Suppr超能文献

采用 18F 标记的适体进行 HER2 表达的 PET 成像。

PET imaging of HER2 expression with an 18F-fluoride labeled aptamer.

机构信息

Department of Nuclear Medicine, Yonsei University College of Medicine, Gangnam Severance Hospital, Seoul, Korea.

Department of Nuclear Medicine, Yonsei University College of Medicine, Severance Hospital, Seoul, Korea.

出版信息

PLoS One. 2019 Jan 25;14(1):e0211047. doi: 10.1371/journal.pone.0211047. eCollection 2019.

Abstract

BACKGROUND/PURPOSE: Aptamers are oligonucleotide or peptide molecules that bind to a target molecule with high affinity and specificity. The present study aimed to evaluate the target specificity and applicability for in vivo molecular imaging of an aptamer labeled with a radioisotope.

METHODS

The human epidermal growth factor receptor 2 (HER2/ErbB2) aptamer was radiolabeled with 18F-fluoride. HER2-positive tumor cell uptake of the aptamer was evaluated in comparison to negative controls by flow cytometry and confocal microscopy. Using 18F-labeled HER2-specific aptamer positron emission tomography (PET), in vivo molecular images of BT474 tumor-bearing mice were taken at 60, 90 and 120 minutes after injection.

RESULTS

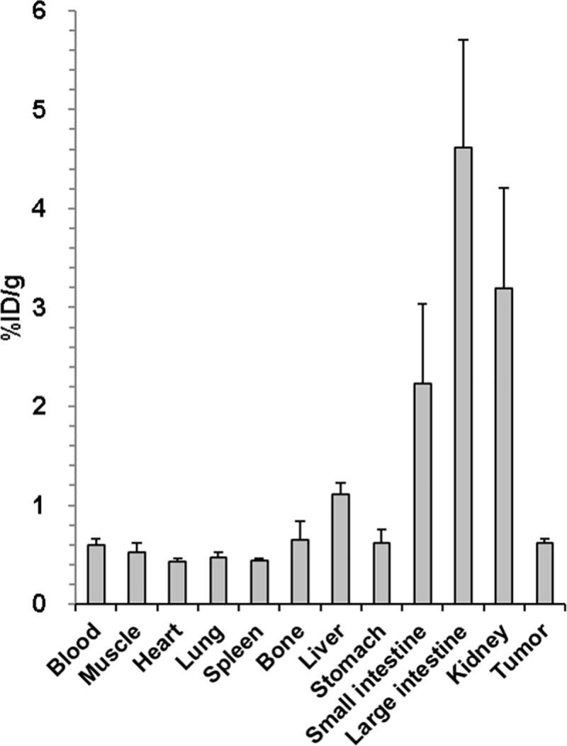
In flow cytometric analysis, HER2 aptamer showed strong binding to HER2-positive BT474 cells, while binding to HER2-negative MDA-MB231 cells was quite low. Likewise, in confocal microscopic images, the aptamer was bound to HER2-positive breast cancer cells, with minimal binding to HER2-negative cells. In vivo PET molecular imaging of BT474 tumor-bearing mice revealed significant higher uptake of the 18F-labeled HER2 specific aptamer into the tumor compared to the that of HER2-negative cell tumor(p = 0.033). HER2 aptamer was able to preferentially bind to HER2-positive breast cancer cells both in vitro and in vivo, by recognizing HER2 structure on the surface of these cells.

CONCLUSION

The 18F-labeled aptamer enabled appropriate visualization of HER2 expression by human breast cancer cells. The results suggest that a radiolabeled HER2 aptamer could potentially be applied in the development of treatment strategies or in targeted therapy against HER2-positive breast cancer cells.

摘要

背景/目的:适体是与靶分子具有高亲和力和特异性结合的寡核苷酸或肽分子。本研究旨在评估放射性同位素标记的适体的靶特异性和在体内分子成像中的适用性。

方法

用 18F-氟化物标记人表皮生长因子受体 2(HER2/ErbB2)适体。通过流式细胞术和共聚焦显微镜评估与阴性对照相比,HER2 阳性肿瘤细胞对适体的摄取。使用 18F 标记的 HER2 特异性适体正电子发射断层扫描(PET),在注射后 60、90 和 120 分钟对 BT474 荷瘤小鼠进行体内分子成像。

结果

在流式细胞分析中,HER2 适体与 HER2 阳性 BT474 细胞表现出强烈的结合,而与 HER2 阴性 MDA-MB231 细胞的结合则相当低。同样,在共聚焦显微镜图像中,适体与 HER2 阳性乳腺癌细胞结合,与 HER2 阴性细胞结合很少。BT474 荷瘤小鼠的体内 PET 分子成像显示,与 HER2 阴性细胞肿瘤相比,18F 标记的 HER2 特异性适体对肿瘤的摄取显著更高(p = 0.033)。HER2 适体能够通过识别这些细胞表面的 HER2 结构,在体外和体内优先结合 HER2 阳性乳腺癌细胞。

结论

18F 标记的适体能适当地可视化人乳腺癌细胞的 HER2 表达。结果表明,放射性标记的 HER2 适体有可能应用于针对 HER2 阳性乳腺癌细胞的治疗策略或靶向治疗的开发。

https://cdn.ncbi.nlm.nih.gov/pmc/blobs/b2f6/6347211/a2aa4f13bad6/pone.0211047.g001.jpg

文献检索

告别复杂PubMed语法,用中文像聊天一样搜索,搜遍4000万医学文献。AI智能推荐,让科研检索更轻松。

立即免费搜索

文件翻译

保留排版,准确专业,支持PDF/Word/PPT等文件格式,支持 12+语言互译。

免费翻译文档

深度研究

AI帮你快速写综述,25分钟生成高质量综述,智能提取关键信息,辅助科研写作。

立即免费体验