• 文献检索
  • 文档翻译
  • 深度研究
  • 学术资讯
  • Suppr Zotero 插件Zotero 插件
  • 邀请有礼
  • 套餐&价格
  • 历史记录
应用&插件
Suppr Zotero 插件Zotero 插件浏览器插件Mac 客户端Windows 客户端微信小程序
定价
高级版会员购买积分包购买API积分包
服务
文献检索文档翻译深度研究API 文档MCP 服务
关于我们
关于 Suppr公司介绍联系我们用户协议隐私条款
关注我们

Suppr 超能文献

核心技术专利:CN118964589B侵权必究
粤ICP备2023148730 号-1Suppr @ 2026

文献检索

告别复杂PubMed语法,用中文像聊天一样搜索,搜遍4000万医学文献。AI智能推荐,让科研检索更轻松。

立即免费搜索

文件翻译

保留排版,准确专业,支持PDF/Word/PPT等文件格式,支持 12+语言互译。

免费翻译文档

深度研究

AI帮你快速写综述,25分钟生成高质量综述,智能提取关键信息,辅助科研写作。

立即免费体验

基于线性聚赖氨酸衍生物的肿瘤靶向 MRI 造影剂的制备及性能。

Preparation and Properties of Tumor-Targeting MRI Contrast Agent Based on Linear Polylysine Derivatives.

机构信息

Collaborative Innovation Center of Yangtze River Delta Region Green Pharmaceuticals, Zhejiang University of Technology, Hangzhou 310014, China.

出版信息

Molecules. 2019 Apr 15;24(8):1477. doi: 10.3390/molecules24081477.

DOI:10.3390/molecules24081477
PMID:30991689
原文链接:https://pmc.ncbi.nlm.nih.gov/articles/PMC6515188/
Abstract

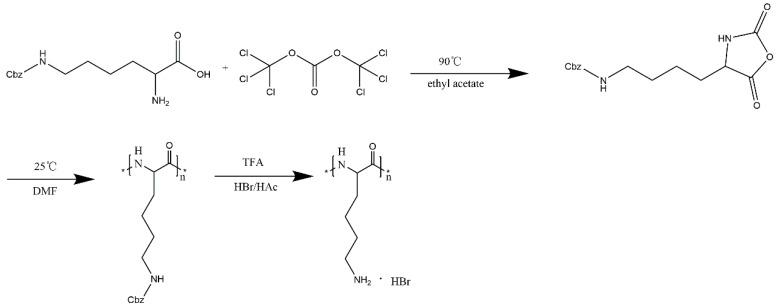
We developed a tumor-targeted contrast agent based on linear polylysine (PLL) by conjugating a small molecular imaging agent, fluorescent molecule and targeting agent amino phenylboronic acid onto the amino groups of polylysine, which can specifically target monosaccharide sialic acid residues overexpressing on the surface of tumor cell membranes. Further, 3,4,5,6-Tetrahydrophthalic anhydride (DCA) was attached to the free amino groups of the polylysine to change to a negative charge at physiology pH to lower the cytotoxicity, but it soon regenerated to a positive charge again once reaching the acidic intratumoral environment and therefore increased cell uptake. Laser confocal microscopy images showed that most of the polymeric contrast agents were bound to the cancer cell membrane. Moreover, the tumor targeting contrast agent showed the same magnetic resonance imaging (MRI) contrasting performance in vitro as the small molecule contrast agent used in clinic, which made it a promising tumor-targeting polymeric contrast agent for cancer diagnosis.

