Suppr超能文献

瘦素基因DNA甲基化与神经性厌食症诊断及治疗结果的关联

Association of Leptin Gene DNA Methylation With Diagnosis and Treatment Outcome of Anorexia Nervosa.

作者信息

Neyazi Alexandra, Buchholz Vanessa, Burkert Alexandra, Hillemacher Thomas, de Zwaan Martina, Herzog Wolfgang, Jahn Kirsten, Giel Katrin, Herpertz Stephan, Buchholz Christian A, Dinkel Andreas, Burgmer Markus, Zeeck Almut, Bleich Stefan, Zipfel Stephan, Frieling Helge

机构信息

Molecular Neuroscience Laboratory, Department of Psychiatry, Social Psychiatry, and Psychotherapy, Hannover Medical School (MHH), Hannover, Germany.

Department of Psychiatry and Psychotherapy, Paracelsus Medizinische Privatuniversität Nürnberg, Nuremberg, Germany.

出版信息

Front Psychiatry. 2019 Apr 11;10:197. doi: 10.3389/fpsyt.2019.00197. eCollection 2019.

Abstract

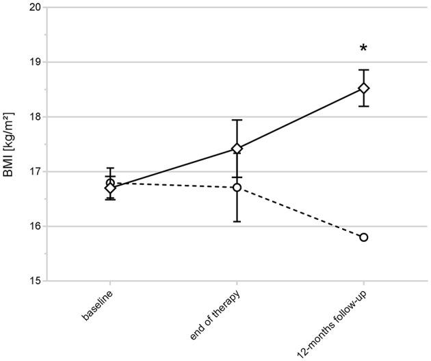
Epigenetic alterations are increasingly implicated in the pathophysiology of anorexia nervosa (AN) but are as yet poorly understood. We investigated possible associations between the leptin gene () and the leptin receptor gene () DNA promoter methylation and (1) a diagnosis of AN and (2) outcome after a 10 months psychotherapeutic outpatient treatment. 129 (: = 135) patients with AN were investigated during the large scale psychotherapeutic Anorexia Nervosa Treatment Outpatient Study (ANTOP) trial, compared to 117 (: = 119) age and height matched, normal-weight healthy controls. Blood samples were taken at baseline, the end of therapy (40 weeks) and the 12-months follow-up and compared to controls. Methylation was measured in whole blood via bisulfite sequencing. Within the promoter region 32 () and 39 CpG sites () were analyzed. Two key findings were observed. First, and methylation at baseline were lower in patients compared to controls (: [%] AN: 30.94 ± 13.2 vs. controls: 34.53 ± 14.6); LEPR ([%] AN: 3.73 ± 5.4 vs. controls: 5.22 ± 8.3, mixed linear models: both < 0.001). Second, lower DNA methylation of the promoter, with a dynamic upregulation during treatment, was associated with a full recovery in AN patients (% change from baseline to follow-up in full recovery patients: +35.13% (SD: 47.56); mixed linear model: < 0.0001). To test for potential predictive properties of mean DNA methylation a DNA methylation cut-off (31.25% DNA methylation) was calculated, which significantly discriminated full recovery vs. full syndrome AN patients. This cut-off was then tested in a group of previously unclassified patients (missing follow-up data of the Structured Interview for Anorexic and Bulimic disorders; = 33). Patients below the cut-off (31.25% DNA methylation) showed an increase in BMI over time, while those above the cut-off had a decrease in BMI (ANOVA at the 12-months follow-up: = 0.0142). To our knowledge, this is the first study investigating epigenetic alterations in AN over time. Our findings indicate that DNA methylation might be involved in the disease course of AN.

摘要

表观遗传改变越来越多地被认为与神经性厌食症(AN)的病理生理学有关,但目前人们对此了解甚少。我们研究了瘦素基因()和瘦素受体基因()DNA启动子甲基化与以下两方面的可能关联:(1)AN的诊断;(2)10个月门诊心理治疗后的结局。在大规模心理治疗性神经性厌食症门诊治疗研究(ANTOP)试验中,对129例(:= 135)AN患者进行了研究,并与117例(:= 119)年龄和身高匹配的正常体重健康对照者进行比较。在基线、治疗结束时(40周)和12个月随访时采集血样,并与对照者进行比较。通过亚硫酸氢盐测序法测定全血中的甲基化水平。在启动子区域分析了32个()和39个CpG位点()。观察到两个关键发现。首先,与对照者相比,患者基线时和的甲基化水平较低(:[%] AN:30.94±13.2 vs.对照者:34.53±14.6);LEPR([%] AN:3.73±5.4 vs.对照者:5.22±8.3,混合线性模型:两者均<0.001)。其次,启动子的DNA甲基化水平较低,且在治疗期间动态上调,这与AN患者的完全康复相关(完全康复患者从基线到随访的%变化:+ 35.13%(标准差:47.56);混合线性模型:<0.0001)。为了测试平均DNA甲基化的潜在预测特性,计算了一个DNA甲基化临界值(31.25%DNA甲基化),该临界值能显著区分完全康复与完全综合征AN患者。然后在一组先前未分类的患者(缺少神经性厌食症和贪食症结构化访谈的随访数据; = 33)中测试了这个临界值。低于临界值(31.25%DNA甲基化)的患者BMI随时间增加,而高于临界值的患者BMI下降(12个月随访时的方差分析:= 0.0142)。据我们所知,这是第一项研究AN随时间变化的表观遗传改变的研究。我们的发现表明,DNA甲基化可能参与了AN的病程。

https://cdn.ncbi.nlm.nih.gov/pmc/blobs/6c9a/6470249/0b2d66ed2144/fpsyt-10-00197-g0001.jpg

文献AI研究员

20分钟写一篇综述,助力文献阅读效率提升50倍。

立即体验

用中文搜PubMed

大模型驱动的PubMed中文搜索引擎

马上搜索

文档翻译

学术文献翻译模型,支持多种主流文档格式。

立即体验