Suppr超能文献

用于牙科植入应用的生物陶瓷微研磨结构化处理

Structuring of Bioceramics by Micro-Grinding for Dental Implant Applications.

作者信息

Fook Pablo, Berger Daniel, Riemer Oltmann, Karpuschewski Bernhard

机构信息

Laboratory for Precision Machining (LFM), Leibniz Institute for Materials Engineering (IWT), MAPEX Center for Materials and Processes, University of Bremen, 28359 Bremen, Germany.

出版信息

Micromachines (Basel). 2019 May 9;10(5):312. doi: 10.3390/mi10050312.

Abstract

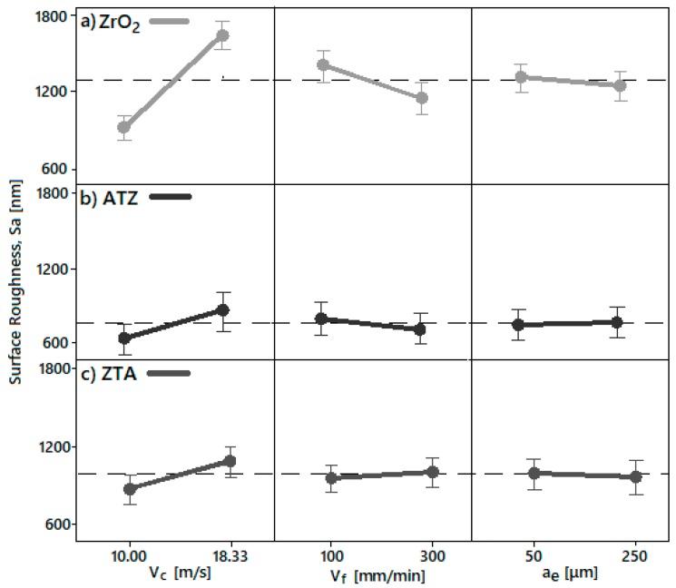
Metallic implants were the only option for both medical and dental applications for decades. However, it has been reported that patients with metal implants can show allergic reactions. Consequently, technical ceramics have become an accessible material alternative due to their combination of biocompatibility and mechanical properties. Despite the recent developments in ductile mode machining, the micro-grinding of bioceramics can cause insufficient surface and subsurface integrity due to the inherent hardness and brittleness of these materials. This work aims to determine the influence on the surface and subsurface damage (SSD) of zirconia-based ceramics ground with diamond wheels of 10 mm diameter with a diamond grain size (d) of 75 μm within eight grinding operations using a variation of the machining parameters, i.e., peripheral speed (v), feed speed (v), and depth of cut (a). In this regard, dental thread structures were machined on fully sintered zirconia (ZrO), alumina toughened zirconia (ATZ), and zirconia toughened alumina (ZTA) bioceramics. The ground workpieces were analysed through a scanning electron microscope (SEM), X-ray diffraction (XRD), and white light interferometry (WLI) to evaluate the microstructure, residual stresses, and surface roughness, respectively. Moreover, the grinding processes were monitored through forces measurement. Based on the machining parameters tested, the results showed that low peripheral speed (v) and low depth of cut (a) were the main conditions investigated to achieve the optimum surface integrity and the desired low grinding forces. Finally, the methodology proposed to investigate the surface integrity of the ground workpieces was helpful to understand the zirconia-based ceramics response under micro-grinding processes, as well as to set further machining parameters for dental implant threads.

摘要

几十年来,金属植入物一直是医疗和牙科应用的唯一选择。然而,据报道,植入金属的患者可能会出现过敏反应。因此,技术陶瓷因其生物相容性和机械性能的结合,已成为一种可行的材料替代品。尽管近年来在延性模式加工方面取得了进展,但由于生物陶瓷固有的硬度和脆性,其微磨削可能会导致表面和亚表面完整性不足。这项工作旨在确定在八次磨削操作中,使用不同的加工参数,即圆周速度(v)、进给速度(vf)和切削深度(a),对直径为10mm、金刚石粒度(d)为75μm的金刚石砂轮磨削的氧化锆基陶瓷的表面和亚表面损伤(SSD)的影响。在这方面,在完全烧结的氧化锆(ZrO)、氧化铝增韧氧化锆(ATZ)和氧化锆增韧氧化铝(ZTA)生物陶瓷上加工牙科螺纹结构。通过扫描电子显微镜(SEM)、X射线衍射(XRD)和白光干涉测量法(WLI)分别对磨削后的工件进行分析,以评估微观结构、残余应力和表面粗糙度。此外,通过测量力来监测磨削过程。基于所测试的加工参数,结果表明,低圆周速度(v)和低切削深度(a)是实现最佳表面完整性和所需低磨削力的主要研究条件。最后,所提出的研究磨削后工件表面完整性的方法有助于理解氧化锆基陶瓷在微磨削过程中的响应,以及为牙科种植体螺纹设定进一步的加工参数。

https://cdn.ncbi.nlm.nih.gov/pmc/blobs/6140/6562720/c5fa19b7a014/micromachines-10-00312-g001.jpg

文献AI研究员

20分钟写一篇综述,助力文献阅读效率提升50倍。

立即体验

用中文搜PubMed

大模型驱动的PubMed中文搜索引擎

马上搜索

文档翻译

学术文献翻译模型,支持多种主流文档格式。

立即体验