Suppr超能文献

比较急性接触太极拳和散步后血压的变化。

Comparing the Changes in Blood Pressure After Acute Exposure to Tai Chi and Walking.

作者信息

Maris Stephen A, Winter Christa R, Paolone Vincent J, Headley Samuel A E

机构信息

Department of Exercise Science and Sport Studies, Springfield College, Springfield, MA, USA.

Division of Endocrinology, Diabetes and Hypertension, Brigham and Women's Hospital and Harvard Medical School, Boston, MA, USA.

出版信息

Int J Exerc Sci. 2019 Jan 1;12(3):77-87. doi: 10.70252/AAUX3960. eCollection 2019.

Abstract

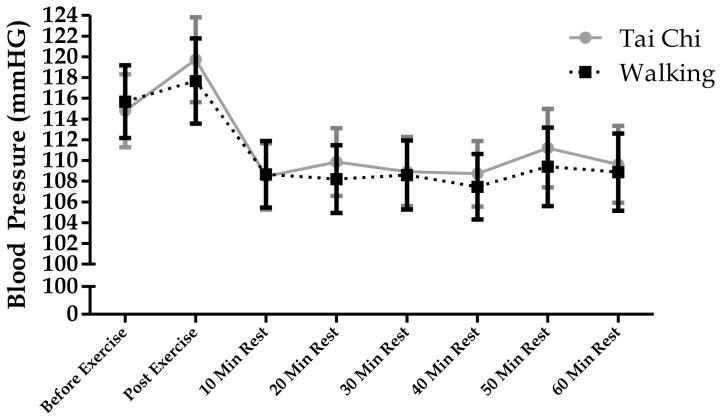
Hypertension is a major health concern throughout the United States and is a major cause of cardiovascular disease. The purpose of this study was to compare the responses of Tai Chi and walking on measures of central and peripheral cardiac mechanisms when controlling for exercise intensity. Fifteen hypertensive subjects (2 males, 13 females; age = 20.7 ± 3.77 years; body fat = 24.26 ± 10.27%) participated in Tai Chi (TC) and walking (WK) for 30 minutes on non-consecutive days. Central systolic (CSBP) and diastolic blood pressure (CDBP), augmentation index (Alx), pulse pressure (PP), heart rate (HR), and brachial systolic (BSBP) and diastolic blood pressure (BDBP) were measured prior to exercise and following exercise every 10 minutes for a total of 60 minutes in a seated position. There were no significant differences between the two exercise forms. CSBP decreased 10 minutes after exercise in both exercise types (TC = 6.63 ± 3.258 mmHG; WK = 7 ± 4.144 mmHG < 0.05), and 40 minutes after exercise in both exercise types (TC = 6.07 ± 3.33 mmHG; WK = 8.2 ± 3.15 mmHG, < 0.05) compared to the initial measurement. BSBP also decreased in both exercise forms following 10 min of rest (TC = 6.99 ± 3.776 mmHG; WK = 8.8 ± 3.20 mmHG = 0.05), and 40 min (TC = 8.46 ± 3.07 mmHG; WK = 8.87 ± 3.87 mmHG, < 0.05) when compared to the initial resting measurement. Central aortic pressure exhibits a post exercise hypotensive (PEH) effect similar to that of peripheral blood pressure. Both Tai Chi and walking elicited similar PEH effects on systolic blood pressure in hypertensive individuals.

摘要

高血压是美国主要的健康问题,也是心血管疾病的主要病因。本研究的目的是在控制运动强度的情况下,比较太极拳和步行对心脏中枢及外周机制指标的影响。15名高血压受试者(2名男性,13名女性;年龄=20.7±3.77岁;体脂=24.26±10.27%)在非连续的日子里分别进行30分钟的太极拳(TC)和步行(WK)运动。在运动前以及运动后每隔10分钟测量一次中心收缩压(CSBP)、中心舒张压(CDBP)、增强指数(Alx)、脉压(PP)、心率(HR)以及肱动脉收缩压(BSBP)和舒张压(BDBP),共测量60分钟,测量时受试者均处于坐姿。两种运动形式之间没有显著差异。两种运动类型在运动后10分钟时CSBP均下降(太极拳组=6.63±3.258 mmHg;步行组=7±4.144 mmHg,P<0.05),在运动后40分钟时也均下降(太极拳组=6.07±3.33 mmHg;步行组=8.2±3.15 mmHg,P<0.05),与初始测量值相比。两种运动形式在休息10分钟后(太极拳组=6.99±3.776 mmHg;步行组=8.8±3.20 mmHg,P=0.05)以及休息40分钟后(太极拳组=8.46±3.07 mmHg;步行组=8.87±3.87 mmHg,P<0.05),BSBP也均下降,与初始休息测量值相比。中心主动脉压表现出与外周血压相似的运动后低血压(PEH)效应。太极拳和步行对高血压个体的收缩压均产生相似的PEH效应。

