Department of Reproductive Medicine and Gynaecology, University Medical Centre Utrecht, Utrecht University, Heidelberglaan, CX Utrecht, The Netherlands.
Julius Centre for Health Sciences and Primary Care, University Medical Centre Utrecht, Utrecht University, Heidelberglaan, CX Utrecht, The Netherlands.
Hum Reprod. 2019 Jun 4;34(6):1030-1041. doi: 10.1093/humrep/dez051.
Do cumulative live birth rates (CLBRs) over multiple IVF/ICSI cycles confirm the low prognosis in women stratified according to the POSEIDON criteria?
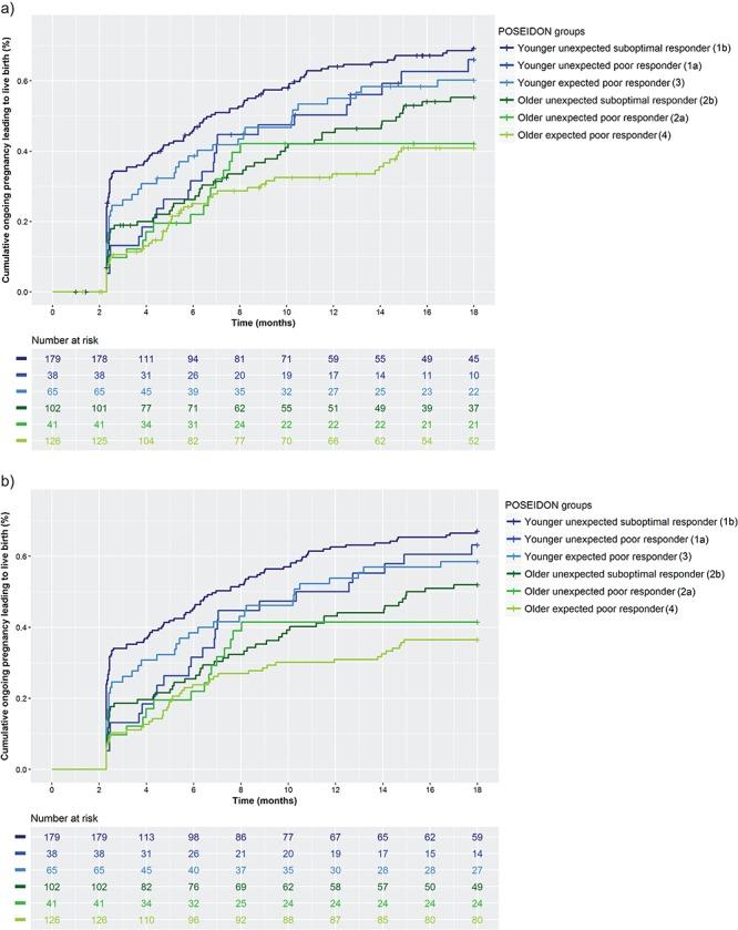
The CLBR of low-prognosis women is ~56% over 18 months of IVF/ICSI treatment and varies between the POSEIDON groups, which is primarily attributable to the impact of female age.
The POSEIDON group recently proposed a new stratification for low-prognosis women in IVF/ICSI treatment, with the aim to define more homogenous populations for clinical trials and stimulate a patient-tailored therapeutic approach. These new criteria combine qualitative and quantitative parameters to create four groups of low-prognosis women with supposedly similar biologic characteristics.
STUDY DESIGN, SIZE, DURATION: This study analyzed the data of a Dutch multicenter observational cohort study including 551 low-prognosis women, aged <44 years, who initiated IVF/ICSI treatment between 2011 and 2014 and were treated with a fixed FSH dose of 150 IU/day in the first treatment cycle.
PARTICIPANTS/MATERIALS, SETTING, METHODS: Low-prognosis women were categorized into one of the POSEIDON groups based on their age (younger or older than 35 years), anti-Müllerian hormone (AMH) level (above or below 0.96 ng/ml), and the ovarian response (poor or suboptimal) in their first cycle of standard stimulation. The primary outcome was the CLBR over multiple complete IVF/ICSI cycles, including all subsequent fresh and frozen-thawed embryo transfers, within 18 months of treatment. Cumulative incidence curves were obtained using an optimistic and a conservative analytic approach.
