• 文献检索
  • 文档翻译
  • 深度研究
  • 学术资讯
  • Suppr Zotero 插件Zotero 插件
  • 邀请有礼
  • 套餐&价格
  • 历史记录
应用&插件
Suppr Zotero 插件Zotero 插件浏览器插件Mac 客户端Windows 客户端微信小程序
定价
高级版会员购买积分包购买API积分包
服务
文献检索文档翻译深度研究API 文档MCP 服务
关于我们
关于 Suppr公司介绍联系我们用户协议隐私条款
关注我们

Suppr 超能文献

核心技术专利:CN118964589B侵权必究
粤ICP备2023148730 号-1Suppr @ 2026

文献检索

告别复杂PubMed语法,用中文像聊天一样搜索,搜遍4000万医学文献。AI智能推荐,让科研检索更轻松。

立即免费搜索

文件翻译

保留排版,准确专业,支持PDF/Word/PPT等文件格式,支持 12+语言互译。

免费翻译文档

深度研究

AI帮你快速写综述,25分钟生成高质量综述,智能提取关键信息,辅助科研写作。

立即免费体验

少量离子液体存在下聚甲醛的结晶行为研究

Investigation on the Crystallization Behaviors of Polyoxymethylene with a Small Amount of Ionic Liquid.

作者信息

Jiao Qi, Chen Qin, Wang Lian, Chen Hualin, Li Yongjin

机构信息

Chengdu Institute of Organic Chemistry, Chinese Academy of Sciences, Chengdu 610041, China.

University of Chinese Academy of Sciences, Beijing 100049, China.

出版信息

Nanomaterials (Basel). 2019 Feb 5;9(2):206. doi: 10.3390/nano9020206.

DOI:10.3390/nano9020206
PMID:30764561
原文链接:https://pmc.ncbi.nlm.nih.gov/articles/PMC6409690/
Abstract

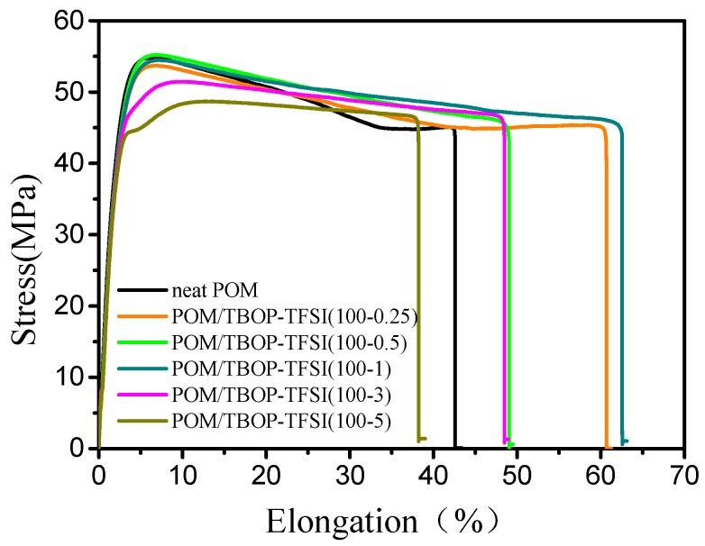
Polyoxymethylene (POM) blends with excellent stiffness⁻toughness balance are successfully developed using Tributyl(octyl)phosphonium bis(trifloromethanesulfonyl) imide (TBOP-TFSI), one type of room-temperature ionic liquid, as the nucleating agent. Crystallization behaviors of POM blends have been studied by differential scanning calorimetry (DSC) and polarized light microscopy (PLM). The incorporation of TBOP-TFSI induces the crystal nucleation and fine crystal grain of POM, and also a much shorter hemi-crystalline time with only 0.5 wt% addition. The nucleation effect of ionic liquid leads to considerable improvement in the impact strength of POM blends while not sacrificing its tensile strength. Moreover, antistatic properties with a long-time stable performance are achieved by TBOP-TFSI addition as the electrical resistance reaches 10 Ω/sq.