https://cdn.ncbi.nlm.nih.gov/pmc/blobs/77fc/6355127/597eb3f98a25/ijes-12-3-77f1.jpg

相似文献

1
Comparing the Changes in Blood Pressure After Acute Exposure to Tai Chi and Walking.
Int J Exerc Sci. 2019 Jan 1;12(3):77-87. doi: 10.70252/AAUX3960. eCollection 2019.
2
Caffeine ingestion alters central hemodynamics following aerobic exercise in middle-aged men.
Eur J Appl Physiol. 2021 Feb;121(2):435-443. doi: 10.1007/s00421-020-04521-3. Epub 2020 Oct 24.
4
Resistance exercise lowers blood pressure and improves vascular endothelial function in individuals with elevated blood pressure or stage-1 hypertension.
Am J Physiol Heart Circ Physiol. 2024 Jan 1;326(1):H256-H269. doi: 10.1152/ajpheart.00386.2023. Epub 2023 Nov 17.
7
Salt restriction lowers blood pressure at rest and during exercise without altering peripheral hemodynamics in hypertensive individuals.
Am J Physiol Heart Circ Physiol. 2019 Dec 1;317(6):H1194-H1202. doi: 10.1152/ajpheart.00431.2019. Epub 2019 Oct 4.
10
Postexercise Hypotension Is Delayed in Men With Obesity and Hypertension.
Front Physiol. 2022 Mar 8;13:819616. doi: 10.3389/fphys.2022.819616. eCollection 2022.

引用本文的文献

1
Effects of Tai Chi and Qigong intervention on anxiety and stress in diabetic and hypertensive Brazilian patients: a randomized controlled trial.
Einstein (Sao Paulo). 2025 Mar 24;23:eAO1076. doi: 10.31744/einstein_journal/2025AO1076. eCollection 2025.
2
Effects of Tai Chi on the Executive Function and Physical Fitness of Female Methamphetamine Dependents: A Randomized Controlled Trial.
Front Psychiatry. 2021 Jun 10;12:653229. doi: 10.3389/fpsyt.2021.653229. eCollection 2021.

本文引用的文献

1
Evidence base of clinical studies on Tai Chi: a bibliometric analysis.
PLoS One. 2015 Mar 16;10(3):e0120655. doi: 10.1371/journal.pone.0120655. eCollection 2015.
4
Tai chi training reduces self-report of inattention in healthy young adults.
Front Hum Neurosci. 2014 Jan 27;8:13. doi: 10.3389/fnhum.2014.00013. eCollection 2014.
5
Central blood pressure: current evidence and clinical importance.
Eur Heart J. 2014 Jul;35(26):1719-25. doi: 10.1093/eurheartj/eht565. Epub 2014 Jan 23.
6
7
Postexercise hypotension: central mechanisms.
Exerc Sport Sci Rev. 2010 Jul;38(3):122-7. doi: 10.1097/JES.0b013e3181e372b5.
8
US trends in prevalence, awareness, treatment, and control of hypertension, 1988-2008.
JAMA. 2010 May 26;303(20):2043-50. doi: 10.1001/jama.2010.650.
10
Tai Chi Chih acutely decreases sympathetic nervous system activity in older adults.
J Gerontol A Biol Sci Med Sci. 2006 Nov;61(11):1177-80. doi: 10.1093/gerona/61.11.1177.

文献AI研究员

20分钟写一篇综述,助力文献阅读效率提升50倍。

立即体验

用中文搜PubMed

大模型驱动的PubMed中文搜索引擎

马上搜索

文档翻译

学术文献翻译模型,支持多种主流文档格式。

立即体验