Suppr超能文献

吗啉环骨架:药物化学的分子核心?

Cinnoline Scaffold-A Molecular Heart of Medicinal Chemistry?

机构信息

Department of Hospital Pharmacy, Faculty of Pharmacy, Medical University of Lodz, 1 Muszynskiego Street, 90-151 Lodz, Poland.

Department of Applied Pharmacy, Faculty of Pharmacy, Medical University of Lodz, 1 Muszynskiego Street, 90-151 Lodz, Poland.

出版信息

Molecules. 2019 Jun 18;24(12):2271. doi: 10.3390/molecules24122271.

Abstract

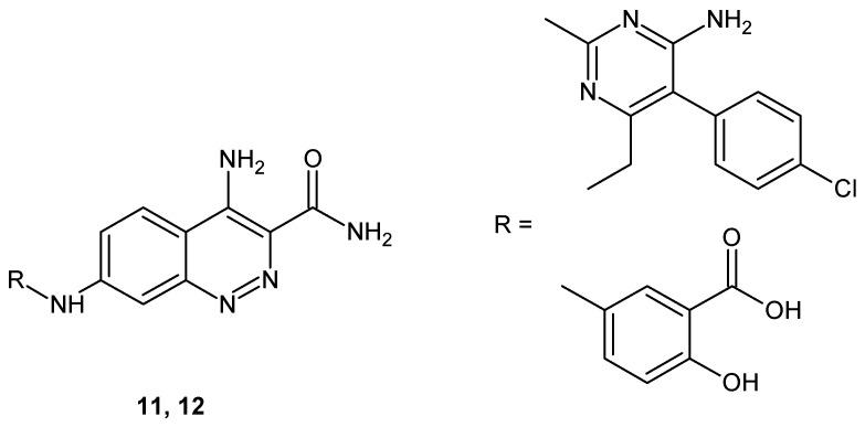
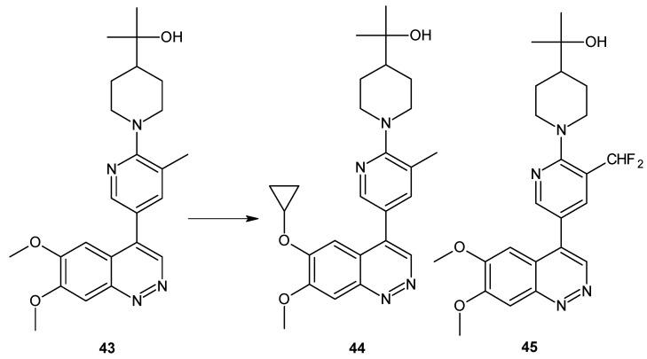
The cinnoline nucleus is a very important bicyclic heterocycle that is used as the structural subunit of many compounds with interesting pharmaceutical properties. Cinnoline derivatives exhibit broad spectrum of pharmacological activities such as antibacterial, antifungal, antimalarial, anti-inflammatory, analgesic, anxiolytic and antitumor activities. Some of them are under evaluation in clinical trials. In the present review, we have compiled studies focused on the biological properties of cinnoline derivatives conducted by many research groups worldwide between 2005 and 2019. Comprehensive and target oriented information clearly indicate that the development of cinnoline based molecules constitute a significant contribution to the identification of lead compounds with optimized pharmacodynamic and pharmacokinetic properties.

摘要

噌啉核是一种非常重要的双环杂环,可用作许多具有有趣药物性质的化合物的结构单元。噌啉衍生物具有广泛的药理活性,如抗菌、抗真菌、抗疟疾、抗炎、镇痛、抗焦虑和抗肿瘤活性。其中一些正在临床试验中进行评估。在本综述中,我们汇集了 2005 年至 2019 年间,世界各地许多研究小组针对噌啉衍生物的生物学特性开展的研究。全面和有针对性的信息清楚地表明,基于噌啉的分子的开发是对具有优化药效学和药代动力学特性的先导化合物的鉴定的重要贡献。

https://cdn.ncbi.nlm.nih.gov/pmc/blobs/8f42/6631947/33706f27d63f/molecules-24-02271-g001.jpg

文献AI研究员

20分钟写一篇综述,助力文献阅读效率提升50倍。

立即体验

用中文搜PubMed

大模型驱动的PubMed中文搜索引擎

马上搜索

文档翻译

学术文献翻译模型,支持多种主流文档格式。

立即体验