• 文献检索
  • 文档翻译
  • 深度研究
  • 学术资讯
  • Suppr Zotero 插件Zotero 插件
  • 邀请有礼
  • 套餐&价格
  • 历史记录
应用&插件
Suppr Zotero 插件Zotero 插件浏览器插件Mac 客户端Windows 客户端微信小程序
定价
高级版会员购买积分包购买API积分包
服务
文献检索文档翻译深度研究API 文档MCP 服务
关于我们
关于 Suppr公司介绍联系我们用户协议隐私条款
关注我们

Suppr 超能文献

核心技术专利:CN118964589B侵权必究
粤ICP备2023148730 号-1Suppr @ 2026

文献检索

告别复杂PubMed语法,用中文像聊天一样搜索,搜遍4000万医学文献。AI智能推荐,让科研检索更轻松。

立即免费搜索

文件翻译

保留排版,准确专业,支持PDF/Word/PPT等文件格式,支持 12+语言互译。

免费翻译文档

深度研究

AI帮你快速写综述,25分钟生成高质量综述,智能提取关键信息,辅助科研写作。

立即免费体验

来自越南北部的一具11000年前的大麂亚化石:对过去和现在种群的启示

An 11 000-year-old giant muntjac subfossil from Northern Vietnam: implications for past and present populations.

作者信息

Stimpson C M, Utting B, O'Donnell S, Huong N T M, Kahlert T, Manh B V, Khanh P S, Rabett R J

机构信息

School of Natural and Built Environment, Queen's University Belfast, Elmwood Avenue, Belfast BT7 1NN, UK.

Department of Archaeology, University of Cambridge, Downing Street, Cambridge CB2 3DZ, UK.

出版信息

R Soc Open Sci. 2019 Mar 13;6(3):181461. doi: 10.1098/rsos.181461. eCollection 2019 Mar.

DOI:10.1098/rsos.181461
PMID:31032005
原文链接:https://pmc.ncbi.nlm.nih.gov/articles/PMC6458398/
Abstract

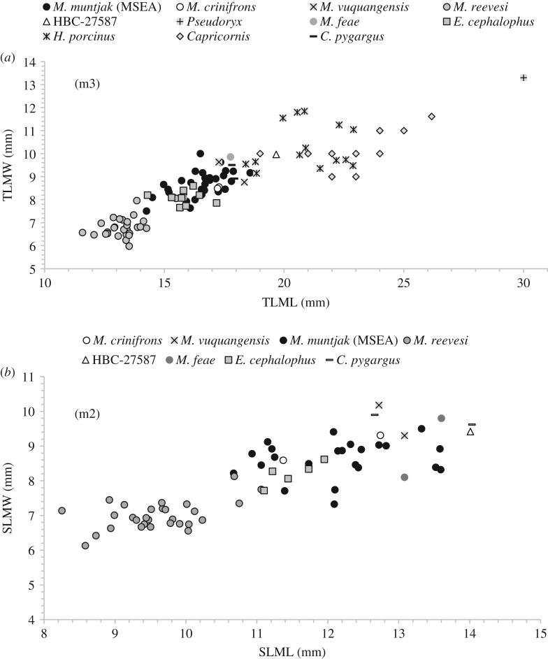
Described at the end of the twentieth century, the large-antlered or giant muntjac, (syn), is a Critically Endangered species currently restricted to the Annamite region in Southeast Asia. Here we report subfossil evidence of giant muntjac, a mandible fragment dated between 11.1 and 11.4 thousand years before present, from northern Vietnam. We describe morphological and metric criteria for diagnosis and consider the specimen in the context of regional archaeological and palaeontological records of . We then consider the palaeoenvironmental context of the specimen and the implications for habitat requirements for extant populations. The new specimen extends the known spatial and temporal range of giant muntjacs in Vietnam and is further evidence that this species was more widely distributed in the Holocene than current records indicate. While regional proxy evidence indicates a drier climate and more open woodland habitats at the onset of the Holocene, contextual evidence indicates that the specimen derived from an animal inhabiting limestone karst forest. This record also supports the assertion that remnant populations are in a refugial state, as a result of anthropogenic pressures, rather than representing a centre of endemism. These facts underscore the urgent need for the conservation of remaining populations.

