• 文献检索
  • 文档翻译
  • 深度研究
  • 学术资讯
  • Suppr Zotero 插件Zotero 插件
  • 邀请有礼
  • 套餐&价格
  • 历史记录
应用&插件
Suppr Zotero 插件Zotero 插件浏览器插件Mac 客户端Windows 客户端微信小程序
定价
高级版会员购买积分包购买API积分包
服务
文献检索文档翻译深度研究API 文档MCP 服务
关于我们
关于 Suppr公司介绍联系我们用户协议隐私条款
关注我们

Suppr 超能文献

核心技术专利:CN118964589B侵权必究
粤ICP备2023148730 号-1Suppr @ 2026

文献检索

告别复杂PubMed语法,用中文像聊天一样搜索,搜遍4000万医学文献。AI智能推荐,让科研检索更轻松。

立即免费搜索

文件翻译

保留排版,准确专业,支持PDF/Word/PPT等文件格式,支持 12+语言互译。

免费翻译文档

深度研究

AI帮你快速写综述,25分钟生成高质量综述,智能提取关键信息,辅助科研写作。

立即免费体验

M 型六铁氧体/聚合物纳米复合材料的磁电行为

Magneto-Dielectric Behaviour of M-Type Hexaferrite/Polymer Nanocomposites.

作者信息

Sanida A, Stavropoulos S G, Speliotis Th, Psarras G C

机构信息

Smart Materials & Nanodielectrics Laboratory, Department of Materials Science, School of Natural Sciences, University of Patras, 26504 Patras, Greece.

Institute of Nanoscience and Nanotechnology, NCSR "Demokritos", Aghia Paraskevi, 15310 Athens, Greece.

出版信息

Materials (Basel). 2018 Dec 14;11(12):2551. doi: 10.3390/ma11122551.

DOI:10.3390/ma11122551
PMID:30558249
原文链接:https://pmc.ncbi.nlm.nih.gov/articles/PMC6316351/
Abstract

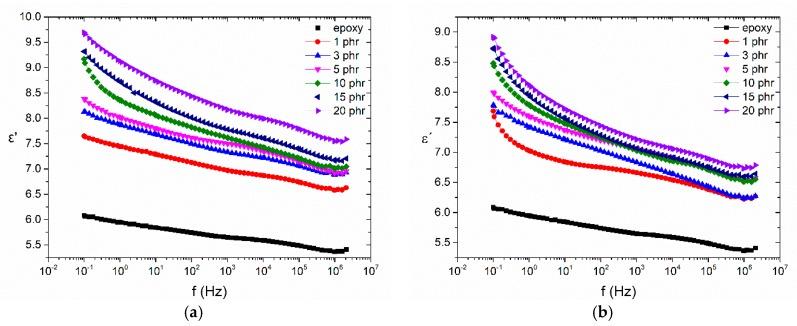
In the present study two sets of nanocomposites consisting of an epoxy resin and BaFeO or SrFeO nanoparticles were successfully developed and characterized morphologically and structurally via scanning electron microscopy and X-ray diffraction spectra. The dielectric response of the nanocomposites was investigated by means of broadband dielectric spectroscopy and their magnetic properties were derived from magnetization tests. Experimental data imply that the incorporation of the ceramic nanoparticles enhances significantly the dielectric properties of the examined systems and their ability to store electrical energy. Dielectric spectra of all systems revealed the presence of three distinct relaxation mechanisms, which are attributed both to the polymer matrix and the nanoinclusions: Interfacial polarization, glass to rubber transition of the polymer matrix and the re-orientation of small polar side groups of the polymer chain. The magnetic measurements confirmed the ferromagnetic nature of the nanocomposites. The induced magnetic properties increase with the inclusion of hexaferrite nanoparticles. The nanocomposites with SrFeO nanoparticles exhibit higher values of coercive field, magnetization, magnetic saturation and remanence magnetization. A magnetic transition was detected in the ZFC/FC curves in the case of the BaFeO/epoxy nanocomposites.

摘要

在本研究中,成功制备了两组由环氧树脂与BaFeO或SrFeO纳米颗粒组成的纳米复合材料,并通过扫描电子显微镜和X射线衍射光谱对其形态和结构进行了表征。借助宽带介电谱研究了纳米复合材料的介电响应,并通过磁化测试得出其磁性能。实验数据表明,陶瓷纳米颗粒的加入显著提高了所研究体系的介电性能及其储能能力。所有体系的介电谱均显示存在三种不同的弛豫机制,这既归因于聚合物基体,也归因于纳米夹杂物:界面极化、聚合物基体的玻璃态到橡胶态转变以及聚合物链中小极性侧基的重新取向。磁性测量证实了纳米复合材料的铁磁性质。随着六方铁氧体纳米颗粒的加入,诱导磁性能增强。含SrFeO纳米颗粒的纳米复合材料表现出更高的矫顽场、磁化强度、磁饱和和剩磁磁化强度值。在BaFeO/环氧树脂纳米复合材料的零场冷却/场冷(ZFC/FC)曲线中检测到了磁转变。

