Suppr超能文献

新疆绝经后汉族女性维生素D受体ApaI基因多态性与骨质疏松易感性的关系

Association of vitamin D receptor ApaI gene polymorphism with osteoporosis susceptibility in postmenopausal Han Chinese women in Xinjiang.

作者信息

Meng Defeng, Ding Xiao, Lan Jiaojiao, Peng Fangliang, Zhu Weiguo, Cheng Zeyu, Jia Haoruo, Xu Hao, Shi Chenhui, Pang Lijuan, Wang Wei Shan

机构信息

Department of Orthopedics, The First Affiliated Hospital, Shihezi University School of Medicine, Shihezi, Xinjiang 832000, P.R. China.

Department of Pathology, The First Affiliated Hospital, Shihezi University School of Medicine, Shihezi, Xinjiang 832000, P.R. China.

出版信息

Biomed Rep. 2018 Dec;9(6):483-490. doi: 10.3892/br.2018.1155. Epub 2018 Oct 3.

Abstract

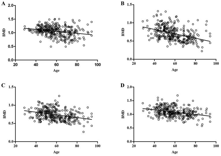
Osteoporosis is a polygenic disorder and has been demonstrated to be associated with ~30 candidate genes, the majority of which have also been implicated in the regulation of bone mineral density (BMD). Vitamin D receptor (VDR) is the candidate gene that has been most extensively studied. Certain studies have reported that the VDR single nucleotide polymorphism ApaI is associated with the risk of osteoporosis in Caucasian and African women. However, this association has not yet been studied in postmenopausal Han Chinese women in the Xinjiang area. In the present study, ApaI polymorphisms of VDR were defined by polymerase chain reaction-restriction fragment length polymorphism, in order to analyze the distribution of ApaI polymorphisms in postmenopausal Han Chinese women from Xinjiang. BMD was measured by dual energy X-ray absorptiometry at the lumbar spine (L2-4), Ward's triangle, great trochanter and femoral shaft. A total of 336 women were included in this study. The genotype distribution of ApaI was consistent with the Hardy-Weinberg equilibrium (all P>0.05). There were no significant differences in ApaI genotype frequencies between the 90 cases in the osteoporosis group and 246 cases in the non-osteoporosis group (P=0.946). Meanwhile, it was identified that BMD values of the tested locations were negatively correlated with age (P<0.05) and positively correlated with body mass index (BMI; P<0.05). On further attribution risk analysis, BMD was identified as a risk factor [odds ratio (OR): 0.464, 95% confidence interval (CI): 0.372-0.580, P=0.001] and BMI a protective factor (OR: 1.502, 95% CI: 1.008-2.240, P=0.032) in osteoporosis. When BMD was adjusted for confounding factors including age and BMI, it was observed that the ApaI polymorphism was not associated with BMD at the sites tested (P>0.05). In conclusion, the present study identified no significant association of the common VDR polymorphism ApaI with BMD at several skeletal sites in postmenopausal Han Chinese women in the Xinjiang area. Age was negatively correlated with BMD at different sites and identified as a risk factor; while BMI was positively correlated with BMD and identified as a protective factor.

摘要

骨质疏松症是一种多基因疾病,已被证明与约30个候选基因相关,其中大多数基因也参与了骨密度(BMD)的调节。维生素D受体(VDR)是研究最为广泛的候选基因。某些研究报告称,VDR单核苷酸多态性ApaI与白种人和非洲女性患骨质疏松症的风险相关。然而,在新疆地区绝经后汉族女性中尚未对这种关联进行研究。在本研究中,通过聚合酶链反应-限制性片段长度多态性来确定VDR的ApaI多态性,以分析ApaI多态性在新疆绝经后汉族女性中的分布情况。采用双能X线吸收法测量腰椎(L2-4)、沃德三角、大转子和股骨干的骨密度。本研究共纳入336名女性。ApaI的基因型分布符合哈迪-温伯格平衡(所有P>0.05)。骨质疏松组的90例患者与非骨质疏松组的246例患者之间,ApaI基因型频率无显著差异(P=0.946)。同时,研究发现所测部位的骨密度值与年龄呈负相关(P<0.05),与体重指数(BMI;P<0.05)呈正相关。在进一步的归因风险分析中,骨密度被确定为骨质疏松症的一个风险因素[比值比(OR):0.464,95%置信区间(CI):0.372-0.580,P=0.001],而BMI是一个保护因素(OR:1.502,95%CI:1.008-2.240,P=0.032)。当对包括年龄和BMI在内的混杂因素进行调整后,发现ApaI多态性与所测部位的骨密度无关(P>0.05)。总之,本研究未发现常见的VDR多态性ApaI与新疆地区绝经后汉族女性多个骨骼部位的骨密度之间存在显著关联。年龄与不同部位的骨密度呈负相关,被确定为一个风险因素;而BMI与骨密度呈正相关,被确定为一个保护因素。

https://cdn.ncbi.nlm.nih.gov/pmc/blobs/25b0/6256115/98b636ccb048/br-09-06-0483-g00.jpg

文献AI研究员

20分钟写一篇综述,助力文献阅读效率提升50倍。

立即体验

用中文搜PubMed

大模型驱动的PubMed中文搜索引擎

马上搜索

文档翻译

学术文献翻译模型,支持多种主流文档格式。

立即体验