• 文献检索
  • 文档翻译
  • 深度研究
  • 学术资讯
  • Suppr Zotero 插件Zotero 插件
  • 邀请有礼
  • 套餐&价格
  • 历史记录
应用&插件
Suppr Zotero 插件Zotero 插件浏览器插件Mac 客户端Windows 客户端微信小程序
定价
高级版会员购买积分包购买API积分包
服务
文献检索文档翻译深度研究API 文档MCP 服务
关于我们
关于 Suppr公司介绍联系我们用户协议隐私条款
关注我们

Suppr 超能文献

核心技术专利:CN118964589B侵权必究
粤ICP备2023148730 号-1Suppr @ 2026

文献检索

告别复杂PubMed语法,用中文像聊天一样搜索,搜遍4000万医学文献。AI智能推荐,让科研检索更轻松。

立即免费搜索

文件翻译

保留排版,准确专业,支持PDF/Word/PPT等文件格式,支持 12+语言互译。

免费翻译文档

深度研究

AI帮你快速写综述,25分钟生成高质量综述,智能提取关键信息,辅助科研写作。

立即免费体验

煅烧牡蛎壳粉作为水泥砂浆中的膨胀剂

Calcined Oyster Shell Powder as an Expansive Additive in Cement Mortar.

作者信息

Seo Joon Ho, Park Sol Moi, Yang Beom Joo, Jang Jeong Gook

机构信息

Department of Civil and Environmental Engineering, Korea Advanced Institute of Science and Technology, 291 Daehak-ro, Youseong-gu, Daejeon 34141, Korea.

Applied Science Research Institute, Korea Advanced Institute of Science and Technology, 291 Daehak-ro, Youseong-gu, Daejeon 34141, Korea.

出版信息

Materials (Basel). 2019 Apr 23;12(8):1322. doi: 10.3390/ma12081322.

DOI:10.3390/ma12081322
PMID:31018545
原文链接:https://pmc.ncbi.nlm.nih.gov/articles/PMC6515437/
Abstract

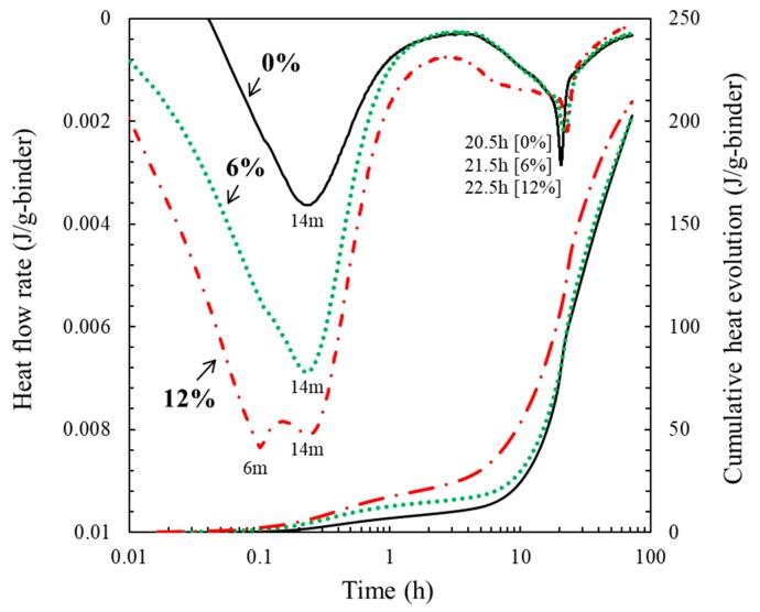
The present study prepared calcined oyster shell powder having chemical composition and crystal structure of calcium oxide and lime, respectively, and investigated the fresh and hardened properties of cement mortar incorporating calcined oyster shell powder as an additive. The test results indicated that the hydration of calcined oyster shell powder promoted the additional formation of Ca(OH) at the initial reaction stage, thereby increasing the heat of hydration. In particular, the volumetric increase of calcined oyster shell powder during hydration compensated the autogenous shrinkage of mortar at early ages, ultimately leading to a clear difference in the shrinkage values at final readings. However, an excessive incorporation of calcined oyster shell powder affected the rate of C-S-H formation in the acceleratory period of hydration, resulting in a decrease in the compressive strength development. Meanwhile, the degree of flow loss was inconsequential and rapid flow loss was not observed in the specimens with calcined oyster shell powder. Therefore, considering the fresh and hardened properties of cement mortar, the incorporation of calcined oyster shell powder of approximately 3% by weight of cement is recommended to enhance the properties of cement mortar in terms of compressive strength and autogenous shrinkage.