The CLBR of the low-prognosis women was on average ~56% over 18 months of IVF/ICSI treatment. Younger unexpected poor (n = 38) and suboptimal (n = 179) responders had a CLBR of ~65% and ~68%, respectively, and younger expected poor responders (n = 65) had a CLBR of ~59%. The CLBR of older unexpected poor (n = 41) and suboptimal responders (n = 102) was ~42% and ~54%, respectively, and of older expected poor responders (n = 126) ~39%. For comparison, the CLBR of younger (n = 164) and older (n = 78) normal responders with an adequate ovarian reserve was ~72% and ~58% over 18 months of treatment, respectively. No large differences were observed in the number of fresh treatment cycles between the POSEIDON groups, with an average of two fresh cycles per woman within 18 months of follow-up.
LIMITATIONS, REASONS FOR CAUTION: Small numbers in some (sub)groups reduced the precision of the estimates. However, our findings provide the first relevant indication of the CLBR of low-prognosis women in the POSEIDON groups. Small FSH dose adjustments between cycles were allowed, inducing therapeutic disparity. Yet, this is in accordance with current daily practice and increases the generalizability of our findings.
The CLBRs vary between the POSEIDON groups. This heterogeneity is primarily determined by a woman's age, reflecting the importance of oocyte quality. In younger women, current IVF/ICSI treatment reaches relatively high CLBR over multiple complete cycles, despite reduced quantitative parameters. In older women, the CLBR remains relatively low over multiple complete cycles, due to the co-occurring decline in quantitative and qualitative parameters. As no effective interventions exist to counteract this decline, clinical management currently relies on proper counselling.
STUDY FUNDING/COMPETING INTEREST(S): No external funds were obtained for this study. J.A.L. is supported by a Research Fellowship grant and received an unrestricted personal grant from Merck BV. S.C.O., T.C.v.T., and H.L.T. received an unrestricted personal grant from Merck BV. C.B.L. received research grants from Merck, Ferring, and Guerbet. K.F. received unrestricted research grants from Merck Serono, Ferring, and GoodLife. She also received fees for lectures and consultancy from Ferring and GoodLife. A.H. declares that the Department of Obstetrics and Gynaecology, University Medical Centre Groningen received an unrestricted research grant from Ferring Pharmaceuticals BV, the Netherlands. J.S.E.L. has received unrestricted research grants from Ferring, Zon-MW, and The Dutch Heart Association. He also received travel grants and consultancy fees from Danone, Euroscreen, Ferring, AnshLabs, and Titus Healthcare. B.W.J.M. is supported by an National Health and Medical Research Council Practitioner Fellowship (GNT1082548) and reports consultancy work for ObsEva, Merck, and Guerbet. He also received a research grant from Merck BV and travel support from Guerbet. F.J.M.B. received monetary compensation as a member of the external advisory board for Merck Serono (the Netherlands) and Ferring Pharmaceuticals BV (the Netherlands) for advisory work for Gedeon Richter (Belgium) and Roche Diagnostics on automated AMH assay development, and for a research cooperation with Ansh Labs (USA). All other authors have nothing to declare.
Not applicable.
根据 POSEIDON 标准分层的低预后女性,其累积活产率 (CLBR) 是否在多个体外受精/卵胞浆内单精子注射 (IVF/ICSI) 周期中得到证实?
