Suppr超能文献

活体蝇类(及)幼虫样本的延迟接收:对死后最短间隔时间估计的影响

Delayed reception of live blowfly ( and ) larval samples: implications for minimum postmortem interval estimates.

作者信息

Archer Melanie S, Jones Stephanie D, Wallman James F

机构信息

Department of Forensic Medicine, Monash University/Victorian Institute of Forensic Medicine, Southbank, Australia.

Centre for Sustainable Ecosystem Solutions, School of Biological Sciences, University of Wollongong, Wollongong, Australia.

出版信息

Forensic Sci Res. 2017 Dec 26;3(1):27-39. doi: 10.1080/20961790.2017.1408550. eCollection 2018.

Abstract

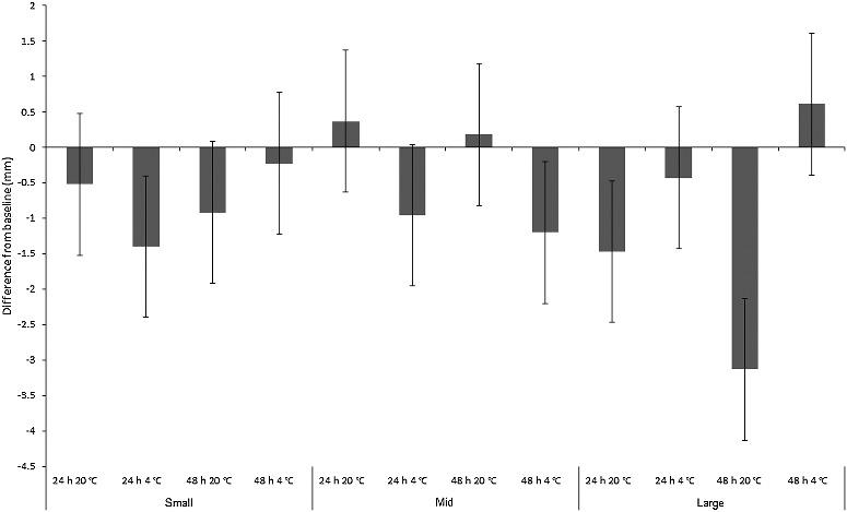
Forensic entomology evidence collected by police and mortuary staff may be delayed in getting to the entomologist. Live samples may continue developing and alter minimum postmortem interval (PMI) estimates. This study investigated development of simulated evidential samples of Robineau-Desvoidy and (Macquart) (Diptera: Calliphoridae) maggots. Maggots of each species were studied in three developmental classes: "small" (late second/early third instar), "mid" (mid third instar) and "large" (late third instar). Seven replicates of 11 maggots in each class were assigned without food to four treatments: (1) 24 h at 20 °C; (2) 24 h at 4 °C; (3) 48 h at 20 °C and (4) 48 h at 4 °C. There was a significant difference in absolute length change across treatments, reflecting size for , and interaction between size, time and temperature for . maggots showed minimal mortality, and most second instar larvae moulted by the experiment's end. showed heavy mortality and minimal moulting from the second to third instar. Only "large" maggots kept at room temperature for 48 h pupariated. Since these results confirm that development can continue in live unfed maggot samples after their collection, it is not advisable to delay their preservation.

摘要

警方和停尸房工作人员收集的法医昆虫学证据送达昆虫学家手中的时间可能会延迟。活体样本可能会继续发育,从而改变死后最短间隔时间(PMI)的估计。本研究调查了拟裸芒寄蝇(Robineau-Desvoidy)和麦氏棕尾别麻蝇(Macquart)(双翅目:丽蝇科)蛆虫模拟证据样本的发育情况。对每个物种的蛆虫在三个发育阶段进行了研究:“小”(第二龄晚期/第三龄早期)、“中”(第三龄中期)和“大”(第三龄晚期)。每个阶段的11条蛆虫的七个重复样本在没有食物的情况下被分配到四种处理方式中:(1)20℃下放置24小时;(2)4℃下放置24小时;(3)20℃下放置48小时;(4)4℃下放置48小时。不同处理方式下绝对长度变化存在显著差异,反映了拟裸芒寄蝇的大小情况,以及麦氏棕尾别麻蝇大小、时间和温度之间的相互作用。拟裸芒寄蝇蛆虫死亡率极低,且大多数二龄幼虫在实验结束时蜕皮。麦氏棕尾别麻蝇死亡率很高,且从二龄到三龄蜕皮极少。只有在室温下放置48小时的“大”麦氏棕尾别麻蝇蛆虫化蛹。由于这些结果证实了活体未喂食蛆虫样本在采集后仍可继续发育,因此不宜延迟对它们的保存。

https://cdn.ncbi.nlm.nih.gov/pmc/blobs/f26f/6197129/3c731a47119f/TFSR_A_1408550_F0001_B.jpg

文献AI研究员

20分钟写一篇综述,助力文献阅读效率提升50倍。

立即体验

用中文搜PubMed

大模型驱动的PubMed中文搜索引擎

马上搜索

文档翻译

学术文献翻译模型,支持多种主流文档格式。

立即体验