摘要

本研究制备了分别具有氧化钙和石灰的化学成分及晶体结构的煅烧牡蛎壳粉,并研究了掺入煅烧牡蛎壳粉作为添加剂的水泥砂浆的新拌性能和硬化性能。试验结果表明,煅烧牡蛎壳粉的水化在初始反应阶段促进了Ca(OH)的额外生成,从而提高了水化热。特别是,煅烧牡蛎壳粉在水化过程中的体积增加补偿了砂浆早期的自收缩,最终导致最终读数时收缩值出现明显差异。然而,过量掺入煅烧牡蛎壳粉会影响水化加速期C-S-H的形成速率,导致抗压强度发展降低。同时,流动度损失程度无关紧要,并且在含有煅烧牡蛎壳粉的试件中未观察到快速流动度损失。因此,考虑到水泥砂浆的新拌性能和硬化性能,建议掺入约占水泥重量3%的煅烧牡蛎壳粉,以提高水泥砂浆在抗压强度和自收缩方面的性能。

https://cdn.ncbi.nlm.nih.gov/pmc/blobs/ad30/6515437/f866973a08cf/materials-12-01322-g009.jpg
https://cdn.ncbi.nlm.nih.gov/pmc/blobs/ad30/6515437/a42f8b738c36/materials-12-01322-g001.jpg
https://cdn.ncbi.nlm.nih.gov/pmc/blobs/ad30/6515437/2d1b1a6e34fb/materials-12-01322-g002.jpg
https://cdn.ncbi.nlm.nih.gov/pmc/blobs/ad30/6515437/08d008f56f2a/materials-12-01322-g003.jpg
https://cdn.ncbi.nlm.nih.gov/pmc/blobs/ad30/6515437/2586ac3d5eec/materials-12-01322-g004.jpg
https://cdn.ncbi.nlm.nih.gov/pmc/blobs/ad30/6515437/02e1b20e802b/materials-12-01322-g005.jpg
https://cdn.ncbi.nlm.nih.gov/pmc/blobs/ad30/6515437/43b69ddad164/materials-12-01322-g006.jpg
https://cdn.ncbi.nlm.nih.gov/pmc/blobs/ad30/6515437/a691f794edd2/materials-12-01322-g007.jpg
https://cdn.ncbi.nlm.nih.gov/pmc/blobs/ad30/6515437/8b4fa18571a7/materials-12-01322-g008.jpg
https://cdn.ncbi.nlm.nih.gov/pmc/blobs/ad30/6515437/f866973a08cf/materials-12-01322-g009.jpg
https://cdn.ncbi.nlm.nih.gov/pmc/blobs/ad30/6515437/a42f8b738c36/materials-12-01322-g001.jpg
https://cdn.ncbi.nlm.nih.gov/pmc/blobs/ad30/6515437/2d1b1a6e34fb/materials-12-01322-g002.jpg
https://cdn.ncbi.nlm.nih.gov/pmc/blobs/ad30/6515437/08d008f56f2a/materials-12-01322-g003.jpg
https://cdn.ncbi.nlm.nih.gov/pmc/blobs/ad30/6515437/2586ac3d5eec/materials-12-01322-g004.jpg
https://cdn.ncbi.nlm.nih.gov/pmc/blobs/ad30/6515437/02e1b20e802b/materials-12-01322-g005.jpg
https://cdn.ncbi.nlm.nih.gov/pmc/blobs/ad30/6515437/43b69ddad164/materials-12-01322-g006.jpg
https://cdn.ncbi.nlm.nih.gov/pmc/blobs/ad30/6515437/a691f794edd2/materials-12-01322-g007.jpg
https://cdn.ncbi.nlm.nih.gov/pmc/blobs/ad30/6515437/8b4fa18571a7/materials-12-01322-g008.jpg
https://cdn.ncbi.nlm.nih.gov/pmc/blobs/ad30/6515437/f866973a08cf/materials-12-01322-g009.jpg