低预后女性在 18 个月的 IVF/ICSI 治疗中,CLBR 约为 56%,且在 POSEIDON 组之间存在差异,这主要归因于女性年龄的影响。
POSEIDON 组最近提出了一种新的低预后女性在 IVF/ICSI 治疗中的分层方法,旨在为临床试验定义更同质的人群,并刺激针对患者的治疗方法。这些新标准结合了定性和定量参数,将低预后女性分为四个组,假设具有相似的生物学特征。
研究设计、规模、持续时间:本研究分析了一项荷兰多中心观察性队列研究的数据,该研究纳入了 551 名年龄<44 岁的低预后女性,她们于 2011 年至 2014 年间接受 IVF/ICSI 治疗,在第一个治疗周期中接受 150IU/天的固定 FSH 剂量。
参与者/材料、地点、方法:根据年龄(<35 岁或>35 岁)、抗苗勒管激素 (AMH) 水平(>0.96ng/ml 或<0.96ng/ml)和首次标准刺激的卵巢反应(较差或欠佳),将低预后女性分为 POSEIDON 组之一。主要结局是在 18 个月的治疗内,多次完整 IVF/ICSI 周期(包括所有随后的新鲜和冷冻胚胎移植)的累积妊娠率。使用乐观和保守的分析方法获得累积发生率曲线。
低预后女性在 18 个月的 IVF/ICSI 治疗中,CLBR 平均约为 56%。年轻的意外较差(n=38)和欠佳(n=179)反应者的 CLBR 分别约为 65%和 68%,年轻的预期较差反应者(n=65)的 CLBR 约为 59%。年龄较大的意外较差(n=41)和欠佳反应者(n=102)的 CLBR 分别约为 42%和 54%,年龄较大的预期较差反应者(n=126)的 CLBR 约为 39%。相比之下,年轻(n=164)和年龄较大(n=78)卵巢储备充足的正常反应者在 18 个月的治疗中,CLBR 分别约为 72%和 58%。在 POSEIDON 组之间,新鲜治疗周期的数量没有明显差异,平均每个女性在 18 个月的随访中进行两次新鲜周期。
局限性、谨慎的原因:一些(亚)组中的例数较少降低了估计值的准确性。然而,我们的研究结果为 POSEIDON 组中低预后女性的 CLBR 提供了首次相关证据。允许在周期之间进行小剂量的 FSH 调整,从而导致治疗差异。然而,这与当前的日常实践一致,并增加了我们研究结果的普遍性。
POSEIDON 组之间的 CLBR 存在差异。这种异质性主要由女性的年龄决定,反映了卵母细胞质量的重要性。在年轻女性中,尽管定量参数较低,但当前的 IVF/ICSI 治疗在多次完整周期中达到相对较高的 CLBR。在老年女性中,由于定量和定性参数的同时下降,CLBR 在多次完整周期中仍然相对较低。由于目前没有有效的干预措施来抵消这种下降,因此临床管理目前依赖于适当的咨询。
研究资金/利益冲突:本研究没有获得外部资金。J.A.L. 得到了研究奖学金和 Merck BV 的个人资助。S.C.O.、T.C.v.T. 和 H.L.T. 收到了 Merck BV 的个人资助。C.B.L. 从 Merck、Ferring 和 Guerbet 获得了研究赠款。K.F. 从 Merck Serono、Ferring 和 GoodLife 获得了研究赠款。她还因演讲和咨询与 Ferring 和 GoodLife 获得了咨询费。A.H. 声明,格罗宁根大学医学中心妇产科从 Ferring Pharmaceuticals BV,荷兰获得了一项无限制的研究赠款。J.S.E.L. 从 Ferring、Zon-MW 和荷兰心脏协会获得了无限制的研究赠款。他还因与 Danone、Euroscreen、Ferring、AnshLabs 和 Titus Healthcare 的合作获得了差旅费和咨询费。B.W.J.M. 得到了澳大利亚国家健康与医学研究委员会从业者奖学金(GNT1082548)的支持,并报告了 Merck BV 和 Guerbet 的咨询工作。他还从 Merck BV 获得了研究资助,并从 Guerbet 获得了旅行支持。F.J.M.B. 作为 Merck Serono(荷兰)和 Ferring Pharmaceuticals BV(荷兰)的外部顾问委员会成员,获得了金钱补偿,用于 Merck Serono(比利时)和 Roche Diagnostics 的自动 AMH 检测开发以及与 Ansh Labs(美国)的合作研究。所有其他作者均无利益冲突。
不适用。