Suppr超能文献

格雷mlin,一种潜在的抗中性粒细胞胞浆抗体相关性新月体肾小球肾炎的尿生物标志物。

Gremlin, A Potential Urinary Biomarker of Anca-Associated Crescentic Glomerulonephritis.

机构信息

Nephrology Division, School of Medicine, Universidad Austral de Chile, Valdivia, Chile.

Cellular Biology in Renal Disease Laboratory, Universidad Autónoma. IIS-Fundación Jiménez Díaz, Madrid, Spain.

出版信息

Sci Rep. 2019 May 3;9(1):6867. doi: 10.1038/s41598-019-43358-5.

Abstract

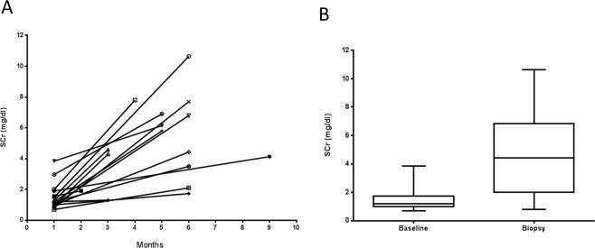
Gremlin renal overexpression has been reported in diabetic nephropathy, pauci-immune crescentic glomerulonephritis and chronic allograft nephropathy and has been implicated in the pathophysiology of the progression of renal damage. However, it is unknown whether urinary Gremlin can be associated with renal functional status, renal biopsy findings and outcome. To examine these associations we studied 20 patients with ANCA+ renal vasculitis and very high urinary Gremlin (354 ± 76 ug/gCr), 86 patients with other glomerular diseases and moderately elevated urinary Gremlin (83 ± 14 ug/gCr) and 11 healthy controls (urinary Gremlin 11.3 ± 2.4 ug/gCr). Urinary Gremlin was significantly correlated with renal expression of Gremlin (r = 0.64, p = 0.013) observed in cellular glomerular crescents, tubular epithelial cells and interstitial inflammatory cells. Moreover, urinary Gremlin levels were correlated with the number of glomerular crescents (r = 0.53; p < 0.001), renal CD68 positive cells (r = 0.71; p < 0.005), tubulointerstitial fibrosis (r = 0.50; p < 0.05), and serum creatinine levels (r = 0.60; p < 0.001). Interestingly, Gremlin expression was colocalized with CD68, CD163 (monocyte/macrophage markers) and CCL18 positive cells. ROC curve analysis showed that the cutoff value of urinary Gremlin in glomerular diseases as 43 ug/gCr with 72% of sensitivity and 100% of specificity [AUC: 0.96 (CI 95% 0.92-0.99] (p < 0.001). For ANCA+ renal vasculitis the value of urinary Gremlin of 241 ug/gCr had 55% of sensitivity and 100% of specificity [AUC: 0.81 (CI 95% 0.68-0.94) (p < 0.001]. Based on these results we propose that urinary Gremlin represents a non-invasive biomarker in ANCA+ renal vasculitis, and suggest a role of Gremlin in the formation of crescents.

摘要

格雷mlin 肾过表达已在糖尿病肾病、少免疫性新月体肾小球肾炎和慢性移植肾肾病中报道,并与肾损伤进展的病理生理学有关。然而,尿格雷mlin 是否与肾功能状态、肾活检结果和预后相关尚不清楚。为了研究这些相关性,我们研究了 20 例抗中性粒细胞胞浆抗体(ANCA)+肾血管炎患者和极高水平的尿格雷mlin(354±76ug/gCr)、86 例其他肾小球疾病和中高水平的尿格雷mlin(83±14ug/gCr)和 11 名健康对照者(尿格雷mlin 11.3±2.4ug/gCr)。尿格雷mlin 与细胞性肾小球新月体、肾小管上皮细胞和间质炎症细胞中格雷mlin 的肾表达显著相关(r=0.64,p=0.013)。此外,尿格雷mlin 水平与肾小球新月体数量(r=0.53;p<0.001)、肾 CD68 阳性细胞(r=0.71;p<0.005)、肾小管间质纤维化(r=0.50;p<0.05)和血清肌酐水平(r=0.60;p<0.001)相关。有趣的是,格雷mlin 表达与 CD68、CD163(单核/巨噬细胞标志物)和 CCL18 阳性细胞共定位。ROC 曲线分析显示,肾小球疾病中尿格雷mlin 的截断值为 43ug/gCr,敏感性为 72%,特异性为 100%[AUC:0.96(95%CI 0.92-0.99](p<0.001)。对于 ANCA+肾血管炎,尿格雷mlin 的 241ug/gCr 值的敏感性为 55%,特异性为 100%[AUC:0.81(95%CI 0.68-0.94)(p<0.001]。基于这些结果,我们提出尿格雷mlin 是 ANCA+肾血管炎的非侵入性生物标志物,并提示格雷mlin 在新月体形成中的作用。

https://cdn.ncbi.nlm.nih.gov/pmc/blobs/2ce2/6499786/7b7de3e46c76/41598_2019_43358_Fig1_HTML.jpg

文献检索

告别复杂PubMed语法,用中文像聊天一样搜索,搜遍4000万医学文献。AI智能推荐,让科研检索更轻松。

立即免费搜索

文件翻译

保留排版,准确专业,支持PDF/Word/PPT等文件格式,支持 12+语言互译。

免费翻译文档

深度研究

AI帮你快速写综述,25分钟生成高质量综述,智能提取关键信息,辅助科研写作。

立即免费体验