摘要

大角麂或巨麂于20世纪末被描述,是极度濒危物种,目前仅存于东南亚的安南山脉地区。在此,我们报告了来自越南北部的巨麂亚化石证据,一块下颌骨碎片的年代测定为距今1.11万至1.14万年。我们描述了用于诊断的形态学和测量标准,并结合该地区的考古和古生物学记录来考量这个标本。然后,我们考虑了该标本的古环境背景以及对现存种群栖息地需求的影响。这个新标本扩展了越南巨麂已知的时空分布范围,进一步证明该物种在全新世的分布比目前记录所显示的更为广泛。虽然区域代用证据表明全新世开始时气候更干燥,林地栖息地更开阔,但背景证据表明该标本来自一只栖息在石灰岩喀斯特森林中的动物。这一记录也支持了这样的观点,即由于人为压力,残余种群处于避难状态,而非代表一个特有中心。这些事实凸显了保护剩余种群的迫切需求。

https://cdn.ncbi.nlm.nih.gov/pmc/blobs/6da4/6458398/cee90f0d7462/rsos181461-g7.jpg
https://cdn.ncbi.nlm.nih.gov/pmc/blobs/6da4/6458398/aab7ceca1faf/rsos181461-g1.jpg
https://cdn.ncbi.nlm.nih.gov/pmc/blobs/6da4/6458398/4c4c9833a356/rsos181461-g2.jpg
https://cdn.ncbi.nlm.nih.gov/pmc/blobs/6da4/6458398/54ed223504e6/rsos181461-g3.jpg
https://cdn.ncbi.nlm.nih.gov/pmc/blobs/6da4/6458398/90e110dcabaf/rsos181461-g4.jpg
https://cdn.ncbi.nlm.nih.gov/pmc/blobs/6da4/6458398/d5f58bae457c/rsos181461-g5.jpg
https://cdn.ncbi.nlm.nih.gov/pmc/blobs/6da4/6458398/871f3feb3ef5/rsos181461-g6.jpg
https://cdn.ncbi.nlm.nih.gov/pmc/blobs/6da4/6458398/cee90f0d7462/rsos181461-g7.jpg
https://cdn.ncbi.nlm.nih.gov/pmc/blobs/6da4/6458398/aab7ceca1faf/rsos181461-g1.jpg
https://cdn.ncbi.nlm.nih.gov/pmc/blobs/6da4/6458398/4c4c9833a356/rsos181461-g2.jpg
https://cdn.ncbi.nlm.nih.gov/pmc/blobs/6da4/6458398/54ed223504e6/rsos181461-g3.jpg
https://cdn.ncbi.nlm.nih.gov/pmc/blobs/6da4/6458398/90e110dcabaf/rsos181461-g4.jpg
https://cdn.ncbi.nlm.nih.gov/pmc/blobs/6da4/6458398/d5f58bae457c/rsos181461-g5.jpg
https://cdn.ncbi.nlm.nih.gov/pmc/blobs/6da4/6458398/871f3feb3ef5/rsos181461-g6.jpg
https://cdn.ncbi.nlm.nih.gov/pmc/blobs/6da4/6458398/cee90f0d7462/rsos181461-g7.jpg

