Department of Intensive Care, Cliniques St-Luc, Université catholique de Louvain, Avenue Hippocrate, 10, 1200, Brussels, Belgium.
BMC Gastroenterol. 2019 May 30;19(1):80. doi: 10.1186/s12876-019-0999-8.
The primary endpoint was to investigate the prognostic factors of acute mesenteric ischemia (AMI) in ICU patients.
Retrospective observational, non-interventional, monocentric study of a cohort of 214 ICU patients with a confirmed diagnosis of arterial AMI.
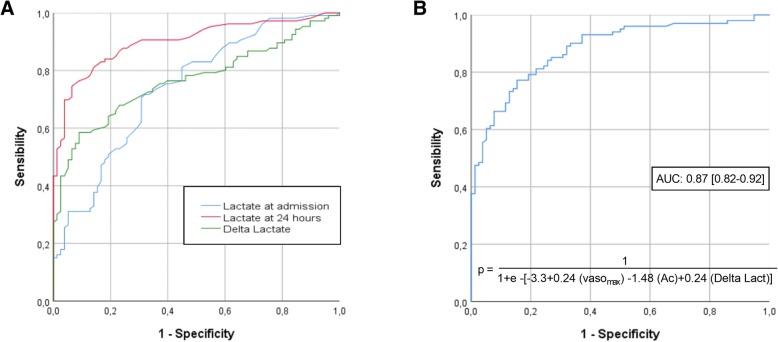
We collected demographics, mortality, hospital stay, prior medical history, comorbidities, reasons for ICU admission, laboratory investigations, diagnostic procedures, therapy, severity scores. The 30-day mortality rate was 71% for the 214 patients with arterial AMI. The incidence of nonocclusive mesenteric ischemia was particularly high. AMI was a secondary diagnosis in 58% of patients. Half of the population was represented by surgical patients who mostly required an urgent procedure. The mortality rate was not different in the subgroup with aortic surgery. Three factors were associated with an increase or decrease in mortality: the maximal dose of vasopressors (VP) administered to the patient (OR = 1.20; 95%CI = 1.08-1.33; p < 0.001), arterial change in lactate values within the first 24 h of admission (OR = 1.24; 95%CI = 1.05-1.48; p = 0.012) and anticoagulation (OR = 0.19; 95%CI = 0.043-0.84; p = 0.029).
Fatalities after AMI were related to a high incidence of multi-organ failure. The monitoring of arterial lactate appeared helpful to identify the patients with a poor prognosis.
主要终点是研究 ICU 患者急性肠系膜缺血(AMI)的预后因素。
回顾性观察、非干预性、单中心研究,纳入了 214 例经动脉 AMI 确诊的 ICU 患者队列。
我们收集了人口统计学、死亡率、住院时间、既往病史、合并症、入住 ICU 的原因、实验室检查、诊断程序、治疗、严重程度评分。214 例动脉性 AMI 患者的 30 天死亡率为 71%。非闭塞性肠系膜缺血的发生率特别高。AMI 是 58%患者的次要诊断。一半的患者为手术患者,其中大多数需要紧急手术。主动脉手术后亚组的死亡率没有差异。有三个因素与死亡率的增加或降低有关:患者接受的最大血管加压素(VP)剂量(OR=1.20;95%CI=1.08-1.33;p<0.001)、入院后 24 小时内动脉乳酸值的变化(OR=1.24;95%CI=1.05-1.48;p=0.012)和抗凝治疗(OR=0.19;95%CI=0.043-0.84;p=0.029)。
AMI 后的死亡率与多器官衰竭的高发率有关。动脉乳酸监测似乎有助于识别预后不良的患者。