摘要

我们通过将小分子成像剂、荧光分子和靶向剂氨基苯硼酸连接到聚赖氨酸的氨基上,开发了一种基于线性聚赖氨酸 (PLL) 的肿瘤靶向造影剂,该造影剂可以特异性地靶向肿瘤细胞膜表面过度表达的单糖唾液酸残基。此外,将 3,4,5,6-四氢邻苯二甲酸酐 (DCA) 连接到聚赖氨酸的游离氨基上,在生理 pH 下变为负电荷以降低细胞毒性,但一旦达到酸性肿瘤内环境,它很快又会重新变为正电荷,从而增加细胞摄取。激光共聚焦显微镜图像显示,大多数聚合物造影剂都与癌细胞膜结合。此外,肿瘤靶向造影剂在体外表现出与临床使用的小分子造影剂相同的磁共振成像 (MRI) 对比性能,使其成为一种有前途的用于癌症诊断的肿瘤靶向聚合物造影剂。

https://cdn.ncbi.nlm.nih.gov/pmc/blobs/a0db/6515188/9eab3413c711/molecules-24-01477-g009.jpg
https://cdn.ncbi.nlm.nih.gov/pmc/blobs/a0db/6515188/3411a81cfdd1/molecules-24-01477-g001.jpg
https://cdn.ncbi.nlm.nih.gov/pmc/blobs/a0db/6515188/e9f52e4c9096/molecules-24-01477-g002.jpg
https://cdn.ncbi.nlm.nih.gov/pmc/blobs/a0db/6515188/7135e443274b/molecules-24-01477-g003.jpg
https://cdn.ncbi.nlm.nih.gov/pmc/blobs/a0db/6515188/794a67cb1b16/molecules-24-01477-g004.jpg
https://cdn.ncbi.nlm.nih.gov/pmc/blobs/a0db/6515188/9ab45f249c31/molecules-24-01477-g005.jpg
https://cdn.ncbi.nlm.nih.gov/pmc/blobs/a0db/6515188/a5acbf0d81c3/molecules-24-01477-g006.jpg
https://cdn.ncbi.nlm.nih.gov/pmc/blobs/a0db/6515188/175c54b2f1b8/molecules-24-01477-g007.jpg
https://cdn.ncbi.nlm.nih.gov/pmc/blobs/a0db/6515188/be37f8a9e1a2/molecules-24-01477-g008.jpg
https://cdn.ncbi.nlm.nih.gov/pmc/blobs/a0db/6515188/9eab3413c711/molecules-24-01477-g009.jpg
https://cdn.ncbi.nlm.nih.gov/pmc/blobs/a0db/6515188/3411a81cfdd1/molecules-24-01477-g001.jpg
https://cdn.ncbi.nlm.nih.gov/pmc/blobs/a0db/6515188/e9f52e4c9096/molecules-24-01477-g002.jpg
https://cdn.ncbi.nlm.nih.gov/pmc/blobs/a0db/6515188/7135e443274b/molecules-24-01477-g003.jpg
https://cdn.ncbi.nlm.nih.gov/pmc/blobs/a0db/6515188/794a67cb1b16/molecules-24-01477-g004.jpg
https://cdn.ncbi.nlm.nih.gov/pmc/blobs/a0db/6515188/9ab45f249c31/molecules-24-01477-g005.jpg
https://cdn.ncbi.nlm.nih.gov/pmc/blobs/a0db/6515188/a5acbf0d81c3/molecules-24-01477-g006.jpg
https://cdn.ncbi.nlm.nih.gov/pmc/blobs/a0db/6515188/175c54b2f1b8/molecules-24-01477-g007.jpg
https://cdn.ncbi.nlm.nih.gov/pmc/blobs/a0db/6515188/be37f8a9e1a2/molecules-24-01477-g008.jpg
https://cdn.ncbi.nlm.nih.gov/pmc/blobs/a0db/6515188/9eab3413c711/molecules-24-01477-g009.jpg