https://cdn.ncbi.nlm.nih.gov/pmc/blobs/bf26/6316351/56cec639e58a/materials-11-02551-g012.jpg
https://cdn.ncbi.nlm.nih.gov/pmc/blobs/bf26/6316351/97c30d792323/materials-11-02551-g001.jpg
https://cdn.ncbi.nlm.nih.gov/pmc/blobs/bf26/6316351/a0b992abfe4f/materials-11-02551-g002.jpg
https://cdn.ncbi.nlm.nih.gov/pmc/blobs/bf26/6316351/be57fa5dea81/materials-11-02551-g003.jpg
https://cdn.ncbi.nlm.nih.gov/pmc/blobs/bf26/6316351/946859b95088/materials-11-02551-g004.jpg
https://cdn.ncbi.nlm.nih.gov/pmc/blobs/bf26/6316351/11e8fd576834/materials-11-02551-g005.jpg
https://cdn.ncbi.nlm.nih.gov/pmc/blobs/bf26/6316351/503b6a1ee5fc/materials-11-02551-g006.jpg
https://cdn.ncbi.nlm.nih.gov/pmc/blobs/bf26/6316351/194c94b4a492/materials-11-02551-g007.jpg
https://cdn.ncbi.nlm.nih.gov/pmc/blobs/bf26/6316351/016ee3ce01b6/materials-11-02551-g008.jpg
https://cdn.ncbi.nlm.nih.gov/pmc/blobs/bf26/6316351/244b62f7e5ff/materials-11-02551-g009.jpg
https://cdn.ncbi.nlm.nih.gov/pmc/blobs/bf26/6316351/764b74263b03/materials-11-02551-g010.jpg
https://cdn.ncbi.nlm.nih.gov/pmc/blobs/bf26/6316351/3003a33805a5/materials-11-02551-g011.jpg
https://cdn.ncbi.nlm.nih.gov/pmc/blobs/bf26/6316351/56cec639e58a/materials-11-02551-g012.jpg
https://cdn.ncbi.nlm.nih.gov/pmc/blobs/bf26/6316351/97c30d792323/materials-11-02551-g001.jpg
https://cdn.ncbi.nlm.nih.gov/pmc/blobs/bf26/6316351/a0b992abfe4f/materials-11-02551-g002.jpg
https://cdn.ncbi.nlm.nih.gov/pmc/blobs/bf26/6316351/be57fa5dea81/materials-11-02551-g003.jpg
https://cdn.ncbi.nlm.nih.gov/pmc/blobs/bf26/6316351/946859b95088/materials-11-02551-g004.jpg
https://cdn.ncbi.nlm.nih.gov/pmc/blobs/bf26/6316351/11e8fd576834/materials-11-02551-g005.jpg
https://cdn.ncbi.nlm.nih.gov/pmc/blobs/bf26/6316351/503b6a1ee5fc/materials-11-02551-g006.jpg
https://cdn.ncbi.nlm.nih.gov/pmc/blobs/bf26/6316351/194c94b4a492/materials-11-02551-g007.jpg
https://cdn.ncbi.nlm.nih.gov/pmc/blobs/bf26/6316351/016ee3ce01b6/materials-11-02551-g008.jpg
https://cdn.ncbi.nlm.nih.gov/pmc/blobs/bf26/6316351/244b62f7e5ff/materials-11-02551-g009.jpg
https://cdn.ncbi.nlm.nih.gov/pmc/blobs/bf26/6316351/764b74263b03/materials-11-02551-g010.jpg
https://cdn.ncbi.nlm.nih.gov/pmc/blobs/bf26/6316351/3003a33805a5/materials-11-02551-g011.jpg
https://cdn.ncbi.nlm.nih.gov/pmc/blobs/bf26/6316351/56cec639e58a/materials-11-02551-g012.jpg

