• 文献检索
  • 文档翻译
  • 深度研究
  • 学术资讯
  • Suppr Zotero 插件Zotero 插件
  • 邀请有礼
  • 套餐&价格
  • 历史记录
应用&插件
Suppr Zotero 插件Zotero 插件浏览器插件Mac 客户端Windows 客户端微信小程序
定价
高级版会员购买积分包购买API积分包
服务
文献检索文档翻译深度研究API 文档MCP 服务
关于我们
关于 Suppr公司介绍联系我们用户协议隐私条款
关注我们

Suppr 超能文献

核心技术专利:CN118964589B侵权必究
粤ICP备2023148730 号-1Suppr @ 2026

文献检索

告别复杂PubMed语法,用中文像聊天一样搜索,搜遍4000万医学文献。AI智能推荐,让科研检索更轻松。

立即免费搜索

文件翻译

保留排版,准确专业,支持PDF/Word/PPT等文件格式,支持 12+语言互译。

免费翻译文档

深度研究

AI帮你快速写综述,25分钟生成高质量综述,智能提取关键信息,辅助科研写作。

立即免费体验

冰沙摄入和冷水浸泡对体温调节行为的影响。

Effect of ice slushy ingestion and cold water immersion on thermoregulatory behavior.

机构信息

Centre for Exercise and Sports Science Research, School of Medical and Health Sciences, Edith Cowan University, Joondalup, Western Australia, Australia.

School of Psychology and Exercise Science, Murdoch University, Murdoch, Western, Australia, Australia.

出版信息

PLoS One. 2019 Feb 27;14(2):e0212966. doi: 10.1371/journal.pone.0212966. eCollection 2019.

DOI:10.1371/journal.pone.0212966
PMID:30811512
原文链接:https://pmc.ncbi.nlm.nih.gov/articles/PMC6392407/
Abstract

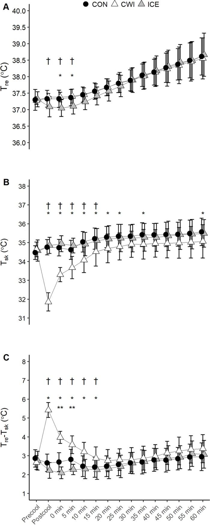
Two studies were conducted to examine the effects of ice slushy ingestion (ICE) and cold water immersion (CWI) on thermoregulatory and sweat responses during constant (study 1) and self-paced (study 2) exercise. In study 1, 11 men cycled at 40-50% of peak aerobic power for 60 min (33.2 ± 0.3°C, 45.9 ± 0.5% relative humidity, RH). In study 2, 11 men cycled for 60 min at perceived exertion (RPE) equivalent to 15 (33.9 ± 0.2°C and 42.5 ± 3.9%RH). In both studies, each trial was preceded by 30 min of CWI (~22°C), ICE or no cooling (CON). Rectal temperature (Tre), skin temperature (Tsk), thermal sensation, and sweat responses were measured. In study 1, ICE decreased Tre-Tsk gradient versus CON (p = 0.005) during first 5 min of exercise, while CWI increased Tre-Tsk gradient versus CON and ICE for up to 20 min during the exercise (p<0.05). In study 2, thermal sensation was lower in CWI versus CON and ICE for up to 35-40 min during the exercise (p<0.05). ICE reduced thermal sensation versus CON during the first 20 min of exercise (p<0.05). In study 2, CWI improved mean power output (MPO) by ~8 W, compared with CON only (p = 0.024). In both studies, CWI (p<0.001) and ICE (p = 0.019) delayed sweating by 1-5 min but did not change the body temperature sweating threshold, compared with CON (both p>0.05). Increased Tre-Tsk gradient by CWI improved MPO while ICE reduced Tre but did not confer any ergogenic effect. Both precooling treatments attenuated the thermal efferent signals until a specific body temperature threshold was reached.

