Suppr超能文献

玄参苷(SS)和桃叶珊瑚苷(VS)(环烯醚萜苷):采用密度泛函理论(DFT)进行的分离、表征及量子化学比较研究

Specioside (SS) & verminoside (VS) (Iridoid glycosides): isolation, characterization and comparable quantum chemical studies using density functional theory (DFT).

作者信息

Saini Monika, Sangwan Reetu, Khan Mohammad Faheem, Kumar Ashok, Verma Ruchi, Jain Sudha

机构信息

Department of Chemistry, University of Lucknow, Lucknow, 226007, Uttar Pradesh, India.

Department of Biotechnology, Era Medical College, Era University, Lucknow, 226003, Uttar Pradesh, India.

出版信息

Heliyon. 2019 Jan 11;5(1):e01118. doi: 10.1016/j.heliyon.2019.e01118. eCollection 2019 Jan.

Abstract

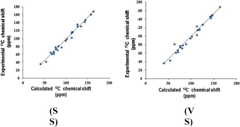
Two biologically important molecules specioside (SS) and verminoside (VS) have been isolated from the ethanolic extract of stem bark of . We have explored the electronic and spectroscopic properties of these two molecules on the basis of the Density Function Theory (DFT) quantum chemical calculations along with the correlations of biological efficacies and the results are presented in this paper. The structures of the molecules were established with the help of spectroscopic techniques (H, C NMR, UV-VIS, FTIR) and chemical reactivity was compared by computed DFT theory using Becke3-Lee-Yang-Parr (B3LYP)/6-31G (d,p) data basis set. UV-Visible spectrum was obtained using Time Dependent DFT method. Electric dipole moment, polarizability, first static hyper polarizability and hyper conjugative interactions were also studied with the aid of natural bond orbital (NBO) analysis of these two compounds. The thermodynamic parameters of these compounds were determined at various temperatures. The HOMO, LUMO, chemical hardness (η), chemical potential (μ), electronegativity (χ), electrophilicity power (ω), the gap energy and NBO analysis of both the compounds have been discussed in this paper. Local reactivity was evaluated through the Fukui function i.

摘要

从[植物名称]茎皮的乙醇提取物中分离出了两种具有重要生物学意义的分子,即specoside(SS)和verminoside(VS)。我们基于密度泛函理论(DFT)量子化学计算,探讨了这两种分子的电子和光谱性质,并将其与生物活性进行了关联,相关结果在本文中呈现。借助光谱技术(氢谱、碳谱、紫外可见光谱、傅里叶变换红外光谱)确定了分子结构,并使用Becke3-Lee-Yang-Parr(B3LYP)/6-31G(d,p)数据集通过计算DFT理论比较了化学反应活性。采用含时密度泛函方法获得紫外可见光谱。还借助这两种化合物的自然键轨道(NBO)分析研究了电偶极矩、极化率、第一静态超极化率和超共轭相互作用。在不同温度下测定了这些化合物的热力学参数。本文讨论了这两种化合物的最高占据分子轨道(HOMO)、最低未占据分子轨道(LUMO)、化学硬度(η)、化学势(μ)、电负性(χ)、亲电能力(ω)、能隙能量以及NBO分析。通过福井函数i评估了局部反应活性。

https://cdn.ncbi.nlm.nih.gov/pmc/blobs/5838/6330558/0a5a19b31972/gr1.jpg

文献检索

告别复杂PubMed语法,用中文像聊天一样搜索,搜遍4000万医学文献。AI智能推荐,让科研检索更轻松。

立即免费搜索

文件翻译

保留排版,准确专业,支持PDF/Word/PPT等文件格式,支持 12+语言互译。

免费翻译文档

深度研究

AI帮你快速写综述,25分钟生成高质量综述,智能提取关键信息,辅助科研写作。

立即免费体验