相似文献

1
An 11 000-year-old giant muntjac subfossil from Northern Vietnam: implications for past and present populations.来自越南北部的一具11000年前的大麂亚化石:对过去和现在种群的启示
R Soc Open Sci. 2019 Mar 13;6(3):181461. doi: 10.1098/rsos.181461. eCollection 2019 Mar.
2
Reading the signs: Camera-trapping provides new insights on scent marking in the large-antlered muntjac ().解读信号:相机陷阱为黑麂的气味标记提供了新见解。
Ecol Evol. 2023 Jan 16;13(1):e9692. doi: 10.1002/ece3.9692. eCollection 2023 Jan.
3
Morphological, Phaneroptic, Habitat and Population Description of Three Muntjac Species in a Tibetan Nature Reserve.西藏某自然保护区三种麂类的形态、外观、栖息地及种群描述
Animals (Basel). 2022 Oct 24;12(21):2909. doi: 10.3390/ani12212909.
4
Spatial dynamics of Chinese Muntjac related to past and future climate fluctuations.与过去和未来气候波动相关的中华麂的空间动态
Curr Zool. 2021 Jan 12;67(4):361-370. doi: 10.1093/cz/zoaa080. eCollection 2021 Aug.
5
Confirmed archaeological evidence of water deer in Vietnam: relics of the Pleistocene or a shifting baseline?越南獐鹿的确凿考古证据:更新世遗迹还是移动基线?
R Soc Open Sci. 2021 Jun 30;8(6):210529. doi: 10.1098/rsos.210529. eCollection 2021 Jun.
6
Rapid and parallel chromosomal number reductions in muntjac deer inferred from mitochondrial DNA phylogeny.从线粒体DNA系统发育推断麂属鹿类染色体数目快速并行减少
Mol Biol Evol. 2000 Sep;17(9):1326-33. doi: 10.1093/oxfordjournals.molbev.a026416.
7
Complete mitochondrial genome of the leaf muntjac () and phylogenetics of the genus .叶麂()的完整线粒体基因组和属的系统发育。
Zool Res. 2017 Sep 18;38(5):310-316. doi: 10.24272/j.issn.2095-8137.2017.058.
8
Acoustic structure of alarm calls in Indian sambar (Rusa unicolor) and Indian muntjac (Muntiacus vaginalis) in South Vietnam.越南南部印度水鹿(Rusa unicolor)和印度麂(Muntiacus vaginalis)警报叫声的声学结构。
Dokl Biol Sci. 2017 May;474(1):110-113. doi: 10.1134/S0012496617030061. Epub 2017 Jul 13.
9
Camera trap reveals the co-occurrence patterns of two sympatric muntjac species in southern Anhui Province, China: No spatial segregation.相机陷阱揭示了中国安徽省南部两种同域麂类物种的共存模式:不存在空间隔离。
Ecol Evol. 2021 Dec 3;11(24):17801-17809. doi: 10.1002/ece3.8307. eCollection 2021 Dec.
10
Characterization of the telomere complex, TERF1 and TERF2 genes in muntjac species with fusion karyotypes.具有融合核型的麂属物种中端粒复合体、TERF1和TERF2基因的特征分析。
Exp Cell Res. 2005 May 15;306(1):64-74. doi: 10.1016/j.yexcr.2005.02.001.

引用本文的文献

1
TBH1: 12 000-year-old human skeleton and projectile point shed light on demographics and mortality in Terminal Pleistocene Southeast Asia.TBH1:一万两千年前的人类骨骼和投射物为更新世晚期东南亚的人口统计学和死亡率提供了线索。
Proc Biol Sci. 2025 Aug;292(2053):20251819. doi: 10.1098/rspb.2025.1819. Epub 2025 Aug 27.
2
Morphometric characterization of Holocene mandibles expands the ecological baseline for understanding gibbon extinction dynamics.全新世下颌骨的形态测量特征拓展了理解长臂猿灭绝动态的生态基线。
R Soc Open Sci. 2025 Jun 25;12(6):242065. doi: 10.1098/rsos.242065. eCollection 2025 Jun.
3
Genomes of critically endangered saola are shaped by population structure and purging.