摘要

使用一种室温离子液体三丁基(辛基)鏻双(三氟甲磺酰)亚胺(TBOP-TFSI)作为成核剂,成功开发出了具有优异刚度-韧性平衡的聚甲醛(POM)共混物。通过差示扫描量热法(DSC)和偏光显微镜(PLM)研究了POM共混物的结晶行为。加入TBOP-TFSI可诱导POM的晶核形成和细化晶粒,并且在仅添加0.5 wt%时半结晶时间也大大缩短。离子液体的成核作用在不牺牲POM共混物拉伸强度的情况下,使其冲击强度得到显著提高。此外,通过添加TBOP-TFSI实现了具有长期稳定性能的抗静电性能,电阻达到10 Ω/sq。

https://cdn.ncbi.nlm.nih.gov/pmc/blobs/81e9/6409690/7b55b4a74161/nanomaterials-09-00206-g006.jpg
https://cdn.ncbi.nlm.nih.gov/pmc/blobs/81e9/6409690/8d2fa705f927/nanomaterials-09-00206-g001.jpg
https://cdn.ncbi.nlm.nih.gov/pmc/blobs/81e9/6409690/8271343a53d9/nanomaterials-09-00206-g002.jpg
https://cdn.ncbi.nlm.nih.gov/pmc/blobs/81e9/6409690/be2c9ed1de78/nanomaterials-09-00206-g003.jpg
https://cdn.ncbi.nlm.nih.gov/pmc/blobs/81e9/6409690/6ffa6d04acd6/nanomaterials-09-00206-g004.jpg
https://cdn.ncbi.nlm.nih.gov/pmc/blobs/81e9/6409690/ad0febccc4e1/nanomaterials-09-00206-g005.jpg
https://cdn.ncbi.nlm.nih.gov/pmc/blobs/81e9/6409690/7b55b4a74161/nanomaterials-09-00206-g006.jpg
https://cdn.ncbi.nlm.nih.gov/pmc/blobs/81e9/6409690/8d2fa705f927/nanomaterials-09-00206-g001.jpg
https://cdn.ncbi.nlm.nih.gov/pmc/blobs/81e9/6409690/8271343a53d9/nanomaterials-09-00206-g002.jpg
https://cdn.ncbi.nlm.nih.gov/pmc/blobs/81e9/6409690/be2c9ed1de78/nanomaterials-09-00206-g003.jpg
https://cdn.ncbi.nlm.nih.gov/pmc/blobs/81e9/6409690/6ffa6d04acd6/nanomaterials-09-00206-g004.jpg
https://cdn.ncbi.nlm.nih.gov/pmc/blobs/81e9/6409690/ad0febccc4e1/nanomaterials-09-00206-g005.jpg
https://cdn.ncbi.nlm.nih.gov/pmc/blobs/81e9/6409690/7b55b4a74161/nanomaterials-09-00206-g006.jpg