相似文献

1
Preparation and Properties of Tumor-Targeting MRI Contrast Agent Based on Linear Polylysine Derivatives.基于线性聚赖氨酸衍生物的肿瘤靶向 MRI 造影剂的制备及性能。
Molecules. 2019 Apr 15;24(8):1477. doi: 10.3390/molecules24081477.
2
Design, synthesis, and evaluation of VEGFR-targeted macromolecular MRI contrast agent based on biotin-avidin-specific binding.基于生物素-抗生物素蛋白特异性结合的VEGFR靶向大分子磁共振成像造影剂的设计、合成及评价
Int J Nanomedicine. 2017 Jul 14;12:5039-5052. doi: 10.2147/IJN.S131878. eCollection 2017.
3
Preparation and in vivo imaging of PEG-poly(L-lysine)-based polymeric micelle MRI contrast agents.基于聚乙二醇-聚(L-赖氨酸)的聚合物胶束磁共振成像造影剂的制备及体内成像
J Control Release. 2009 May 21;136(1):14-20. doi: 10.1016/j.jconrel.2009.01.010. Epub 2009 Jan 23.
4
Surface charge switching nanoparticles for magnetic resonance imaging.用于磁共振成像的表面电荷转换纳米颗粒
Int J Pharm. 2014 Aug 25;471(1-2):127-34. doi: 10.1016/j.ijpharm.2014.05.029. Epub 2014 May 22.
5
Theranostic Nanoparticles with Aggregation-Induced Emission and MRI Contrast Enhancement Characteristics as a Dual-Modal Imaging Platform for Image-Guided Tumor Photodynamic Therapy.具有聚集诱导发光和 MRI 对比增强特性的治疗诊断纳米颗粒作为一种双模式成像平台,用于图像引导的肿瘤光动力治疗。
Int J Nanomedicine. 2020 Apr 30;15:3023-3038. doi: 10.2147/IJN.S244541. eCollection 2020.
6
A multimodal contrast agent for preoperative MR Imaging and intraoperative tumor margin delineation.一种用于术前磁共振成像和术中肿瘤边缘勾画的多模态造影剂。
Technol Cancer Res Treat. 2006 Aug;5(4):301-9. doi: 10.1177/153303460600500401.
7
Chlorotoxin-modified macromolecular contrast agent for MRI tumor diagnosis.氯毒素修饰的大分子对比剂用于 MRI 肿瘤诊断。
Biomaterials. 2011 Aug;32(22):5177-86. doi: 10.1016/j.biomaterials.2011.03.075. Epub 2011 Apr 30.
8
Functional Hyperbranched Polylysine as Potential Contrast Agent Probes for Magnetic Resonance Imaging.功能性超支化聚赖氨酸作为磁共振成像潜在的造影剂探针
Biomacromolecules. 2016 Jun 13;17(6):2302-8. doi: 10.1021/acs.biomac.6b00605. Epub 2016 May 17.
9
Fabrication and evaluation of tumor-targeted positive MRI contrast agent based on ultrasmall MnO nanoparticles.基于超小 MnO 纳米粒子的肿瘤靶向正 MRI 造影剂的制备与评价。
Colloids Surf B Biointerfaces. 2015 Jul 1;131:148-54. doi: 10.1016/j.colsurfb.2015.04.047. Epub 2015 Apr 29.
10
Gadolinium-loaded polychelating polymer-containing tumor-targeted liposomes.负载钆的含多螯合聚合物的肿瘤靶向脂质体。
Methods Mol Biol. 2010;605:321-34. doi: 10.1007/978-1-60327-360-2_22.

引用本文的文献

1
Metal-Assembled Collagen Peptide Microflorettes as Magnetic Resonance Imaging Agents.金属组装胶原肽微花作为磁共振成像剂。
Molecules. 2023 Mar 26;28(7):2953. doi: 10.3390/molecules28072953.
2
MRI Contrast Agents in Glycobiology.MRI 对比剂在糖生物学中的应用。
Molecules. 2022 Nov 28;27(23):8297. doi: 10.3390/molecules27238297.
3
Diagnostics and Therapeutics in Targeting HER2 Breast Cancer: A Novel Approach.靶向 HER2 乳腺癌的诊断与治疗:一种新方法。