摘要

两项研究旨在考察冰沙摄入(ICE)和冷水浸泡(CWI)对恒动(研究 1)和自定节奏(研究 2)运动期间体温调节和出汗反应的影响。在研究 1 中,11 名男性以 40-50%的峰值有氧功率骑行 60 分钟(33.2 ± 0.3°C,45.9 ± 0.5%相对湿度,RH)。在研究 2 中,11 名男性以相当于 15 级(33.9 ± 0.2°C 和 42.5 ± 3.9%RH)的感觉用力程度(RPE)骑行 60 分钟。在两项研究中,每个试验都在 30 分钟的 CWI(~22°C)、ICE 或无冷却(CON)之前进行。测量直肠温度(Tre)、皮肤温度(Tsk)、热感觉和出汗反应。在研究 1 中,与 CON 相比,ICE 在运动的前 5 分钟降低了 Tre-Tsk 梯度(p = 0.005),而 CWI 在运动期间增加了 Tre-Tsk 梯度,与 CON 和 ICE 相比长达 20 分钟(p<0.05)。在研究 2 中,与 CON 和 ICE 相比,CWI 在运动期间长达 35-40 分钟的热感觉更低(p<0.05)。与 CON 相比,ICE 在运动的前 20 分钟降低了热感觉(p<0.05)。在研究 2 中,与仅 CON 相比,CWI 提高了约 8 W 的平均功率输出(MPO)(p = 0.024)。在两项研究中,与 CON 相比,CWI(p<0.001)和 ICE(p = 0.019)都延迟了 1-5 分钟的出汗,但没有改变体温出汗阈值(两者均 p>0.05)。CWI 增加的 Tre-Tsk 梯度提高了 MPO,而 ICE 降低了 Tre,但没有带来任何有益的效果。两种预冷处理都减弱了热传出信号,直到达到特定的体温阈值。

https://cdn.ncbi.nlm.nih.gov/pmc/blobs/5a10/6392407/30b4d821bd20/pone.0212966.g004.jpg
https://cdn.ncbi.nlm.nih.gov/pmc/blobs/5a10/6392407/742ee5b5b5c7/pone.0212966.g001.jpg
https://cdn.ncbi.nlm.nih.gov/pmc/blobs/5a10/6392407/7795ea50229d/pone.0212966.g002.jpg
https://cdn.ncbi.nlm.nih.gov/pmc/blobs/5a10/6392407/2a6a84d67dfb/pone.0212966.g003.jpg
https://cdn.ncbi.nlm.nih.gov/pmc/blobs/5a10/6392407/30b4d821bd20/pone.0212966.g004.jpg
https://cdn.ncbi.nlm.nih.gov/pmc/blobs/5a10/6392407/742ee5b5b5c7/pone.0212966.g001.jpg
https://cdn.ncbi.nlm.nih.gov/pmc/blobs/5a10/6392407/7795ea50229d/pone.0212966.g002.jpg
https://cdn.ncbi.nlm.nih.gov/pmc/blobs/5a10/6392407/2a6a84d67dfb/pone.0212966.g003.jpg
https://cdn.ncbi.nlm.nih.gov/pmc/blobs/5a10/6392407/30b4d821bd20/pone.0212966.g004.jpg

