Sean David, Landsgesell Jonas, Holm Christian
Institute for computational physics, University of Stuttgart, Allmandring 3, 70569 Stuttgart, Germany.
Gels. 2017 Dec 27;4(1):2. doi: 10.3390/gels4010002.
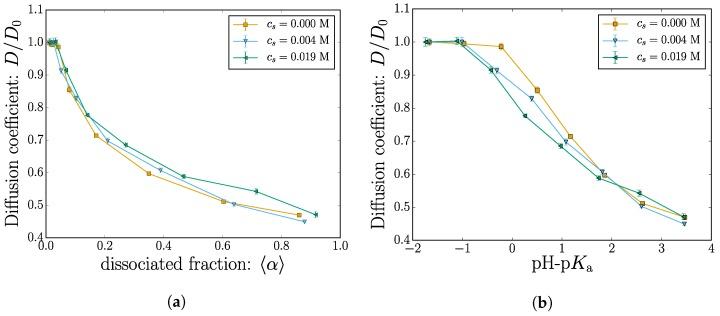
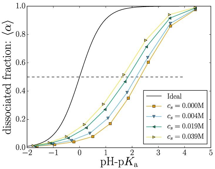
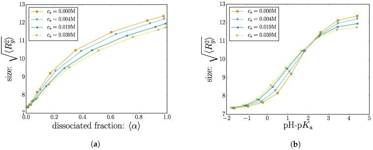
We investigate the chemical equilibria of weak polyelectrolyte nanogels with reaction ensemble Monte Carlo simulations. With this method, the chemical identity of the nanogel monomers can change between neutral or charged following the acid-base equilibrium reaction HA ⇌ A + H⁺. We investigate the effect of changing the chemical equilibria by modifying the dissociation constant K a . These simulations allow for the extraction of static properties like swelling equilibria and the way in which charge-both monomer and ionic-is distributed inside the nanogel. Our findings reveal that, depending on the value of K a , added salt can either increase or decrease the gel size. Using the calculated mean-charge configurations of the nanogel from the reaction ensemble simulation as a quenched input to coupled lattice-Boltzmann molecular dynamics simulations, we investigate dynamical nanogel properties such as the electrophoretic mobility μ and the diffusion coefficient .
我们通过反应系综蒙特卡罗模拟研究了弱聚电解质纳米凝胶的化学平衡。使用这种方法,纳米凝胶单体的化学性质可根据酸碱平衡反应HA⇌A + H⁺在中性或带电状态之间变化。我们通过改变解离常数Ka来研究化学平衡变化的影响。这些模拟能够提取诸如溶胀平衡等静态性质,以及纳米凝胶内部电荷(单体电荷和离子电荷)的分布方式。我们的研究结果表明,根据Ka的值,添加的盐可以增大或减小凝胶尺寸。将反应系综模拟计算得到的纳米凝胶平均电荷构型作为淬火输入,用于耦合格子玻尔兹曼分子动力学模拟,我们研究了纳米凝胶的动力学性质,如电泳迁移率μ和扩散系数。