Suppr超能文献

间苯三酚与硫酸镁治疗先兆流产的疗效及安全性比较:一项随机对照试验的Meta分析

Comparison of the efficacy and safety of phloroglucinol and magnesium sulfate in the treatment of threatened abortion: A meta-analysis of randomized controlled trials.

作者信息

Yuan Shaofei, Gao Fengli, Xin Zhong, Guo Haijun, Shi Suqin, Shi Lei, Yang Xia, Guan Jingzhi

机构信息

Department of Pharmacy, The Second Affiliated Hospital of Baotou Medical College, Baotou.

Department of Pharmacy, Huhhot First Hospital, Yuquan District, Huhhot, Inner Mongolia.

出版信息

Medicine (Baltimore). 2019 Jun;98(24):e16026. doi: 10.1097/MD.0000000000016026.

Abstract

BACKGROUND

To compare the clinical efficacy and safety of phloroglucinol (PHL) and magnesium sulfate (MS) in the treatment of threatened abortion through systematic review.

METHODS

Foreign databases, such as the Cochrane Library, PubMed and EMBASE, and Chinese databases, including the China Biology Medicine disc (SinoMed), China National Knowledge Infrastructure (CNKI), Chongqing VIP (VIP) and WanFang Data, were searched. Published randomized controlled trials (RCTs) documents obtained from these databases were included if they were associated with the research objective. The search timeframe was from the beginning of the establishment of each database to May 2018. Document selection, data abstraction and document quality evaluation were independently performed by 2 investigators. A combined analysis of the data was performed for those documents that fulfilled the study requirements; Rev Man 5.3 and Stata 12.0 software were used to compare and analyze the 2 drugs in terms of the total effective rate (TER), rate of adverse events, time required to relieve uterine contractions, onset time, time of complete relief of uterine contraction symptoms, medication duration and length of hospital stay.

RESULTS

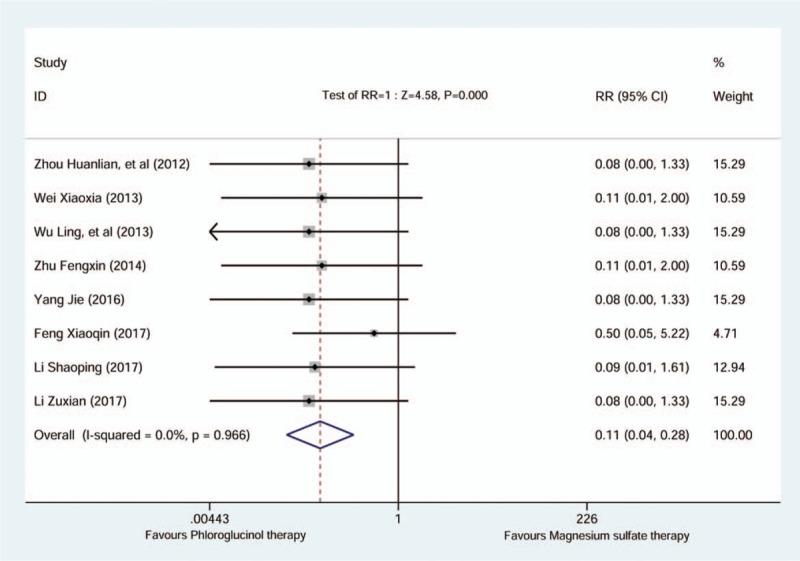
A total of 21 RCT trials were included in the present research, according to the inclusion criteria. However, the quality of the included studies was low. The meta-analysis suggested that the TER and drug onset time of PHL were higher than those for MS, while the rate of adverse events, the time required to relieve uterine contractions, time to complete relief of uterine contraction symptoms, drug continuous treatment time and length of hospital stay were shorter than those for MS.

CONCLUSION

The clinical efficacy of PHL is better than that of MS, and PHL obviously results in fewer adverse reactions than MS. However, due to poor quality of evidence, high quality, multi-center RCTs with large samples are required for further verification.

摘要

背景

通过系统评价比较间苯三酚(PHL)与硫酸镁(MS)治疗先兆流产的临床疗效及安全性。

方法

检索Cochrane图书馆、PubMed、EMBASE等外文数据库以及中国生物医学文献数据库(SinoMed)、中国知网(CNKI)、维普资讯(VIP)、万方数据等中文数据库。纳入与研究目的相关的已发表的随机对照试验(RCT)文献。检索时间范围为各数据库建库至2018年5月。由2名研究者独立进行文献筛选、数据提取及文献质量评价。对符合研究要求的文献进行数据合并分析;采用Rev Man 5.3和Stata 12.0软件比较分析2种药物的总有效率(TER)、不良事件发生率、缓解宫缩所需时间、起效时间、宫缩症状完全缓解时间、用药疗程及住院时间。

结果

本研究共纳入21项RCT试验,符合纳入标准。但纳入研究的质量较低。Meta分析提示,PHL的TER及药物起效时间高于MS,而不良事件发生率、缓解宫缩所需时间、宫缩症状完全缓解时间、药物持续治疗时间及住院时间均短于MS。

结论

PHL的临床疗效优于MS,且PHL所致不良反应明显少于MS。但由于证据质量较差,需开展高质量、大样本的多中心RCT进一步验证。

https://cdn.ncbi.nlm.nih.gov/pmc/blobs/6969/6587576/86bd9fffd80e/medi-98-e16026-g001.jpg

文献AI研究员

20分钟写一篇综述,助力文献阅读效率提升50倍。

立即体验

用中文搜PubMed

大模型驱动的PubMed中文搜索引擎

马上搜索

文档翻译

学术文献翻译模型,支持多种主流文档格式。

立即体验