Suppr超能文献

血红蛋白 A 作为冠心病风险因素的孟德尔随机化分析。

Mendelian Randomization Analysis of Hemoglobin A as a Risk Factor for Coronary Artery Disease.

机构信息

Massachusetts General Hospital, Boston, MA

Harvard Medical School, Boston, MA.

出版信息

Diabetes Care. 2019 Jul;42(7):1202-1208. doi: 10.2337/dc18-1712. Epub 2019 Jan 18.

Abstract

OBJECTIVE

Observational studies show that higher hemoglobin A (A1C) predicts coronary artery disease (CAD). It remains unclear whether this association is driven entirely by glycemia. We used Mendelian randomization (MR) to test whether A1C is causally associated with CAD through glycemic and/or nonglycemic factors.

RESEARCH DESIGN AND METHODS

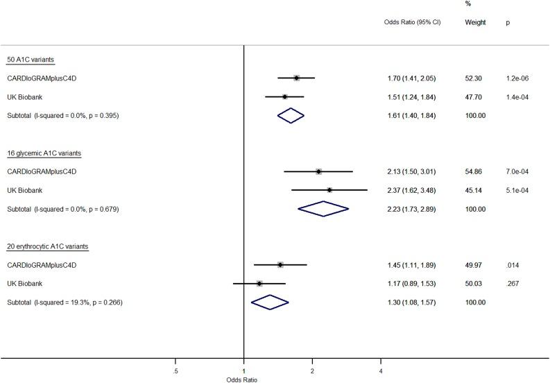
To examine the association of A1C with CAD, we selected 50 A1C-associated variants (log Bayes factor ≥6) from an A1C genome-wide association study (GWAS; = 159,940) and performed an inverse-variance weighted average of variant-specific causal estimates from CAD GWAS data (CARDIoGRAMplusC4D; 60,801 CAD case subjects/123,504 control subjects). We then replicated results in UK Biobank (18,915 CAD case subjects/455,971 control subjects) and meta-analyzed all results. Next, we conducted analyses using two subsets of variants, 16 variants associated with glycemic measures (fasting or 2-h glucose) and 20 variants associated with erythrocyte indices (e.g., hemoglobin [Hb]) but not glycemic measures. In additional MR analyses, we tested the association of Hb with A1C and CAD.

RESULTS

Genetically increased A1C was associated with higher CAD risk (odds ratio [OR] 1.61 [95% CI 1.40, 1.84] per %-unit, = 6.9 × 10). Higher A1C was associated with increased CAD risk when using only glycemic variants (OR 2.23 [1.73, 2.89], = 1.0 × 10) and when using only erythrocytic variants (OR 1.30 [1.08, 1.57], = 0.006). Genetically decreased Hb, with concomitantly decreased mean corpuscular volume, was associated with higher A1C (0.30 [0.27, 0.33] %-unit, = 2.9 × 10) per g/dL and higher CAD risk (OR 1.19 [1.04, 1.37], = 0.02).

CONCLUSIONS

Genetic evidence supports a causal link between higher A1C and higher CAD risk. This relationship is driven not only by glycemic but also by erythrocytic, glycemia-independent factors.

摘要

目的

观察性研究表明,较高的血红蛋白 A(A1C)可预测冠状动脉疾病(CAD)。目前尚不清楚这种关联是否完全由血糖驱动。我们使用孟德尔随机化(MR)来测试 A1C 是否通过血糖和/或非血糖因素与 CAD 存在因果关系。

研究设计和方法

为了研究 A1C 与 CAD 的相关性,我们从 A1C 全基因组关联研究(GWAS;= 159940)中选择了 50 个与 A1C 相关的变异(对数贝叶斯因子≥6),并对来自 CAD GWAS 数据(CARDIOGRAMplusC4D;60801 例 CAD 病例/123504 例对照)的变异特异性因果估计值进行了逆方差加权平均。然后,我们在英国生物银行(18915 例 CAD 病例/455971 例对照)中复制了结果,并对所有结果进行了荟萃分析。接下来,我们使用两个亚组的变异进行了分析,16 个变异与血糖测量(空腹或 2 小时血糖)相关,20 个变异与红细胞指数(例如血红蛋白[Hb])相关,但与血糖测量无关。在额外的 MR 分析中,我们测试了 Hb 与 A1C 和 CAD 的关联。

结果

遗传上 A1C 升高与 CAD 风险增加相关(每%单位的比值比[OR]为 1.61[95%CI,1.40-1.84], = 6.9×10)。仅使用血糖变异时,较高的 A1C 与 CAD 风险增加相关(OR 2.23[1.73-2.89], = 1.0×10),仅使用红细胞变异时,较高的 A1C 与 CAD 风险增加相关(OR 1.30[1.08-1.57], = 0.006)。遗传上 Hb 降低,同时平均红细胞体积降低,与 A1C 升高(每 g/dL 升高 0.30[0.27-0.33]%, = 2.9×10)和 CAD 风险增加(OR 1.19[1.04-1.37], = 0.02)相关。

结论

遗传证据支持 A1C 升高与 CAD 风险增加之间存在因果关系。这种关系不仅由血糖驱动,还由红细胞、血糖独立的因素驱动。

https://cdn.ncbi.nlm.nih.gov/pmc/blobs/a797/6609962/e70306a61c03/dc181712f1.jpg

文献检索

告别复杂PubMed语法,用中文像聊天一样搜索,搜遍4000万医学文献。AI智能推荐,让科研检索更轻松。

立即免费搜索

文件翻译

保留排版,准确专业,支持PDF/Word/PPT等文件格式,支持 12+语言互译。

免费翻译文档

深度研究

AI帮你快速写综述,25分钟生成高质量综述,智能提取关键信息,辅助科研写作。

立即免费体验