相似文献

1
Investigation on the Crystallization Behaviors of Polyoxymethylene with a Small Amount of Ionic Liquid.少量离子液体存在下聚甲醛的结晶行为研究
Nanomaterials (Basel). 2019 Feb 5;9(2):206. doi: 10.3390/nano9020206.
2
Effect of Polyhedral Oligomeric Silsesquioxane on the Melting, Structure, and Mechanical Behavior of Polyoxymethylene.多面体低聚倍半硅氧烷对聚甲醛的熔融、结构及力学行为的影响
Polymers (Basel). 2018 Feb 17;10(2):203. doi: 10.3390/polym10020203.
3
Enhanced crystallization rate of poly(L-lactic acid) (PLLA) by polyoxymethylene (POM) fragment crystals in the PLLA/POM blends with a small amount of POM.在含有少量聚甲醛(POM)的聚左旋乳酸(PLLA)/POM共混物中,POM碎片晶体提高了聚左旋乳酸(PLLA)的结晶速率。
J Phys Chem B. 2014 Jun 26;118(25):7167-76. doi: 10.1021/jp412519g. Epub 2014 Jun 12.
4
Glass-Fiber Networks as an Orbit for Ions: Fabrication of Excellent Antistatic PP/GF Composites with Extremely Low Organic Salt Loadings.玻璃纤维网络作为离子轨道:极低有机盐负载量制备优异抗静电 PP/GF 复合材料。
ACS Appl Mater Interfaces. 2017 May 31;9(21):18305-18313. doi: 10.1021/acsami.7b04921. Epub 2017 May 16.
5
Development of Polyoxymethylene/Polylactide Blends for a Potentially Biodegradable Material: Crystallization Kinetics, Lifespan Prediction, and Enzymatic Degradation Behavior.用于潜在可生物降解材料的聚甲醛/聚丙交酯共混物的开发:结晶动力学、寿命预测和酶促降解行为
Polymers (Basel). 2019 Sep 18;11(9):1516. doi: 10.3390/polym11091516.
6
Investigations on Green Blends Comprising Biodegradable Polymer and Ionic Liquid.关于包含可生物降解聚合物和离子液体的绿色混合物的研究。
Polymers (Basel). 2016 Dec 21;8(12):444. doi: 10.3390/polym8120444.
7
Isothermal and Nonisothermal Crystallization Kinetics of Poly(ε-caprolactone) Blended with a Novel Ionic Liquid, 1-Ethyl-3-propylimidazolium Bis(trifluoromethanesulfonyl)imide.聚(ε-己内酯)与新型离子液体1-乙基-3-丙基咪唑双(三氟甲磺酰)亚胺共混物的等温及非等温结晶动力学
Polymers (Basel). 2018 May 18;10(5):543. doi: 10.3390/polym10050543.
8
Unique crystalline/crystalline polymer blends of poly(ethylene succinate) and poly(p-dioxanone): miscibility and crystallization behaviors.聚琥珀酸乙二酯和聚对二氧环己酮的独特结晶/晶态聚合物共混物:混溶性和结晶行为。
J Phys Chem B. 2010 Nov 25;114(46):14827-33. doi: 10.1021/jp104709z. Epub 2010 Oct 29.
9
Polyether Single and Double Crystalline Blends and the Effect of Lithium Salt on Their Crystallinity and Ionic Conductivity.聚醚单晶体和双晶体共混物以及锂盐对其结晶度和离子电导率的影响。
Polymers (Basel). 2021 Jun 25;13(13):2097. doi: 10.3390/polym13132097.
10
Influence of Ionomer and Cyanuric Acid on Antistatic, Mechanical, Thermal, and Rheological Properties of Extruded Carbon Nanotube (CNT)/Polyoxymethylene (POM) Nanocomposites.
Polymers (Basel). 2022 Apr 30;14(9):1849. doi: 10.3390/polym14091849.

引用本文的文献

1
Influence of Ionomer and Cyanuric Acid on Antistatic, Mechanical, Thermal, and Rheological Properties of Extruded Carbon Nanotube (CNT)/Polyoxymethylene (POM) Nanocomposites.
Polymers (Basel). 2022 Apr 30;14(9):1849. doi: 10.3390/polym14091849.
2
Structure and Properties of Polyoxymethylene/Silver/Maleic Anhydride-Grafted Polyolefin Elastomer Ternary Nanocomposites.聚甲醛/银/马来酸酐接枝聚烯烃弹性体三元纳米复合材料的结构与性能
Polymers (Basel). 2021 Jun 11;13(12):1954. doi: 10.3390/polym13121954.
3
The Influence of the Hybridization Process on the Mechanical and Thermal Properties of Polyoxymethylene (POM) Composites with the Use of a Novel Sustainable Reinforcing System Based on Biocarbon and Basalt Fiber (BC/BF).基于生物碳和玄武岩纤维(BC/BF)的新型可持续增强体系对聚甲醛(POM)复合材料杂交过程中力学性能和热性能的影响

本文引用的文献

1
Ionic Liquid as Surfactant Agent of Hydrotalcite: Influence on the Final Properties of Polycaprolactone Matrix.离子液体作为水滑石的表面活性剂:对聚己内酯基体最终性能的影响。
Polymers (Basel). 2018 Jan 5;10(1):44. doi: 10.3390/polym10010044.
2
Ionic liquids with symmetrical dialkoxymethyl-substituted imidazolium cations.具有对称二烷氧基甲基取代咪唑鎓阳离子的离子液体。
Chemistry. 2004 Jul 19;10(14):3479-85. doi: 10.1002/chem.200400075.
Materials (Basel). 2020 Aug 7;13(16):3496. doi: 10.3390/ma13163496.
4
Development of Poly(l-Lactic Acid)-Based Bending Actuators.基于聚左旋乳酸的弯曲致动器的开发。
Polymers (Basel). 2020 May 22;12(5):1187. doi: 10.3390/polym12051187.
5
Effect of Silver Nanoparticles on the Microstructure, Non-Isothermal Crystallization Behavior and Antibacterial Activity of Polyoxymethylene.银纳米颗粒对聚甲醛微观结构、非等温结晶行为及抗菌活性的影响
Polymers (Basel). 2020 Feb 12;12(2):424. doi: 10.3390/polym12020424.