Suppr超能文献

表面微图案化和水凝胶涂层对聚酰胺复合薄膜胶体二氧化硅污垢的影响。

Influence of Surface Micro-Patterning and Hydrogel Coating on Colloidal Silica Fouling of Polyamide Thin-Film Composite Membranes.

作者信息

ElSherbiny Ibrahim M A, Khalil Ahmed S G, Ulbricht Mathias

机构信息

Lehrstuhl für Technische Chemie II, and Center for Water and Environmental Research (ZWU), University of Duisburg-Essen, 45141 Essen, Germany.

Physics Department, and Center for Environmental and Smart Technology, Faculty of Science, Fayoum University, 63514 Fayoum, Egypt.

出版信息

Membranes (Basel). 2019 Jun 4;9(6):67. doi: 10.3390/membranes9060067.

Abstract

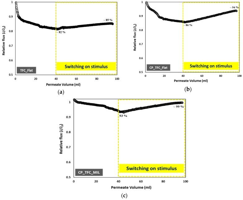
In this work, colloidal fouling by silica particles of different sizes on micro-patterned pristine and poly-(-isopropylacylamide)-coated polyamide (PA) thin-film composite (TFC) membranes was studied. The competing impacts of surface micro-patterning vs. surface chemical modification on enhancing antifouling propensity in unstirred dead-end filtration conditions were systematically explored. Spatially selective deposition of silica microparticles (500 nm), driven by unequal flow distribution, was observed on micro-patterned membranes such that silica particles accumulated preferentially within the surface pattern's valleys, while keeping apexes regions not fouled. This interesting phenomenon may explain the substantially enhanced antifouling propensity of micro-patterned PA TFC membranes. A detailed mechanism for spatially selective deposition of silica microparticles is proposed. Furthermore, micro-imprinted surface patterns were revealed to influence deposition behavior/packing of silica nanoparticles (50 nm) resulting in very limited flux decline that was, almost, recovered under influence of triggering stirring stimulus during a continued silica filtration experiment. The current findings provide more insights into the potency of surface micro-patterning consolidated with hydrogel coating toward new fouling-resistant PA TFC membranes.

摘要

在本研究中,我们考察了不同尺寸的二氧化硅颗粒在微图案化的原始聚酰胺(PA)和聚(N-异丙基丙烯酰胺)涂层的聚酰胺薄膜复合(TFC)膜上的胶体污染情况。系统地探究了在无搅拌死端过滤条件下,表面微图案化与表面化学改性对提高抗污染性能的竞争影响。在微图案化膜上观察到由不均匀流分布驱动的500 nm二氧化硅微粒的空间选择性沉积,使得二氧化硅颗粒优先在表面图案的谷底积累,而顶部区域未被污染。这一有趣现象可能解释了微图案化PA TFC膜显著增强的抗污染性能。提出了二氧化硅微粒空间选择性沉积的详细机制。此外,微印记表面图案被发现会影响50 nm二氧化硅纳米颗粒的沉积行为/堆积,导致通量下降非常有限,并且在持续二氧化硅过滤实验中,在触发搅拌刺激的影响下几乎可以恢复。目前的研究结果为表面微图案化与水凝胶涂层相结合对新型抗污染PA TFC膜的潜力提供了更多见解。

https://cdn.ncbi.nlm.nih.gov/pmc/blobs/ecf5/6630248/09e7b1e51853/membranes-09-00067-g001.jpg

文献AI研究员

20分钟写一篇综述,助力文献阅读效率提升50倍。

立即体验

用中文搜PubMed

大模型驱动的PubMed中文搜索引擎

马上搜索

文档翻译

学术文献翻译模型,支持多种主流文档格式。

立即体验