Suppr超能文献

度伐利尤单抗在日本晚期实体瘤患者中的耐受性和疗效。

Tolerability and efficacy of durvalumab in Japanese patients with advanced solid tumors.

机构信息

National Cancer Center Hospital, Tokyo, Japan.

Sasebo Kyosai Hospital, Nagasaki, Japan.

出版信息

Cancer Sci. 2019 May;110(5):1715-1723. doi: 10.1111/cas.14003. Epub 2019 Apr 13.

Abstract

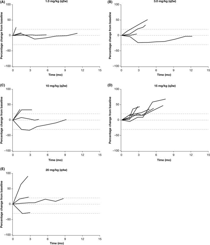
Blockade of programmed cell death ligand-1 with durvalumab has shown efficacy and safety in large, international studies of patients with advanced solid tumors. A phase 1, non-randomized, open-label multicenter study was initiated to evaluate durvalumab in a Japanese population. The first part of this study used a standard 3 + 3 dose-escalation design to determine the optimal dosing schedule of durvalumab. Primary objective was evaluation of safety and tolerability of durvalumab monotherapy. Secondary objectives were to evaluate maximum tolerated dose (MTD), immunogenicity, pharmacokinetics, and efficacy. Twenty-two patients (median age, 61.5 years; range, 41-76; 64% male) received durvalumab at doses of 1, 3, or 10 mg/kg every 2 weeks (q2w), 15 mg/kg q3w, or 20 mg/kg q4w. Twenty patients discontinued before completing 12 months of treatment as a result of progressive disease and two due to adverse events (AE). The most common treatment-related AE (trAE) were rash (18%) and pruritus (14%); two patients had grade ≥3 trAE including one patient each with hyponatremia and hypothyroidism. No patient experienced a dose-limiting toxicity (DLT) during the DLT evaluation period and the MTD was not identified. There were no AE leading to a fatal outcome during study treatment. Durvalumab showed dose-proportional pharmacokinetics across the 1-20 mg/kg dose range; incidence of positive titers for antidrug antibodies was 9%. One patient with lung cancer had a partial response and disease control rate at 12 weeks was 36%. In conclusion, durvalumab at the doses and regimens evaluated was safe and well tolerated in Japanese patients with advanced solid tumors.

摘要

度伐利尤单抗阻断程序性细胞死亡配体-1在大型国际晚期实体瘤患者研究中显示出疗效和安全性。一项 1 期、非随机、开放性、多中心研究开始评估度伐利尤单抗在日本人群中的应用。该研究的第一部分采用标准的 3+3 剂量递增设计来确定度伐利尤单抗的最佳剂量方案。主要目的是评估度伐利尤单抗单药治疗的安全性和耐受性。次要目的是评估最大耐受剂量(MTD)、免疫原性、药代动力学和疗效。22 例患者(中位年龄 61.5 岁;范围 41-76;64%为男性)接受了 1、3 或 10 mg/kg 每 2 周(q2w)、15 mg/kg q3w 或 20 mg/kg q4w 的度伐利尤单抗治疗。由于疾病进展,20 例患者在完成 12 个月的治疗前停药,由于不良事件(AE)停药的有 2 例。最常见的治疗相关不良事件(TRAE)是皮疹(18%)和瘙痒(14%);2 例患者出现 3 级以上 TRAE,包括 1 例患者出现低钠血症和 1 例患者出现甲状腺功能减退症。在 DLT 评估期间,无患者发生剂量限制性毒性(DLT),且未确定 MTD。在研究治疗期间,无 AE 导致致命结局。度伐利尤单抗在 1-20 mg/kg 剂量范围内表现出剂量比例药代动力学;抗药物抗体阳性滴度的发生率为 9%。1 例肺癌患者有部分缓解,12 周时疾病控制率为 36%。总之,在晚期实体瘤日本患者中,评估的度伐利尤单抗剂量和方案安全且耐受良好。

https://cdn.ncbi.nlm.nih.gov/pmc/blobs/4be9/6501043/0ef23beab264/CAS-110-1715-g001.jpg

文献检索

告别复杂PubMed语法,用中文像聊天一样搜索,搜遍4000万医学文献。AI智能推荐,让科研检索更轻松。

立即免费搜索

文件翻译

保留排版,准确专业,支持PDF/Word/PPT等文件格式,支持 12+语言互译。

免费翻译文档

深度研究

AI帮你快速写综述,25分钟生成高质量综述,智能提取关键信息,辅助科研写作。

立即免费体验