Suppr超能文献

用于甲醇合成的铝和镓共改性还原Cu/ZnO催化剂前驱体的热重分析(TGA)数据及扫描电子显微镜(SEM)数据。

Data on TGA of precursors and SEM of reduced Cu/ZnO catalysts co-modified with aluminium and gallium for methanol synthesis.

作者信息

Guil-López R, Mota N, Llorente J, Millán E, Pawelec B, García R, Navarro R M, Fierro J L G

机构信息

Instituto de Catálisis y Petroleoquímica (CSIC), C/ Marie Curie 2, Cantoblanco 28049, Madrid, Spain.

出版信息

Data Brief. 2019 May 16;24:104010. doi: 10.1016/j.dib.2019.104010. eCollection 2019 Jun.

Abstract

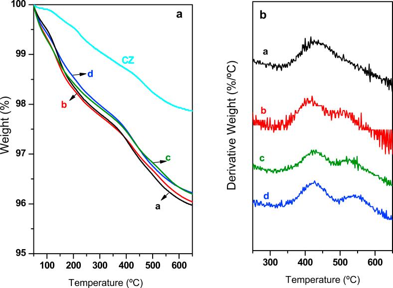
The modification of Cu-Zn catalysts with low amount of Al and Ga (Al+Ga = 3%) was investigated and data corresponding to its influence on the decomposition of the calcined precursors and on the nanomorphology and surface concentration of reduced catalysts were presented in this contribution. The data presented here are supplementary material of the catalysts presented in the [1]

摘要

研究了用少量铝和镓(铝+镓 = 3%)对铜锌催化剂进行改性,并在本论文中给出了其对煅烧前驱体分解以及对还原后催化剂的纳米形态和表面浓度影响的数据。这里给出的数据是文献[1]中所介绍催化剂的补充材料。

https://cdn.ncbi.nlm.nih.gov/pmc/blobs/c856/6538956/8f8d3716011d/gr1.jpg

文献AI研究员

20分钟写一篇综述,助力文献阅读效率提升50倍。

立即体验

用中文搜PubMed

大模型驱动的PubMed中文搜索引擎

马上搜索

文档翻译

学术文献翻译模型,支持多种主流文档格式。

立即体验