相似文献

1
Magneto-Dielectric Behaviour of M-Type Hexaferrite/Polymer Nanocomposites.M 型六铁氧体/聚合物纳米复合材料的磁电行为
Materials (Basel). 2018 Dec 14;11(12):2551. doi: 10.3390/ma11122551.
2
Investigating the Effect of Zn Ferrite Nanoparticles on the Thermomechanical, Dielectric and Magnetic Properties of Polymer Nanocomposites.研究锌铁氧体纳米颗粒对聚合物纳米复合材料热机械、介电和磁性能的影响。
Materials (Basel). 2019 Sep 17;12(18):3015. doi: 10.3390/ma12183015.
3
Multifunctional Performance of Hybrid SrFeO/BaTiO/Epoxy Resin Nanocomposites.混合 SrFeO/BaTiO/环氧树脂纳米复合材料的多功能性能
Polymers (Basel). 2022 Nov 9;14(22):4817. doi: 10.3390/polym14224817.
4
Influence of pH Adjustment Parameter for Sol-Gel Modification on Structural, Microstructure, and Magnetic Properties of Nanocrystalline Strontium Ferrite.溶胶-凝胶改性的pH调节参数对纳米晶锶铁氧体结构、微观结构和磁性的影响
Nanoscale Res Lett. 2018 May 23;13(1):160. doi: 10.1186/s11671-018-2562-x.
5
Sonochemical assisted synthesis of SrFe12O19 nanoparticles.超声辅助合成 SrFe12O19 纳米颗粒。
Ultrason Sonochem. 2016 Mar;29:470-5. doi: 10.1016/j.ultsonch.2015.10.023. Epub 2015 Oct 31.
6
Microwave properties of polymer composites containing combinations of micro- and nano-sized magnetic fillers.含有微米级和纳米级磁性填料组合的聚合物复合材料的微波特性。
J Nanosci Nanotechnol. 2008 Feb;8(2):650-4. doi: 10.1166/jnn.2008.b069.
7
The mechanically induced structural disorder in barium hexaferrite, BaFe12O19, and its impact on magnetism.钡铁氧体(BaFe12O19)中机械诱导的结构无序及其对磁性的影响。
Faraday Discuss. 2014;170:121-35. doi: 10.1039/c3fd00137g.
8
Electrical Insulation and Radar-Wave Absorption Performances of Nanoferrite/Liquid-Silicone-Rubber Composites.纳米铁氧体/液体硅橡胶复合材料的电绝缘和雷达波吸收性能。
Int J Mol Sci. 2022 Sep 9;23(18):10424. doi: 10.3390/ijms231810424.
9
Boost the Crystal Installation and Magnetic Features of Cobalt Ferrite/M-Type Strontium Ferrite Nanocomposites Double Substituted by La and Sm Ions (2CoFeO/SrFeSmLaO).增强由镧(La)和钐(Sm)离子双取代的钴铁氧体/ M型锶铁氧体纳米复合材料(2CoFeO/SrFeSmLaO)的晶体结构和磁性能。
Materials (Basel). 2021 Dec 17;14(24):7820. doi: 10.3390/ma14247820.
10
One-Pot Synthesis of (NiFe2O4)x-(SrFe12O19)1-x Nanocomposites and Their Microwave Absorption Properties.一锅法合成(NiFe2O4)x-(SrFe12O19)1-x纳米复合材料及其微波吸收性能
J Nanosci Nanotechnol. 2015 Sep;15(9):6559-67. doi: 10.1166/jnn.2015.10491.

引用本文的文献

1
Synthesis of Magnetic Nanoparticle/Polymer Matrix Nanocomposites with Induced Magnetic Performance.具有诱导磁性能的磁性纳米粒子/聚合物基体纳米复合材料的合成
Polymers (Basel). 2025 Jul 10;17(14):1913. doi: 10.3390/polym17141913.
2
Dielectric Response of ZnO/PMMA Nanocomposites with Atmospheric Pressure Plasma-Modified Surfaces.具有大气压等离子体改性表面的ZnO/PMMA纳米复合材料的介电响应
Materials (Basel). 2024 Aug 15;17(16):4063. doi: 10.3390/ma17164063.
3
Structural, thermodynamic, and magnetic properties of SrFeO hexaferrite modified by co-substitution of Cu and Gd.

本文引用的文献

1
Thermal Stability and Magnetic Properties of Polyvinylidene Fluoride/Magnetite Nanocomposites.聚偏氟乙烯/磁铁矿纳米复合材料的热稳定性和磁性
Materials (Basel). 2015 Jul 22;8(7):4553-4564. doi: 10.3390/ma8074553.
通过铜和钆共取代改性的锶铁氧体的结构、热力学和磁性特性。
RSC Adv. 2024 Mar 1;14(11):7314-7328. doi: 10.1039/d3ra08878b. eCollection 2024 Feb 29.
4
Multifunctional Performance of Hybrid SrFeO/BaTiO/Epoxy Resin Nanocomposites.混合 SrFeO/BaTiO/环氧树脂纳米复合材料的多功能性能
Polymers (Basel). 2022 Nov 9;14(22):4817. doi: 10.3390/polym14224817.
5
Real-Time Observation of Magnetic Domain Structure Changes with Increasing Temperature for Z-Type Hexagonal Ferrite.Z型六角铁氧体随温度升高的磁畴结构变化的实时观测
Materials (Basel). 2022 May 20;15(10):3646. doi: 10.3390/ma15103646.
6
Magnetic Properties and Morphology Copper-Substituted Barium Hexaferrites from Sol-Gel Auto-Combustion Synthesis.溶胶-凝胶自燃烧合成法制备的铜取代钡铁氧体的磁性与形貌
Materials (Basel). 2021 Oct 7;14(19):5873. doi: 10.3390/ma14195873.
7
Investigating the Effect of Zn Ferrite Nanoparticles on the Thermomechanical, Dielectric and Magnetic Properties of Polymer Nanocomposites.研究锌铁氧体纳米颗粒对聚合物纳米复合材料热机械、介电和磁性能的影响。
Materials (Basel). 2019 Sep 17;12(18):3015. doi: 10.3390/ma12183015.