Silva Nataly, Riveros Ana, Yutronic Nicolás, Lang Erika, Chornik Boris, Guerrero Simón, Samitier Josep, Jara Paul, Kogan Marcelo J
Department of Chemistry, University of Chile, Las Palmeras 3425, 7800003 Santiago, Chile.
Department of Chemistry of Materials, University of Santiago de Chile, Av. Libertador Bernardo O'Higgins 3363, 9170022 Santiago, Chile.
Nanomaterials (Basel). 2018 Nov 28;8(12):985. doi: 10.3390/nano8120985.
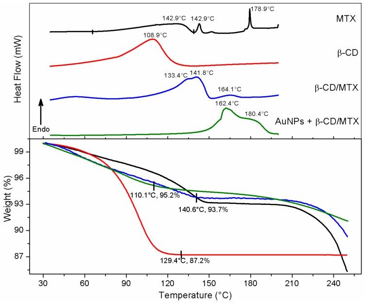
The inclusion compound (IC) of cyclodextrin (CD) containing the antitumor drug Methotrexate (MTX) as a guest molecule was obtained to increase the solubility of MTX and decrease its inherent toxic effects in nonspecific cells. The IC was conjugated with gold nanoparticles (AuNPs), obtained by a chemical method, creating a ternary intelligent delivery system for MTX molecules, based on the plasmonic properties of the AuNPs. Irradiation of the ternary system, with a laser wavelength tunable with the corresponding surface plasmon of AuNPs, causes local energy dissipation, producing the controlled release of the guest from CD cavities. Finally, cell viability was evaluated using MTS assays for β-CD/MTX and AuNPs + β-CD/MTX samples, with and without irradiation, against HeLa tumor cells. The irradiated sample of the ternary system AuNPs + β-CD/MTX produced a diminution in cell viability attributed to the photothermal release of MTX.
制备了包含抗肿瘤药物甲氨蝶呤(MTX)作为客体分子的环糊精(CD)包合物,以提高MTX的溶解度并降低其在非特异性细胞中的固有毒性作用。该包合物与通过化学方法获得的金纳米颗粒(AuNPs)共轭,基于AuNPs的等离子体特性,创建了一种用于MTX分子的三元智能递送系统。用与AuNPs相应表面等离子体可调谐的激光波长照射该三元系统,会导致局部能量耗散,从而使客体从CD腔中可控释放。最后,使用MTS测定法评估了β-CD/MTX和AuNPs +β-CD/MTX样品在有和无照射情况下对HeLa肿瘤细胞的细胞活力。三元系统AuNPs +β-CD/MTX的照射样品导致细胞活力降低,这归因于MTX的光热释放。