Suppr超能文献

基于 FDG PET 的头颈部癌症治疗反应预测:新的定量成像特征评估。

FDG PET based prediction of response in head and neck cancer treatment: Assessment of new quantitative imaging features.

机构信息

Department of Electrical and Computer Engineering, The University of Iowa, Iowa City, United States of America.

Department of Internal Medicine, The University of Iowa, Iowa City, United States of America.

出版信息

PLoS One. 2019 Apr 19;14(4):e0215465. doi: 10.1371/journal.pone.0215465. eCollection 2019.

Abstract

INTRODUCTION

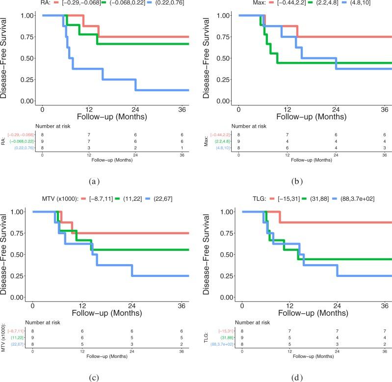
18 F-fluorodeoxyglucose (FDG) positron emission tomography (PET) is now a standard diagnostic imaging test performed in patients with head and neck cancer for staging, re-staging, radiotherapy planning, and outcome assessment. Currently, quantitative analysis of FDG PET scans is limited to simple metrics like maximum standardized uptake value, metabolic tumor volume, or total lesion glycolysis, which have limited predictive value. The goal of this work was to assess the predictive potential of new (i.e., nonstandard) quantitative imaging features on head and neck cancer outcome.

METHODS

This retrospective study analyzed fifty-eight pre- and post-treatment FDG PET scans of patients with head and neck squamous cell cancer to calculate five standard and seventeen new features at baseline and post-treatment. Cox survival regression was used to assess the predictive potential of each quantitative imaging feature on disease-free survival.

RESULTS

Analysis showed that the post-treatment change of the average tracer uptake in the rim background region immediately adjacent to the tumor normalized by uptake in the liver represents a novel PET feature that is associated with disease-free survival (HR 1.95; 95% CI 1.27, 2.99) and has good discriminative performance (c index 0.791).

CONCLUSION

The reported findings define a promising new direction for quantitative imaging biomarker research in head and neck squamous cell cancer and highlight the potential role of new radiomics features in oncology decision making as part of precision medicine.

摘要

介绍

18F-氟代脱氧葡萄糖(FDG)正电子发射断层扫描(PET)现在是头颈部癌症患者进行分期、重新分期、放疗计划和结果评估的标准诊断成像测试。目前,FDG PET 扫描的定量分析仅限于最大标准化摄取值、代谢肿瘤体积或总病变糖酵解等简单指标,这些指标的预测价值有限。这项工作的目的是评估新的(即非标准)定量成像特征对头颈部癌症结果的预测潜力。

方法

这项回顾性研究分析了 58 例头颈部鳞状细胞癌患者的治疗前后 FDG PET 扫描,以计算基线和治疗后 5 个标准和 17 个新特征。Cox 生存回归用于评估每个定量成像特征对无病生存率的预测潜力。

结果

分析表明,肿瘤周围紧邻区域的平均示踪剂摄取与肝脏摄取的比值在治疗后的变化是一个与无病生存率相关的新的 PET 特征(HR 1.95;95%CI 1.27,2.99),且具有良好的判别性能(c 指数 0.791)。

结论

报告的研究结果定义了头颈部鳞状细胞癌定量成像生物标志物研究的一个有前途的新方向,并强调了新的放射组学特征在肿瘤学决策中的潜在作用,作为精准医学的一部分。

https://cdn.ncbi.nlm.nih.gov/pmc/blobs/8097/6474600/31ffd5e27165/pone.0215465.g001.jpg

文献检索

告别复杂PubMed语法,用中文像聊天一样搜索,搜遍4000万医学文献。AI智能推荐,让科研检索更轻松。

立即免费搜索

文件翻译

保留排版,准确专业,支持PDF/Word/PPT等文件格式,支持 12+语言互译。

免费翻译文档

深度研究

AI帮你快速写综述,25分钟生成高质量综述,智能提取关键信息,辅助科研写作。

立即免费体验