相似文献

1
Calcined Oyster Shell Powder as an Expansive Additive in Cement Mortar.煅烧牡蛎壳粉作为水泥砂浆中的膨胀剂
Materials (Basel). 2019 Apr 23;12(8):1322. doi: 10.3390/ma12081322.
2
[Based on Curing Age of Calcined Coal Gangue Fine Aggregate Mortar of X-Ray Diffraction and Scanning Electron Microscopy Analysis].基于煅烧煤矸石细集料砂浆养护龄期的X射线衍射与扫描电子显微镜分析
Guang Pu Xue Yu Guang Pu Fen Xi. 2016 Mar;36(3):842-7.
3
Properties of Chemically Combusted Calcium Carbide Residue and Its Influence on Cement Properties.化学煅烧电石渣的性质及其对水泥性能的影响。
Materials (Basel). 2015 Feb 13;8(2):638-651. doi: 10.3390/ma8020638.
4
Exploration of the Compressive Strength and Microscopic Properties of Portland Cement Taking Attapulgite and Montmorillonite Clay as an Additive.以凹凸棒石和蒙脱石黏土为添加剂的硅酸盐水泥抗压强度及微观性能探究
Materials (Basel). 2023 Feb 22;16(5):1794. doi: 10.3390/ma16051794.
5
Oyster shell as substitute for aggregate in mortar.用牡蛎壳替代砂浆中的集料。
Waste Manag Res. 2004 Jun;22(3):158-70. doi: 10.1177/0734242X04042456.
6
Influence of the Addition of Dispersible Color Powder and Polyacrylic Emulsion on the Durability of Cement Mortar.可再分散性色粉与聚丙烯酸乳液的添加对水泥砂浆耐久性的影响
Materials (Basel). 2022 Aug 2;15(15):5305. doi: 10.3390/ma15155305.
7
Mechanical, Leaching, and Microstructure Properties of Mine Waste Rock Reinforced and Stabilised with Waste Oyster Shell for Road Subgrade Use.用于道路路基的废牡蛎壳增强与稳定的矿山废石的力学、浸出及微观结构特性
Materials (Basel). 2022 Apr 15;15(8):2916. doi: 10.3390/ma15082916.
8
Particle Size Effect of Oyster Shell on Mortar: Experimental Investigation and Modeling.牡蛎壳对砂浆的粒径效应:实验研究与建模
Materials (Basel). 2021 Nov 11;14(22):6813. doi: 10.3390/ma14226813.
9
A New Magnesium Phosphate Cement Based on Renewable Oyster Shell Powder: Flexural Properties at Different Curing Times.一种基于可再生牡蛎壳粉的新型磷酸镁水泥:不同养护时间下的弯曲性能
Materials (Basel). 2021 Sep 20;14(18):5433. doi: 10.3390/ma14185433.
10
Chemical-mechanical characteristics of crushed oyster-shell.碎牡蛎壳的化学-机械特性
Waste Manag. 2003;23(9):825-34. doi: 10.1016/S0956-053X(02)00159-9.

引用本文的文献

1
Early Hydration Kinetics of Shell Ash-Based Cementitious Materials: A Low-Field Nuclear Magnetic Resonance Study.基于贝壳灰的胶凝材料早期水化动力学:低场核磁共振研究
Materials (Basel). 2025 Jul 10;18(14):3253. doi: 10.3390/ma18143253.
2
Stress-Strain Behavior and Strength Development of High-Amount Phosphogypsum-Based Sustainable Cementitious Materials.高掺量磷石膏基可持续胶凝材料的应力-应变行为及强度发展
Materials (Basel). 2024 Oct 9;17(19):4927. doi: 10.3390/ma17194927.
3
Effects of waste oyster shell replacing fine aggregate on the dynamic mechanical characteristics of concrete.