本文引用的文献

1
Understanding the Molecular Structure of the Sialic Acid-Phenylboronic Acid Complex by using a Combined NMR Spectroscopy and DFT Study: Toward Sialic Acid Detection at Cell Membranes.结合核磁共振光谱和密度泛函理论研究理解唾液酸-苯硼酸复合物的分子结构:迈向细胞膜上唾液酸的检测
ChemistryOpen. 2018 Jul 2;7(7):513-519. doi: 10.1002/open.201800071. eCollection 2018 Jul.
2
The combined effects of size and surface chemistry on the accumulation of boronic acid-rich protein nanoparticles in tumors.大小和表面化学性质对富含硼酸的蛋白质纳米颗粒在肿瘤中积累的联合影响。
Biomaterials. 2014 Jan;35(2):866-78. doi: 10.1016/j.biomaterials.2013.10.028. Epub 2013 Oct 21.
3
Int J Mol Sci. 2021 Jun 7;22(11):6163. doi: 10.3390/ijms22116163.
4
Using Omniscan-Loaded Nanoparticles as a Tumor-Targeted MRI Contrast Agent in Oral Squamous Cell Carcinoma by Gelatinase-Stimuli Strategy.通过明胶酶刺激策略,将负载全视野成像(Omniscan)的纳米颗粒用作口腔鳞状细胞癌的肿瘤靶向磁共振成像(MRI)造影剂。
Nanoscale Res Lett. 2019 Dec 30;14(1):395. doi: 10.1186/s11671-019-3214-5.
Targeted biodegradable dendritic MRI contrast agent for enhanced tumor imaging.
用于增强肿瘤成像的靶向生物可降解树枝状 MRI 造影剂。
J Control Release. 2013 Aug 10;169(3):239-45. doi: 10.1016/j.jconrel.2013.01.034. Epub 2013 Feb 9.
4
MRI visualization of melanoma cells by targeting overexpressed sialic acid with a Gd(III)-dota-en-pba imaging reporter.通过用钆(III)-多胺大环配体-烯丙基苯硼酸成像报告分子靶向过表达的唾液酸对黑色素瘤细胞进行磁共振成像可视化。
Angew Chem Int Ed Engl. 2013 Jan 21;52(4):1161-4. doi: 10.1002/anie.201207131. Epub 2012 Dec 6.
5
A phenylboronate-functionalized polyion complex micelle for ATP-triggered release of siRNA.一种用于ATP触发释放siRNA的苯基硼酸酯功能化聚离子复合胶束。
Angew Chem Int Ed Engl. 2012 Oct 22;51(43):10751-5. doi: 10.1002/anie.201203360. Epub 2012 Aug 21.
6
Towards in vivo imaging of cancer sialylation.迈向癌症唾液酸化的体内成像。
Int J Mol Imaging. 2011;2011:283497. doi: 10.1155/2011/283497. Epub 2011 Sep 19.
7
Global cancer statistics.全球癌症统计数据。
CA Cancer J Clin. 2011 Mar-Apr;61(2):69-90. doi: 10.3322/caac.20107. Epub 2011 Feb 4.
8
Effect of human colorectal carcinogenesis on the neural cell adhesion molecule expression and polysialylation.人类结直肠癌发生对神经细胞黏附分子表达和多聚唾液酸化的影响。
Oncology. 2010;78(3-4):196-204. doi: 10.1159/000313699. Epub 2010 Apr 23.
9
Consequences of the expression of sialylated antigens in breast cancer.唾液酸化抗原在乳腺癌中的表达的后果。
Carbohydr Res. 2010 Jul 2;345(10):1377-83. doi: 10.1016/j.carres.2010.01.024. Epub 2010 Feb 4.
10
Macromolecules, dendrimers, and nanomaterials in magnetic resonance imaging: the interplay between size, function, and pharmacokinetics.磁共振成像中的大分子、树枝状聚合物和纳米材料:尺寸、功能与药代动力学之间的相互作用
Chem Rev. 2010 May 12;110(5):2921-59. doi: 10.1021/cr900232t.