Seq 数据表达水平和差异表达的置信区间估计。
Bioinformatics. 2017 Oct 15;33(20):3302-3304. doi: 10.1093/bioinformatics/btx365.
9
Non-Canonical and Sexually Dimorphic X Dosage Compensation States in the Mouse and Human Germline.小鼠和人类生殖系中的非经典和性二态性X染色体剂量补偿状态
Dev Cell. 2017 Feb 6;40(3):289-301.e3. doi: 10.1016/j.devcel.2016.12.023. Epub 2017 Jan 26.
10
Effects of Poor Maternal Nutrition during Gestation on Bone Development and Mesenchymal Stem Cell Activity in Offspring.孕期母体营养不佳对后代骨骼发育和间充质干细胞活性的影响。
PLoS One. 2016 Dec 12;11(12):e0168382. doi: 10.1371/journal.pone.0168382. eCollection 2016.