Li Shufeng, Yip Joanne
Key Laboratory of Advanced Textile Composites, College of Textile Science and Engineering, Tianjin Polytechnic University, Tianjin 300387, China.
Institute of Textiles and Clothing, The Hong Kong Polytechnic University, Hung Hom, Kowloon 00852, Hong Kong.
Polymers (Basel). 2019 Jan 8;11(1):91. doi: 10.3390/polym11010091.
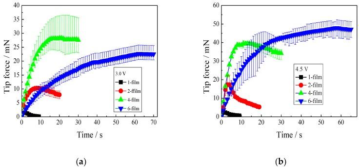
Ionic polymer metal composites (IPMCs) with various thicknesses of 1, 2, 4, and 6 nafion films (denoted as 1-film, 2-film, 4-film and 6-film, respectively) are fabricated, and their characterization and actuation performances are then investigated. The effects of the thickness of the IPMCs on their morphology, surface resistance, and water uptake capability are studied. Their actuation performances are further evaluated by examining the tip force and displacement in terms of the length and the thickness of the IPMCs, under a direct current (DC) power of 3.0 or 4.5 V. In comparison with the 1-film, the 2-film shows a six-fold increase in the maximum tip force, but the response time increases from 2 to 9 s. The 4-film doubles the maximum tip force of the 2-film at 21 s. On the other hand, a reduction of the length of the IPMC from 30 to 15 mm also results in a double-maximum tip force, but this never increases the response time. Repeated actuations of the IPMCs with various thicknesses are performed by three actuation methods of no treatment, treatment in deionized water, and treatment in a NaCl solution. The relationships between the repeated actuation methods and actuations of the IPMCs with various thicknesses are also investigated.
制备了具有1、2、4和6层不同厚度Nafion膜的离子聚合物金属复合材料(IPMCs)(分别表示为1膜、2膜、4膜和6膜),然后对其进行表征和驱动性能研究。研究了IPMCs厚度对其形态、表面电阻和吸水能力的影响。在3.0或4.5V直流电下,通过考察IPMCs长度和厚度方面的尖端力和位移,进一步评估其驱动性能。与1膜相比,2膜的最大尖端力增加了六倍,但响应时间从2秒增加到9秒。4膜在21秒时使2膜的最大尖端力翻倍。另一方面,将IPMCs的长度从30mm减少到15mm也会使最大尖端力翻倍,但这不会增加响应时间。通过无处理、去离子水处理和NaCl溶液处理这三种驱动方法对不同厚度的IPMCs进行重复驱动。还研究了重复驱动方法与不同厚度IPMCs驱动之间的关系。