Suppr超能文献

氟代脱氧葡萄糖正电子发射断层扫描/计算机断层扫描(FDG-PET/CT)阴性肺腺癌患者隐匿性纵隔淋巴结转移:危险因素和组织病理学研究。

Occult mediastinal lymph node metastasis in FDG-PET/CT node-negative lung adenocarcinoma patients: Risk factors and histopathological study.

机构信息

Department of Thoracic Surgery II, Key Laboratory of Carcinogenesis and Translational Research (Ministry of Education), Peking University Cancer Hospital and Institute, Beijing, China.

Department of Nuclear Medicine, Key Laboratory of Carcinogenesis and Translational Research (Ministry of Education), Peking University Cancer Hospital and Institute, Beijing, China.

出版信息

Thorac Cancer. 2019 Jun;10(6):1453-1460. doi: 10.1111/1759-7714.13093. Epub 2019 May 24.

Abstract

BACKGROUND

The aim of this study was to investigate predictive factors of occult mediastinal lymph node metastasis (MLNM) in preoperative F-fluorodeoxy-glucose PET/CT node-negative lung adenocarcinoma patients.

METHODS

We reviewed the clinical data and PET/CT parameters of 360 consecutive pulmonary adenocarcinoma patients who were scheduled to undergo anatomical pulmonary resection and systemic mediastinal node dissection. The nodal metastasis was pathologically defined and all resected tumors were classified according to the 2011 IASLC/ATS/ERS classification. Univariate and multivariate analysis were conducted to evaluate the associations between clinicopathological variables and MLNM.

RESULTS

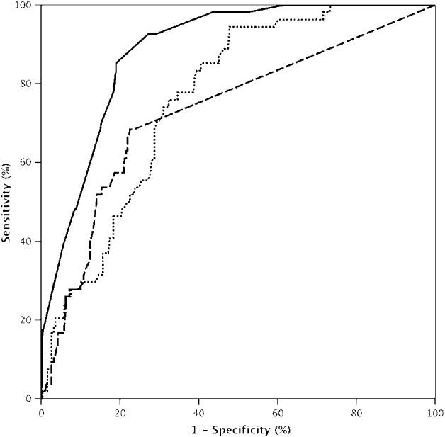
Of all 360 patients, 54 (15.0%) had pathological N2 diseases. The serum CEA level, nodule type, hilar nodal SUVmax, tumor SUVmax, size, location and histologic subtype were associated with MLNM significantly on univariate analysis. On multivariate analysis, CEA ≥ 5.0 ng/mL (P < 0.001), solid nodule (P = 0.012), tumor SUVmax ≥ 3.7 (P < 0.027), hilar nodal SUVmax ≥ 2.0 (P < 0.001) and centrally located tumor (P = 0.035) were independent risk factors for MLNM. The area under the ROC curve (AUC) for tumor SUVmax and hilar nodal SUVmax in predicting MLNM was 0.764 and 0.730, respectively, and the combined use of five factors yielded a higher AUC of 0.885.

CONCLUSION

Increased primary tumor and hilar lymph node SUVmax, solid nodule, centrally located tumor and increased CEA level predicted the increased risk of mediastinal lymph node metastasis. Combined use of these factors improved the diagnostic capacity for predicting N2 disease preoperatively. Invasive mediastinal staging should be considered for patients with these risk factors, even those with a negative mediastinum on PET/CT.

摘要

背景

本研究旨在探讨术前 F-氟代脱氧葡萄糖正电子发射断层扫描/计算机断层扫描(PET/CT)淋巴结阴性肺腺癌患者隐匿性纵隔淋巴结转移(MLNM)的预测因素。

方法

我们回顾了 360 例计划接受解剖性肺切除术和系统性纵隔淋巴结清扫术的肺腺癌患者的临床资料和 PET/CT 参数。淋巴结转移通过病理定义,所有切除的肿瘤均根据 2011 年国际肺癌研究协会/美国胸科学会/欧洲呼吸学会(IASLC/ATS/ERS)分类进行分类。采用单因素和多因素分析评估临床病理变量与 MLNM 的关系。

结果

在所有 360 例患者中,54 例(15.0%)存在病理 N2 疾病。CEA 水平、结节类型、肺门淋巴结 SUVmax、肿瘤 SUVmax、大小、位置和组织学亚型在单因素分析中与 MLNM 显著相关。多因素分析显示,CEA≥5.0ng/ml(P<0.001)、实性结节(P=0.012)、肿瘤 SUVmax≥3.7(P<0.027)、肺门淋巴结 SUVmax≥2.0(P<0.001)和中央型肿瘤(P=0.035)是 MLNM 的独立危险因素。肿瘤 SUVmax 和肺门淋巴结 SUVmax 预测 MLNM 的 ROC 曲线下面积(AUC)分别为 0.764 和 0.730,联合使用这 5 个因素可获得更高的 AUC(0.885)。

结论

原发肿瘤和肺门淋巴结 SUVmax 增加、实性结节、中央型肿瘤和 CEA 水平升高预测纵隔淋巴结转移风险增加。联合使用这些因素可提高术前预测 N2 疾病的诊断能力。对于具有这些危险因素的患者,即使 PET/CT 显示纵隔阴性,也应考虑进行有创性纵隔分期。

https://cdn.ncbi.nlm.nih.gov/pmc/blobs/9ec9/6558456/c02ed2a1b0b2/TCA-10-1453-g001.jpg

文献AI研究员

20分钟写一篇综述,助力文献阅读效率提升50倍。

立即体验

用中文搜PubMed

大模型驱动的PubMed中文搜索引擎

马上搜索

文档翻译

学术文献翻译模型,支持多种主流文档格式。

立即体验