Suppr超能文献

自噬相关基因的改变表达参与心力衰竭:NRBP2 和 CALCOCO2 与人类扩张型心肌病的左心室功能障碍参数相关。

The altered expression of autophagy-related genes participates in heart failure: NRBP2 and CALCOCO2 are associated with left ventricular dysfunction parameters in human dilated cardiomyopathy.

机构信息

Cardiocirculatory Unit, Health Research Institute of La Fe University Hospital (IIS La Fe), Valencia, Spain.

Heart Failure and Transplantation Unit, Cardiology Department, La Fe University Hospital, Valencia, Spain.

出版信息

PLoS One. 2019 Apr 22;14(4):e0215818. doi: 10.1371/journal.pone.0215818. eCollection 2019.

Abstract

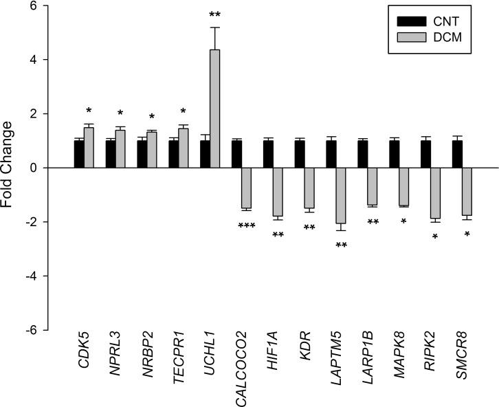
This study aimed to analyze changes in the expression of autophagy- and phagocytosis-related genes in patients with dilated cardiomyopathy (DCM), especially in relation to left ventricular (LV) dysfunction. Furthermore, transmission electron microscopy of the diseased tissue was carried out to investigate if the gene expression changes are translated into ultrastructural alterations. LV tissue samples from patients with DCM (n = 13) and from controls (CNT; n = 10) were analyzed by RNA-sequencing, whereupon the altered expression (P < 0.05) of 13 autophagy- and 3 phagocytosis-related genes was observed. The expression changes of the autophagy-related genes NRBP2 and CALCOCO2 were associated with cardiac dysfunction and remodeling (P < 0.05). The affected patients had a higher activity of these degradation processes, as evidenced by the greater number of autophagic structures in the DCM tissue (P < 0.001). Differences in the ultrastructural distribution were also found between the DCM and CNT tissues. These results show that in patients with DCM, the altered expression of NRBP2 and CALCOCO2 is related to LV dysfunction and remodeling. Clarification of the molecular mechanisms of cardiac autophagy would help in the future development of therapies to improve LV performance.

摘要

本研究旨在分析扩张型心肌病 (DCM) 患者中自噬和吞噬相关基因表达的变化,特别是与左心室 (LV) 功能障碍的关系。此外,还对病变组织进行了透射电子显微镜检查,以研究基因表达的变化是否转化为超微结构的改变。通过 RNA 测序分析了 DCM 患者 (n = 13) 和对照 (CNT; n = 10) 的 LV 组织样本,观察到 13 种自噬相关基因和 3 种吞噬相关基因的表达发生改变 (P < 0.05)。自噬相关基因 NRBP2 和 CALCOCO2 的表达变化与心脏功能障碍和重构有关 (P < 0.05)。受影响的患者这些降解过程的活性更高,DCM 组织中自噬结构的数量更多证明了这一点 (P < 0.001)。DCM 和 CNT 组织之间还发现了超微结构分布的差异。这些结果表明,在 DCM 患者中,NRBP2 和 CALCOCO2 的表达改变与 LV 功能障碍和重构有关。阐明心脏自噬的分子机制将有助于未来开发改善 LV 性能的治疗方法。

https://cdn.ncbi.nlm.nih.gov/pmc/blobs/df51/6476534/9e03e46a5d1d/pone.0215818.g001.jpg

文献AI研究员

20分钟写一篇综述,助力文献阅读效率提升50倍。

立即体验

用中文搜PubMed

大模型驱动的PubMed中文搜索引擎

马上搜索

文档翻译

学术文献翻译模型,支持多种主流文档格式。

立即体验