Suppr超能文献

纳米Ca(OH)添加对波特兰熟料煅烧效率的影响。

Effect of the Nano-Ca(OH) Addition on the Portland Clinker Cooking Efficiency.

作者信息

Zucchini Azzurra, Comodi Paola, Di Michele Alessandro, Vivani Riccardo, Mancini Lucia, Lanzafame Gabriele, Casagrande Serena, Gentili Silvia, Vetere Francesco, Bartolucci Luca, Polidori Gianluca, Santinelli Fabio, Neri Alessandro

机构信息

Department of Physics and Geology, University of Perugia, Via Pascoli, 06123 Perugia, Italy.

Department of Pharmaceutical Sciences, University of Perugia, Via A. Fabbretti, 06123 Perugia, Italy.

出版信息

Materials (Basel). 2019 Jun 2;12(11):1787. doi: 10.3390/ma12111787.

Abstract

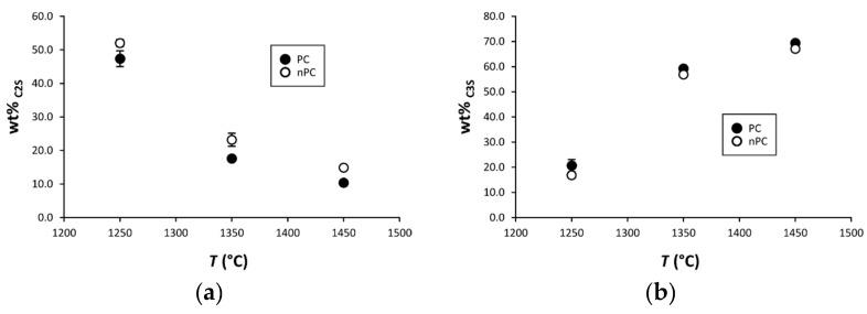
A new technology was tested to improve the cooking efficiency of the raw mixture for Portland clinker production by the use of nano-Ca(OH). A decrease in the free lime concentration after the firing of approximately 35% and 55% in the nano-added clinkers burned at 1350 °C and 1450 °C, respectively, with respect to the standard Portland clinkers was observed. Moreover, in the nano-added clinkers, a slight decrease in alite (C3S), of approximately 2-4 wt%, and increase in belite (C2S), of approximately 5-6 wt%, were observed. Despite these variations, the C2S and C3S abundance lies within the ranges for standard Portland clinkers. The results showed that the nano-addition leads to an increase of the raw mixtures' cooking efficiency. The relatively low energy required for the clinker firing could be used to increase the plant productivity and decrease the CO emissions during clinker burning. The decrease of the work index of the clinkers produced by the use of the nano-Ca(OH) also contributes to the energy saving during clinker grinding. Differences were also found in the pore size distribution among nano-added clinkers and the standard Portland clinker. The smallest porosities with the modal volume lying in the class of 3∙10 mm were found to increase by the use of nano-Ca(OH). However, the pore volumes higher than 2.0∙10 mm decreased in the nano-added clinkers.

摘要

通过使用纳米Ca(OH)₂对一种新技术进行了测试,以提高波特兰熟料生产中原料混合物的煅烧效率。观察到在1350℃和1450℃下煅烧的添加纳米材料的熟料中,相对于标准波特兰熟料,游离石灰浓度分别降低了约35%和55%。此外,在添加纳米材料的熟料中,观察到阿利特(C₃S)略有下降,约为2-4 wt%,而贝利特(C₂S)增加,约为5-6 wt%。尽管有这些变化,但C₂S和C₃S的含量仍在标准波特兰熟料的范围内。结果表明,添加纳米材料可提高原料混合物的煅烧效率。熟料煅烧所需的相对较低能量可用于提高工厂生产率并减少熟料燃烧过程中的CO排放。使用纳米Ca(OH)₂生产的熟料工作指数的降低也有助于熟料粉磨过程中的节能。在添加纳米材料的熟料和标准波特兰熟料之间的孔径分布也发现了差异。发现通过使用纳米Ca(OH)₂,模态体积处于3∙10⁻⁹mm级别的最小孔隙率增加。然而,添加纳米材料的熟料中高于2.0∙10⁻⁹mm的孔体积减少。

https://cdn.ncbi.nlm.nih.gov/pmc/blobs/9493/6600755/e52972a3ceb3/materials-12-01787-g001.jpg

文献AI研究员

20分钟写一篇综述,助力文献阅读效率提升50倍。

立即体验

用中文搜PubMed

大模型驱动的PubMed中文搜索引擎

马上搜索

文档翻译

学术文献翻译模型,支持多种主流文档格式。

立即体验