本文引用的文献

1
Complete mitochondrial genome of the leaf muntjac () and phylogenetics of the genus .叶麂()的完整线粒体基因组和属的系统发育。
Zool Res. 2017 Sep 18;38(5):310-316. doi: 10.24272/j.issn.2095-8137.2017.058.
2
Long-term archives reveal shifting extinction selectivity in China's postglacial mammal fauna.长期档案揭示了中国更新世后哺乳动物群灭绝选择的变化。
Proc Biol Sci. 2017 Nov 29;284(1867). doi: 10.1098/rspb.2017.1979.
3
Biological annihilation via the ongoing sixth mass extinction signaled by vertebrate population losses and declines.
极度濒危的中南大羚的基因组受种群结构和清除作用影响。
Cell. 2025 Jun 12;188(12):3102-3116.e22. doi: 10.1016/j.cell.2025.03.040. Epub 2025 May 5.
4
Prehistoric pathways to Anthropocene adaptation: Evidence from the Red River Delta, Vietnam.史前通往人类世适应的途径:来自越南红河三角洲的证据。
PLoS One. 2023 Feb 8;18(2):e0280126. doi: 10.1371/journal.pone.0280126. eCollection 2023.
5
Geochemical fingerprinting of Pleistocene stone tools from the Tràng An Landscape Complex, Ninh Bình Province, Vietnam.越南宁平省三谷遗址群更新世石器的地球化学指纹分析
PLoS One. 2022 Jun 22;17(6):e0269658. doi: 10.1371/journal.pone.0269658. eCollection 2022.
6
Confirmed archaeological evidence of water deer in Vietnam: relics of the Pleistocene or a shifting baseline?越南獐鹿的确凿考古证据:更新世遗迹还是移动基线?
R Soc Open Sci. 2021 Jun 30;8(6):210529. doi: 10.1098/rsos.210529. eCollection 2021 Jun.
生物灭绝——通过脊椎动物种群数量的减少和下降来标志着正在进行的第六次大灭绝。
Proc Natl Acad Sci U S A. 2017 Jul 25;114(30):E6089-E6096. doi: 10.1073/pnas.1704949114. Epub 2017 Jul 10.
4
Clay mineralogical and geochemical proxies of the East Asian summer monsoon evolution in the South China Sea during Late Quaternary.晚第四纪南海东亚夏季风演化的粘土矿物学和地球化学指标。
Sci Rep. 2017 Feb 8;7:42083. doi: 10.1038/srep42083.
5
Phylogeography of red muntjacs reveals three distinct mitochondrial lineages.赤麂的系统地理学揭示了三个不同的线粒体谱系。
BMC Evol Biol. 2017 Jan 26;17(1):34. doi: 10.1186/s12862-017-0888-0.
6
The Middle Pleistocene vertebrate fauna from Khok Sung (Nakhon Ratchasima, Thailand): biochronological and paleobiogeographical implications.来自泰国呵叻府空盛(Khok Sung)的中更新世脊椎动物群:生物年代学和古生物地理学意义
Zookeys. 2016 Aug 30(613):1-157. doi: 10.3897/zookeys.613.8309. eCollection 2016.
7
Normative comparisons for large neuropsychological test batteries: User-friendly and sensitive solutions to minimize familywise false positives.大型神经心理测试组合的常模比较:最小化族系假阳性的用户友好型且灵敏的解决方案。
J Clin Exp Neuropsychol. 2016 Aug;38(6):611-29. doi: 10.1080/13803395.2015.1132299. Epub 2016 Apr 10.
8
A warrant for applied palaeozoology.应用古动物学的授权令。
Biol Rev Camb Philos Soc. 2012 Aug;87(3):513-25. doi: 10.1111/j.1469-185X.2011.00207.x. Epub 2011 Oct 27.
9
Extinction filters and current resilience: the significance of past selection pressures for conservation biology.灭绝过滤器与当前弹性:过去选择压力对保护生物学的意义。
Trends Ecol Evol. 1996 May;11(5):193-6. doi: 10.1016/0169-5347(96)10026-4.
10
Conservation paleobiology: putting the dead to work.保护古生物学:让死者发挥作用。
Trends Ecol Evol. 2011 Jan;26(1):30-7. doi: 10.1016/j.tree.2010.09.010. Epub 2010 Oct 28.