本文引用的文献

1
Environmental benign synthesis, characterization and mechanism studies of green calcium hydroxide nano-plates derived from waste oyster shells.基于废弃牡蛎壳制备的绿色氢氧化钙纳米板的环境友好合成、表征及机制研究。
J Environ Manage. 2018 Oct 1;223:947-951. doi: 10.1016/j.jenvman.2018.07.011. Epub 2018 Jul 12.
2
Utilization of ground waste seashells in cement mortars for masonry and plastering.利用废弃贝壳制作水泥砂浆用于砖石砌体和抹灰。
J Environ Manage. 2012 Nov 30;111:133-41. doi: 10.1016/j.jenvman.2012.06.032. Epub 2012 Jul 26.
3
The recycling of oyster shells: an environmental analysis using Life Cycle Assessment.
废弃牡蛎壳取代细集料对混凝土动态力学特性的影响
Sci Rep. 2024 Aug 27;14(1):19800. doi: 10.1038/s41598-024-70505-4.
4
Properties of Cementitious Materials Utilizing Seashells as Aggregate or Cement: Prospects and Challenges.利用贝壳作为骨料或水泥的胶凝材料特性:前景与挑战。
Materials (Basel). 2024 Mar 6;17(5):1222. doi: 10.3390/ma17051222.
5
Eco-Friendly Sustainable Concrete and Mortar Using Coal Dust Waste.利用煤尘废弃物的环保可持续混凝土和砂浆
Materials (Basel). 2023 Oct 9;16(19):6604. doi: 10.3390/ma16196604.
6
The Effect of Oyster Shell Powder on the High-Temperature-Properties of Slag-Ceramic Powder-Based Geopolymer.牡蛎壳粉对矿渣陶瓷粉末基地质聚合物高温性能的影响
Materials (Basel). 2023 May 13;16(10):3706. doi: 10.3390/ma16103706.
7
Biometric and gonadosomatic indices and chemical constituents of edible tissues and exoskeletons of Callinectes amnicola and their potential for reuse in the circular economy paradigm.中国对虾和脊尾白虾生物和性腺指标及可食用组织与外骨骼的化学成分及其在循环经济模式下再利用的潜力。
Sci Rep. 2023 May 25;13(1):8502. doi: 10.1038/s41598-023-35732-1.
8
Development of novel green methods for preparation of lead-free preserved pidan (duck egg).新型绿色皮蛋(鸭蛋)制备方法的开发。
J Food Sci Technol. 2023 Mar;60(3):966-974. doi: 10.1007/s13197-022-05417-0. Epub 2022 Mar 15.
9
Composition, Technological, and Microstructural Aspects of Concrete Modified with Finely Ground Mussel Shell Powder.用细磨贻贝贝壳粉改性混凝土的成分、工艺及微观结构方面
Materials (Basel). 2022 Dec 22;16(1):82. doi: 10.3390/ma16010082.
10
Integration of Rice Husk Ash as Supplementary Cementitious Material in the Production of Sustainable High-Strength Concrete.稻壳灰作为辅助胶凝材料在可持续高强度混凝土生产中的应用
Materials (Basel). 2022 Nov 17;15(22):8171. doi: 10.3390/ma15228171.
牡蛎壳的回收利用:生命周期评估的环境分析。
J Environ Manage. 2012 Sep 15;106:102-9. doi: 10.1016/j.jenvman.2012.04.017. Epub 2012 May 10.
4
Durability of conventional concretes containing black rice husk ash.含黑米壳灰的普通混凝土的耐久性。
J Environ Manage. 2011 Jan;92(1):59-66. doi: 10.1016/j.jenvman.2010.08.007. Epub 2010 Sep 21.
5
Experimental assessment of adsorption of Cu2+ and Ni2+ from aqueous solution by oyster shell powder.牡蛎壳粉末对水溶液中 Cu2+ 和 Ni2+ 的吸附作用的实验评估。
J Hazard Mater. 2009 Nov 15;171(1-3):995-1000. doi: 10.1016/j.jhazmat.2009.06.105. Epub 2009 Jun 26.
6
Chemical-mechanical characteristics of crushed oyster-shell.碎牡蛎壳的化学-机械特性
Waste Manag. 2003;23(9):825-34. doi: 10.1016/S0956-053X(02)00159-9.