Suppr超能文献

细菌激动剂协同激活人单核细胞来源朗格汉斯细胞样细胞体外诱导 Th17 细胞。

In Vitro Induction of T Helper 17 Cells by Synergistic Activation of Human Monocyte-Derived Langerhans Cell-Like Cells with Bacterial Agonists.

机构信息

Institute of Molecular Biology and Bioinformatics, Charité-Universitätsmedizin Berlin, Corporate Member of Freie Universität Berlin, Humboldt-Universität zu Berlin, and Berlin Institute of Health, Charitéplatz 1, 10117 Berlin, Germany.

Center for Anesthesiology and Intensive Care Medicine, Department of intensive Care, Medical Center Hamburg-Eppendorf (UKE), Martinistrasse 52, 20246 Hamburg, Germany.

出版信息

Int J Mol Sci. 2019 Mar 19;20(6):1367. doi: 10.3390/ijms20061367.

Abstract

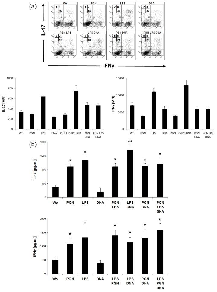
In the case of epidermal barrier disruption, pathogens encounter skin-resident Langerhans cells (LCs) and are recognized by pathogen recognition receptors such as Toll-like receptors (TLRs). As the majority of microorganisms exhibit more than one TLR ligand, the mechanisms of subsequent T cell differentiation are complex and far from clear. In this study, we investigated combinatory effects on Th cell polarization by bacterial cell wall compounds peptidoglycan (PGN) and lipopolysaccharide (LPS) and by bacterial nucleic acid (DNA). Expression of maturation markers CD40, CD80, HLA-DR and CCR7 and the release of IL-1β, IL-6 and IL-23 was strongly enhanced by simultaneous exposure to PGN, LPS and DNA in LCs. As all these factors were potential Th17 driving cytokines, we investigated the potency of combinatory TLR stimuli to induce Th17 cells via LC activation. High amounts of IL-17A and IL-22, key cytokines of Th17 cells, were detected. By intracellular costaining of IL-17⁺T cells, IL-22 (Th17) and IL-22⁺ (immature Th17) cells were identified. Interestingly, one population of LPS stimulated cells skewed into IL-9⁺Th cells, and LPS synergized with PGN while inducing high IL-22. In conclusion, our data indicates that when mediated by a fine-tuned signal integration via LCs, bacterial TLR agonists synergize and induce Th17 differentiation.

摘要

在表皮屏障破坏的情况下,病原体遇到皮肤驻留的朗格汉斯细胞 (LC),并被 Toll 样受体 (TLR) 等病原体识别受体识别。由于大多数微生物表现出不止一种 TLR 配体,因此后续 T 细胞分化的机制非常复杂,远未清楚。在这项研究中,我们研究了细菌细胞壁化合物肽聚糖 (PGN) 和脂多糖 (LPS) 以及细菌核酸 (DNA) 对 Th 细胞极化的组合效应。LC 同时暴露于 PGN、LPS 和 DNA 可强烈增强成熟标志物 CD40、CD80、HLA-DR 和 CCR7 的表达以及 IL-1β、IL-6 和 IL-23 的释放。由于所有这些因素都是潜在的 Th17 驱动细胞因子,因此我们研究了组合 TLR 刺激物通过 LC 激活诱导 Th17 细胞的能力。检测到大量的 IL-17A 和 IL-22,这是 Th17 细胞的关键细胞因子。通过 IL-17⁺T 细胞的细胞内染色,鉴定出 IL-22(Th17)和 IL-22⁺(不成熟 Th17)细胞。有趣的是,LPS 刺激的细胞群偏向于产生 IL-9⁺Th 细胞,并且 LPS 与 PGN 协同作用,同时诱导高 IL-22。总之,我们的数据表明,当通过 LC 进行精细的信号整合介导时,细菌 TLR 激动剂协同作用并诱导 Th17 分化。

https://cdn.ncbi.nlm.nih.gov/pmc/blobs/342f/6471444/867f57f853c5/ijms-20-01367-g001.jpg

文献检索

告别复杂PubMed语法,用中文像聊天一样搜索,搜遍4000万医学文献。AI智能推荐,让科研检索更轻松。

立即免费搜索

文件翻译

保留排版,准确专业,支持PDF/Word/PPT等文件格式,支持 12+语言互译。

免费翻译文档

深度研究

AI帮你快速写综述,25分钟生成高质量综述,智能提取关键信息,辅助科研写作。

立即免费体验