相似文献

1
Effect of ice slushy ingestion and cold water immersion on thermoregulatory behavior.冰沙摄入和冷水浸泡对体温调节行为的影响。
PLoS One. 2019 Feb 27;14(2):e0212966. doi: 10.1371/journal.pone.0212966. eCollection 2019.
2
Ergogenic effects of precooling with cold water immersion and ice ingestion: A meta-analysis.冷水浸泡和冰摄入的预冷对运动表现的促进作用:一项荟萃分析。
Eur J Sport Sci. 2018 Mar;18(2):170-181. doi: 10.1080/17461391.2017.1405077. Epub 2017 Nov 26.
3
Cooling Effectiveness of a Modified Cold-Water Immersion Method After Exercise-Induced Hyperthermia.运动诱导体温过高后改良冷水浸泡法的降温效果
J Athl Train. 2016 Nov;51(11):946-951. doi: 10.4085/1062-6050-51.12.07. Epub 2016 Nov 22.
4
The effects of cold water immersion and partial body cryotherapy on subsequent exercise performance and thermoregulatory responses in hot conditions.冷水浸泡和半身低温冷冻疗法对热环境下后续运动表现和体温调节反应的影响。
J Therm Biol. 2024 Jul;123:103926. doi: 10.1016/j.jtherbio.2024.103926. Epub 2024 Jul 30.
5
The effect of ice slushy ingestion and mouthwash on thermoregulation and endurance performance in the heat.摄入冰沙和漱口对热环境下体温调节及耐力表现的影响。
Int J Sport Nutr Exerc Metab. 2013 Oct;23(5):458-69. doi: 10.1123/ijsnem.23.5.458. Epub 2013 Mar 26.
6
Effect of ice slurry ingestion on thermoregulatory responses during fixed-intensity cycling in humid and dry heat.冰浆摄入对湿热和干燥热环境中固定强度骑行时体温调节反应的影响。
Eur J Appl Physiol. 2023 Oct;123(10):2225-2237. doi: 10.1007/s00421-023-05235-y. Epub 2023 May 31.
7
Effectiveness of Ice-Sheet Cooling Following Exertional Hyperthermia.运动性体温过高后冰盖降温的效果
Mil Med. 2017 Sep;182(9):e1951-e1957. doi: 10.7205/MILMED-D-17-00057.
8
Precooling, Exertional Heatstroke Risk Factors, and Postexercise Cooling Rates.预冷、运动性中暑风险因素及运动后降温速率
Aerosp Med Hum Perform. 2019 Jan 1;90(1):12-17. doi: 10.3357/AMHP.5194.2019.
9
Effects of precooling on thermoregulation during subsequent exercise.预冷对后续运动期间体温调节的影响。
Med Sci Sports Exerc. 1999 Feb;31(2):251-7. doi: 10.1097/00005768-199902000-00008.
10
Initial heat stress on subsequent responses to cold water immersion while wearing protective clothing.穿着防护服时,初始热应激对随后冷水浸泡反应的影响。
Aviat Space Environ Med. 2012 Aug;83(8):746-50. doi: 10.3357/asem.2844.2012.

引用本文的文献

1
Effects of Whole-Body and Lower-Body Cold-Water Immersion on Exercise-Induced Pain Score, Muscle Damage Indices, and Maximal Voluntary Isometric Contractions.全身及下半身冷水浸泡对运动诱发疼痛评分、肌肉损伤指标和最大自主等长收缩的影响。
J Clin Med. 2025 May 8;14(10):3287. doi: 10.3390/jcm14103287.
2
Precooling via immersion in CO-enriched water at 25°C decreased core body temperature but did not improve 10-km cycling time trial in the heat.在25°C下浸入富含一氧化碳的水中进行预冷可降低核心体温,但并不能改善在高温环境下10公里自行车计时赛的成绩。
Temperature (Austin). 2024 Jan 28;11(2):123-136. doi: 10.1080/23328940.2024.2302772. eCollection 2024.
3

