Lin Ting-Ru, Lee Cheng-Hua, Lan Yi-Chen, Mendiratta Shruti, Lai Long-Li, Wu Jing-Yun, Chi Kai-Ming, Lu Kuang-Lieh
Institute of Chemistry, Academia Sinica, Taipei 115, Taiwan.
Department of Chemistry and Biochemistry, National Chung Cheng University, Chiayi 621, Taiwan.
Polymers (Basel). 2018 Dec 17;10(12):1398. doi: 10.3390/polym10121398.
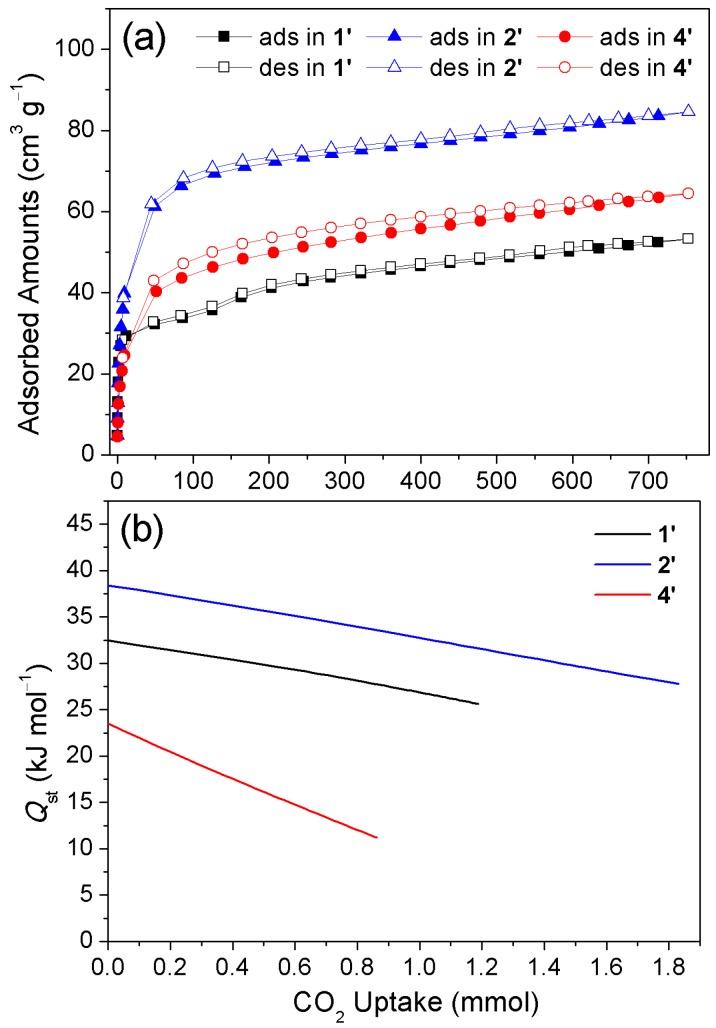
Four Zn metal⁻organic frameworks (MOFs), {[Zn₂(2,6-ndc)₂(2-Pn)]·DMF} (), {[Zn₂(cca)₂(2-Pn)]·DMF} (), {[Zn₂(thdc)₂(2-Pn)]·3DMF} (), and {[Zn₂(1,4-ndc)₂(2-Pn)]·1.5DMF} (), were synthesized from zinc nitrate and ,'-bis(pyridin-2-yl)benzene-1,4-diamine (2-Pn) with naphthalene-2,6-dicarboxylic acid (2,6-H₂ndc), 4-carboxycinnamic acid (H₂cca), 2,5-thiophenedicarboxylic acid (H₂thdc), and naphthalene-1,4-dicarboxylic acid (1,4-H₂ndc), respectively. MOFs ⁻ were all constructed from similar dinuclear paddlewheel {Zn₂(COO)₄} clusters and resulted in the formation of three kinds of uninodal 6-connected non-interpenetrated frameworks. MOFs and suit a topologic 4⁸·6⁷-net with 17.6% and 16.8% extra-framework voids, respectively, adopts a pillared-layer open framework of 4⁸·6⁶·8-topology with sufficient free voids of 39.9%, and features a -type pillared-layer framework of 4·6³-topology with sufficient free voids of 30.9%. CO₂ sorption studies exhibited typical reversible type I isotherms with CO₂ uptakes of 55.1, 84.6, and 64.3 cm³ g at 195 K and /₀ =1 for the activated materials , , and , respectively. The coverage-dependent isosteric heat of CO₂ adsorption () gave commonly decreased traces with increasing CO₂ uptake for all the three materials and showed an adsorption enthalpy of 32.5 kJ mol for , 38.3 kJ mol for , and 23.5 kJ mol for at zero coverage.
四种锌金属有机框架材料(MOFs),{[Zn₂(2,6 - ndc)₂(2 - Pn)]·DMF}(),{[Zn₂(cca)₂(2 - Pn)]·DMF}(),{[Zn₂(thdc)₂(2 - Pn)]·3DMF}()和{[Zn₂(1,4 - ndc)₂(2 - Pn)]·1.5DMF}(),分别由硝酸锌和1,4 - 双(吡啶 - 2 - 基)苯 - 1,4 - 二胺(2 - Pn)与萘 - 2,6 - 二甲酸(2,6 - H₂ndc)、4 - 羧基肉桂酸(H₂cca)、2,5 - 噻吩二甲酸(H₂thdc)和萘 - 1,4 - 二甲酸(1,4 - H₂ndc)合成。MOFs - 均由相似的双核桨轮状{Zn₂(COO)₄}簇构建而成,并形成了三种单节点6 - 连接的非互穿框架结构。MOFs 和 分别适合拓扑结构为4⁸·6⁷ - 网,额外框架空隙率分别为17.6%和16.8%, 采用4⁸·6⁶·8 - 拓扑结构的柱状层开放框架,自由空隙率高达39.9%, 具有4·6³ - 拓扑结构的 - 型柱状层框架,自由空隙率为30.9%。二氧化碳吸附研究表明,对于活化后的材料 、 和 ,在195K和 /₀ =1时,呈现典型的可逆I型等温线,二氧化碳吸附量分别为55.1、84.6和64.3 cm³ g。对于所有这三种材料,依赖于覆盖度的二氧化碳吸附等量吸附热()随着二氧化碳吸附量的增加通常呈现下降趋势,在零覆盖度下, 的吸附焓为32.5 kJ mol, 的为38.3 kJ mol, 的为23.5 kJ mol。