Suppr超能文献

基于碳和玻璃非卷曲织物的层间/层内混杂复合材料的低速冲击行为

Low-Velocity Impact Behavior of Interlayer/Intralayer Hybrid Composites Based on Carbon and Glass Non-Crimp Fabric.

作者信息

Zhang Chen, Rao Yunfei, Li Zhe, Li Wei

机构信息

College of Textiles, Donghua University, NO.2999, Northern Renmin Road, Shanghai 201620, China.

Key Lab of Textile Science & Technology, Ministry of Education, NO.2999, Northern Renmin Road, Shanghai 201620, China.

出版信息

Materials (Basel). 2018 Dec 5;11(12):2472. doi: 10.3390/ma11122472.

Abstract

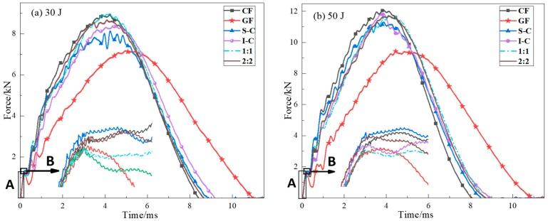
Composites have gained wide use in structural applications; however, they are sensitive to impact damage. The use of hybrid composites is an effective way to overcome this deficiency. The effects of various hybrid structures of interlayer and intralayer warp-knitted fabrics with carbon and glass fibers on the low-velocity impact behavior of composite laminates were studied. Drop-weight impact tests were conducted on two types of interlayer, sandwich and intralayer hybrid composite laminates, which were compared with homogenous composite laminates. During low-velocity impact tests, the time histories of impact forces and absorbed energy by laminate were recorded. The failure modes were analyzed using the micro-CT (computed tomography) and C-scan techniques. The results revealed that the hybrid structure played an important role in peak force and the absorbed energy, and that the hybrid interface had an influence on damage modes, whereas the intralayer hybrid composite laminate damage was affected by the impact location. The intralayer hybrid laminate with C:G = 1:1 exhibited better impact resistance compared to the other hybrid structures.

摘要

复合材料在结构应用中已得到广泛应用;然而,它们对冲击损伤很敏感。使用混杂复合材料是克服这一缺陷的有效方法。研究了含碳和玻璃纤维的层间和层内经编织物的各种混杂结构对复合层压板低速冲击行为的影响。对两种类型的层间、夹层和层内混杂复合层压板进行了落锤冲击试验,并与均质复合层压板进行了比较。在低速冲击试验期间,记录了层压板的冲击力和吸收能量的时间历程。使用微型计算机断层扫描(CT)和C扫描技术分析了失效模式。结果表明,混杂结构在峰值力和吸收能量方面起着重要作用,并且混杂界面会影响损伤模式,而层内混杂复合层压板的损伤受冲击位置的影响。与其他混杂结构相比,碳与玻璃纤维比例为1:1的层内混杂层压板表现出更好的抗冲击性。

https://cdn.ncbi.nlm.nih.gov/pmc/blobs/279b/6316976/c58afb5d026b/materials-11-02472-g001.jpg

文献AI研究员

20分钟写一篇综述,助力文献阅读效率提升50倍。

立即体验

用中文搜PubMed

大模型驱动的PubMed中文搜索引擎

马上搜索

文档翻译

学术文献翻译模型,支持多种主流文档格式。

立即体验