本文引用的文献

1
Does Cold Water or Ice Slurry Ingestion During Exercise Elicit a Net Body Cooling Effect in the Heat?运动中摄入冷水或冰浆是否会对身体产生净冷却效果?
Sports Med. 2018 Mar;48(Suppl 1):17-29. doi: 10.1007/s40279-017-0842-8.
2
Ergogenic effects of precooling with cold water immersion and ice ingestion: A meta-analysis.冷水浸泡和冰摄入的预冷对运动表现的促进作用:一项荟萃分析。
Eur J Sport Sci. 2018 Mar;18(2):170-181. doi: 10.1080/17461391.2017.1405077. Epub 2017 Nov 26.
3
Oral L-menthol reduces thermal sensation, increases work-rate and extends time to exhaustion, in the heat at a fixed rating of perceived exertion.
Performance Benefits of Pre- and Per-cooling on Self-paced Versus Constant Workload Exercise: A Systematic Review and Meta-analysis.
预冷和预降温对自定节奏与恒功率运动锻炼的表现增益:系统评价和荟萃分析。
Sports Med. 2024 Feb;54(2):447-471. doi: 10.1007/s40279-023-01940-y. Epub 2023 Oct 6.
4
Effect of ice slurry ingestion on thermoregulatory responses during fixed-intensity cycling in humid and dry heat.冰浆摄入对湿热和干燥热环境中固定强度骑行时体温调节反应的影响。
Eur J Appl Physiol. 2023 Oct;123(10):2225-2237. doi: 10.1007/s00421-023-05235-y. Epub 2023 May 31.
5
Effects of different external cooling placements prior to and during exercise on athletic performance in the heat: A systematic review and meta-analysis.运动前及运动期间不同外部冷却部位对热环境下运动表现的影响:一项系统综述与荟萃分析
Front Physiol. 2023 Jan 10;13:1091228. doi: 10.3389/fphys.2022.1091228. eCollection 2022.
6
Performance effects of internal pre- and per-cooling across different exercise and environmental conditions: A systematic review.不同运动和环境条件下内部预冷和运动中冷却的效果:一项系统综述
Front Nutr. 2022 Oct 14;9:959516. doi: 10.3389/fnut.2022.959516. eCollection 2022.
7
Effect of 3 min whole-body and lower limb cold water immersion on subsequent performance of agility, sprint, and intermittent endurance exercise.3分钟全身及下肢冷水浸泡对随后敏捷性、短跑和间歇性耐力运动表现的影响。
Front Physiol. 2022 Oct 10;13:981773. doi: 10.3389/fphys.2022.981773. eCollection 2022.
8
Ice slurry ingestion improves physical performance during high-intensity intermittent exercise in a hot environment.冰浆摄入可改善热环境中高强度间歇性运动时的身体表现。
PLoS One. 2022 Sep 15;17(9):e0274584. doi: 10.1371/journal.pone.0274584. eCollection 2022.
9
Effect of regular precooling on adaptation to training in the heat.定期预冷对热适应训练的影响。
Eur J Appl Physiol. 2020 May;120(5):1143-1154. doi: 10.1007/s00421-020-04353-1. Epub 2020 Mar 30.
在热环境中,以固定的自觉用力程度为标准,口服L-薄荷醇可减轻热感觉、提高工作效率并延长疲劳时间。
Eur J Appl Physiol. 2017 Jul;117(7):1501-1512. doi: 10.1007/s00421-017-3645-6. Epub 2017 May 15.
4
Cooling interventions for athletes: An overview of effectiveness, physiological mechanisms, and practical considerations.运动员的降温干预措施:有效性、生理机制及实际考量概述
Temperature (Austin). 2017 Jan 3;4(1):60-78. doi: 10.1080/23328940.2016.1277003. eCollection 2017.
5
The Effects of Crushed Ice Ingestion Prior to Steady State Exercise in the Heat.热环境下稳态运动前摄入碎冰的影响。
Int J Sport Nutr Exerc Metab. 2017 Jun;27(3):220-227. doi: 10.1123/ijsnem.2016-0215. Epub 2017 Jan 4.
6
Reliability of laser Doppler, near-infrared spectroscopy and Doppler ultrasound for peripheral blood flow measurements during and after exercise in the heat.激光多普勒、近红外光谱和多普勒超声在热环境中运动期间及运动后测量外周血流的可靠性。
J Sports Sci. 2017 Sep;35(17):1715-1723. doi: 10.1080/02640414.2016.1235790. Epub 2016 Sep 21.
7
Peripheral blood flow changes in response to postexercise cold water immersion.运动后冷水浸泡引起的外周血流变化。
Clin Physiol Funct Imaging. 2018 Jan;38(1):46-55. doi: 10.1111/cpf.12380. Epub 2016 Jul 28.
8
Crushed Ice Ingestion Does Not Improve Female Cycling Time Trial Performance in the Heat.在炎热环境下,摄入碎冰并不能提高女性自行车计时赛的成绩。
Int J Sport Nutr Exerc Metab. 2017 Feb;27(1):67-75. doi: 10.1123/ijsnem.2016-0028. Epub 2016 Aug 24.
9
Ice Slurry Ingestion Leads to a Lower Net Heat Loss during Exercise in the Heat.摄入冰浆可降低在热环境中运动时的净热损失。
Med Sci Sports Exerc. 2016 Jan;48(1):114-22. doi: 10.1249/MSS.0000000000000746.
10
Cutaneous vascular and sweating responses to intradermal administration of ATP: a role for nitric oxide synthase and cyclooxygenase?皮内注射ATP后皮肤血管及出汗反应:一氧化氮合酶和环氧化酶的作用?
J Physiol. 2015 Jun 1;593(11):2515-25. doi: 10.1113/JP270147. Epub 2015 Apr 17.