Suppr超能文献

儿科多发性硬化症的高医疗利用率:一项加拿大基于人群的研究。

High rates of health care utilization in pediatric multiple sclerosis: A Canadian population-based study.

机构信息

Department of Internal Medicine, Max Rady College of Medicine, Rady Faculty of Health Sciences, University of Manitoba, Winnipeg, Manitoba, Canada.

Department of Community Health Sciences, Max Rady College of Medicine, Rady Faculty of Health Sciences, University of Manitoba, Winnipeg, Manitoba, Canada.

出版信息

PLoS One. 2019 Jun 11;14(6):e0218215. doi: 10.1371/journal.pone.0218215. eCollection 2019.

Abstract

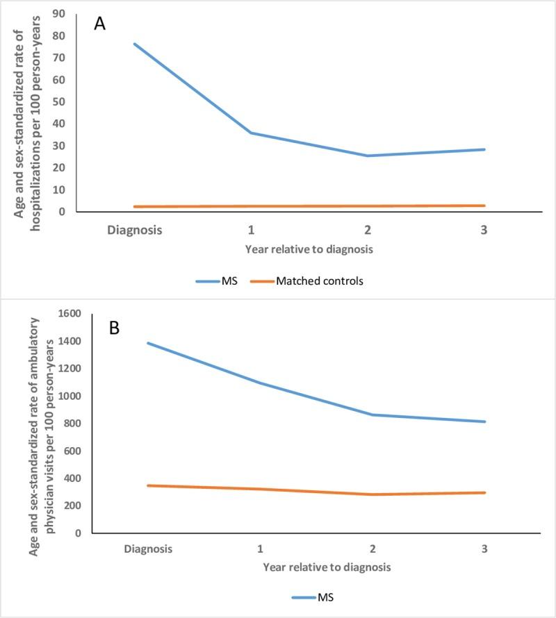
We aimed to compare health care utilization of children with pediatric-onset multiple sclerosis to that of age, sex and geographically-matched children without multiple sclerosis. Using population-based administrative data from Ontario, Canada for the period 2003-2014, we applied a validated case definition to identify persons aged ≤18 years with multiple sclerosis. We identified up to 5 children without multiple sclerosis matched on sex, age, and region of residence. In each cohort, we determined annual rates of any hospitalization and physician services use. Using general linear models we compared utilization rates adjusting for age, sex, region, socioeconomic status and year. Subsequently, we limited the analysis to incident cases of multiple sclerosis and their matches, and compared rates of utilization in the year of multiple sclerosis diagnosis, and the three years thereafter. We identified 659 youth with multiple sclerosis (428 incident cases), and 3,294 matched controls. Two-thirds of both cohorts were female. After adjustment for sociodemographic factors and year, the multiple sclerosis cohort was more likely to be hospitalized than the matched cohort (odds ratio 15.2; 95%CI: 12.0, 19.1), and had higher rates of ambulatory physician visits (rate ratio 4.58; 95%CI: 4.26, 4.92). The odds of hospitalization (odds ratio 40.1; 95%CI: 27.1, 59.5) and physician visits (rate ratio 5.14; 95%CI: 4.63, 5.71) were markedly elevated in the year of MS diagnosis, declining thereafter but remaining elevated versus the matched cohort. Children with multiple sclerosis have substantially elevated rates of health care utilization as compared to matched children without multiple sclerosis, over calendar time and throughout the early disease course.

摘要

我们旨在比较儿科发病多发性硬化症患儿与年龄、性别和地理位置匹配的无多发性硬化症儿童的医疗保健利用情况。使用来自加拿大安大略省的基于人群的行政数据,我们应用了经过验证的病例定义来识别年龄≤18 岁的多发性硬化症患者。我们确定了多达 5 名无多发性硬化症的儿童,其性别、年龄和居住地区相匹配。在每个队列中,我们确定了任何住院和医生服务的年度使用率。使用广义线性模型,我们在调整年龄、性别、地区、社会经济地位和年份后比较了使用率。随后,我们将分析限制在多发性硬化症的发病病例及其匹配病例上,并比较多发性硬化症诊断当年及其后三年的利用率。我们共确定了 659 名患有多发性硬化症的青少年(428 例发病病例)和 3294 名匹配的对照者。两个队列中有三分之二的人是女性。在调整了社会人口因素和年份后,多发性硬化症组比匹配组更有可能住院(比值比 15.2;95%CI:12.0,19.1),且门诊医生就诊率更高(就诊率比 4.58;95%CI:4.26,4.92)。多发性硬化症诊断当年住院的几率(比值比 40.1;95%CI:27.1,59.5)和就诊的几率(就诊率比 5.14;95%CI:4.63,5.71)明显升高,此后逐渐下降,但与匹配组相比仍偏高。与无多发性硬化症的匹配儿童相比,多发性硬化症儿童的医疗保健利用率在日历时间和整个早期疾病过程中都显著升高。

https://cdn.ncbi.nlm.nih.gov/pmc/blobs/cde0/6559708/7a6c3ba01c14/pone.0218215.g001.jpg

文献AI研究员

20分钟写一篇综述,助力文献阅读效率提升50倍。

立即体验

用中文搜PubMed

大模型驱动的PubMed中文搜索引擎

马上搜索

文档翻译

学术文献翻译模型,支持多种主流文档格式。

立即体验