Suppr超能文献

循环血管生成细胞转录组中巨噬细胞基因型和关键生物学途径的鉴定

Identification of Macrophage Genotype and Key Biological Pathways in Circulating Angiogenic Cell Transcriptome.

作者信息

Everaert Bert R, Van Laere Steven J, Lembrechts Robrecht, Hoymans Vicky Y, Timmermans Jean-Pierre, Vrints Christiaan J

机构信息

Laboratory of Cell Biology and Histology, University of Antwerp, Antwerp, Belgium.

Laboratory of Cellular and Molecular Cardiology, Antwerp University Hospital, Edegem, Belgium.

出版信息

Stem Cells Int. 2019 May 2;2019:9545261. doi: 10.1155/2019/9545261. eCollection 2019.

Abstract

BACKGROUND

Circulating angiogenic cells (CAC) have been identified as important regulators of vascular biology. However, there is still considerable debate about the genotype and function of CAC.

METHODS AND RESULTS

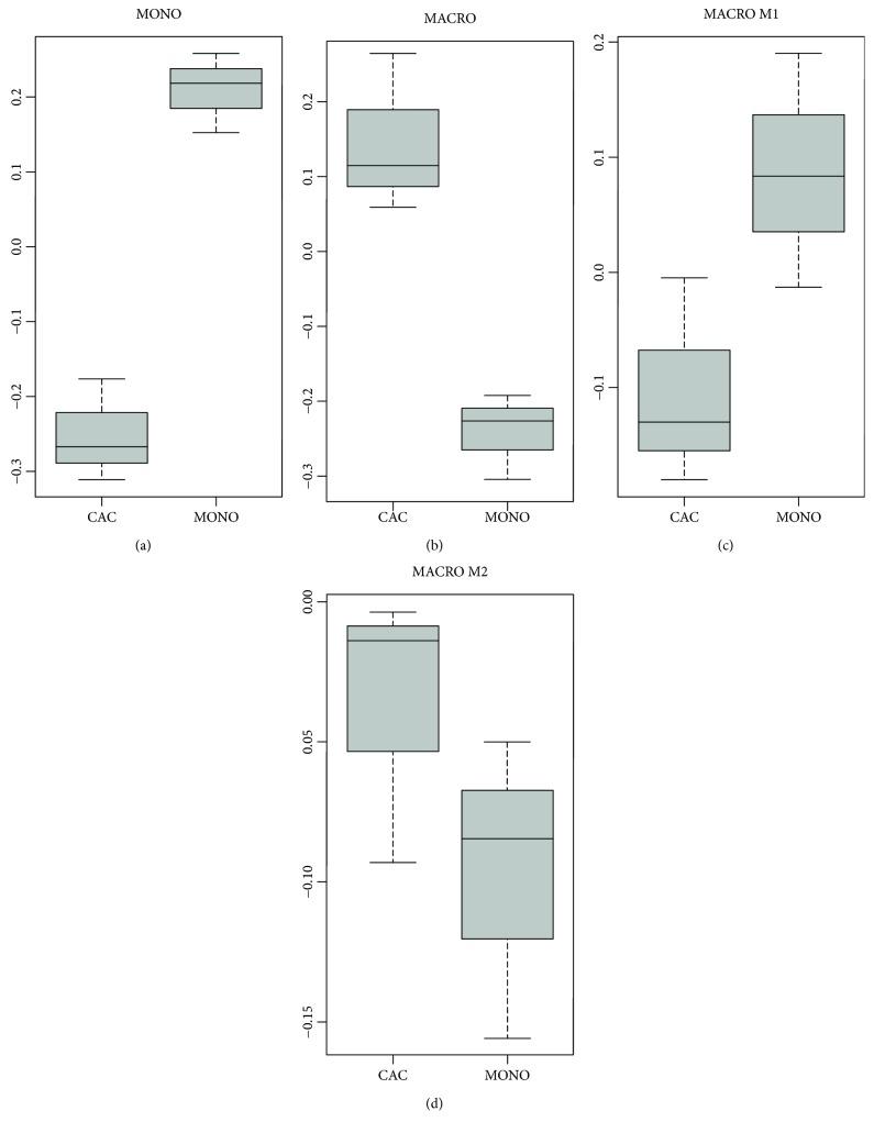
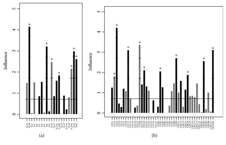
Data from publicly available gene expression data sets were used to analyse the transcriptome of in vitro cultured CAC (CAC). Genes and pathways of interest were further evaluated using qPCR comparing CAC versus CD14 monocytic cells. The CAC transcriptome strongly related to tissue macrophages, and more specifically to regulatory M2c macrophages. The cytokine expression profile of CAC was predominantly immune modulatory and resembled the cytokine expression of tumor-associated macrophages (TAM). Pathway analysis revealed previously unrecognized biological processes in CAC, such as riboflavin metabolism and liver X receptor (LXR)/retinoid X receptor (RXR) and farnesoid X receptor (FXR)/retinoid X receptor (RXR) pathways. Analysis of endothelial-specific genes did not show evidence for endothelial transdifferentiation.

CONCLUSIONS

CAC are genotypically similar to regulatory M2c macrophages and lack signs of endothelial differentiation.

摘要

背景

循环血管生成细胞(CAC)已被确定为血管生物学的重要调节因子。然而,关于CAC的基因型和功能仍存在相当大的争议。

方法与结果

使用公开可用的基因表达数据集的数据来分析体外培养的CAC(循环血管生成细胞)的转录组。使用qPCR比较CAC与CD14单核细胞,进一步评估感兴趣的基因和通路。CAC转录组与组织巨噬细胞密切相关,更具体地说,与调节性M2c巨噬细胞相关。CAC的细胞因子表达谱主要是免疫调节性的,类似于肿瘤相关巨噬细胞(TAM)的细胞因子表达。通路分析揭示了CAC中以前未被认识的生物学过程,如核黄素代谢以及肝X受体(LXR)/视黄醇X受体(RXR)和法尼醇X受体(FXR)/视黄醇X受体(RXR)通路。对内皮特异性基因的分析未显示内皮转分化的证据。

结论

CAC在基因型上与调节性M2c巨噬细胞相似,且缺乏内皮分化的迹象。

https://cdn.ncbi.nlm.nih.gov/pmc/blobs/9a92/6525806/60e4675b1302/SCI2019-9545261.001.jpg

文献AI研究员

20分钟写一篇综述,助力文献阅读效率提升50倍。

立即体验

用中文搜PubMed

大模型驱动的PubMed中文搜索引擎

马上搜索

文档翻译

学术文献翻译模型,支持多种主流文档格式。

立即体验