Abdel-Maksoud Mostafa A, Abdel-Ghaffar Fathy A, El-Amir Azza, Badr Gamal, Al-Quraishy Saleh
Zoology Department, College of Science, King Saud University, Riyadh 11451, Saudi Arabia.
Zoology Department, Faculty of Science, Cairo University, Cairo 61616, Egypt.
Saudi J Biol Sci. 2018 Dec;25(8):1609-1616. doi: 10.1016/j.sjbs.2016.05.015. Epub 2016 May 26.
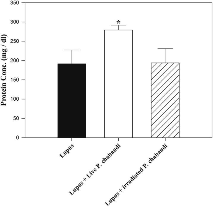
Systemic lupus erythematosus (SLE) is a prototypic autoimmune disease that has a mysterious relationship with malaria infection. The current study was designated to compare between the effect of the live and the gamma irradiated infection on BWF1 lupus murine model. A total of 30 female BWF1 mice were randomly divided into three groups (10 mice/group) as follows: group (I) lupus group (lupus non infected); group (II) live malaria infected group (lupus + live malaria infection); and group (III) irradiated malaria-infected group (lupus + gamma irradiated malaria infection). Live infection was accompanied with a decrease in survival rate and food consumption in comparison to the control group of mice while gamma irradiated -infection was unable to do this effect. Additionally, live infection was accompanied with an increased level of proteinuria and increased rate of immune complexes deposition in kidney. Moreover, infection with live, but not gamma-irradiated was accompanied with an increase in nitric oxide (NO), hydrogen peroxide (HO), and malondialdehyde (MDA) levels in plasma of lupus mice. The levels of both total cholesterol and triglycerides in plasma of lupus mice after live infection were obviously decreased in comparison to the control group. On the other hand, gamma-irradiated infection resembled the control group. Our data revealed that infection of lupus mice with live but not gamma-irradiated has several histological and biochemical effects.
系统性红斑狼疮(SLE)是一种典型的自身免疫性疾病,与疟疾感染有着神秘的关系。本研究旨在比较活疟原虫感染和γ射线辐照疟原虫感染对BWF1狼疮小鼠模型的影响。总共30只雌性BWF1小鼠被随机分为三组(每组10只小鼠),如下:第一组(I组)为狼疮组(未感染疟疾的狼疮小鼠);第二组(II组)为活疟原虫感染组(狼疮小鼠 + 活疟原虫感染);第三组(III组)为辐照疟原虫感染组(狼疮小鼠 + γ射线辐照疟原虫感染)。与对照组小鼠相比,活疟原虫感染伴随着生存率降低和食物摄入量减少,而γ射线辐照疟原虫感染则没有这种影响。此外,活疟原虫感染伴随着蛋白尿水平升高和肾脏中免疫复合物沉积率增加。而且,活疟原虫感染(而非γ射线辐照疟原虫感染)伴随着狼疮小鼠血浆中一氧化氮(NO)、过氧化氢(HO)和丙二醛(MDA)水平升高。与对照组相比,活疟原虫感染后狼疮小鼠血浆中的总胆固醇和甘油三酯水平均明显降低。另一方面,γ射线辐照疟原虫感染组与对照组相似。我们的数据显示,活疟原虫感染(而非γ射线辐照疟原虫感染)的狼疮小鼠会产生多种组织学和生化效应。