Suppr超能文献

急性跟腱断裂非手术动态治疗4.5年后的步态功能和姿势控制

Gait Function and Postural Control 4.5 Years After Nonoperative Dynamic Treatment of Acute Achilles Tendon Ruptures.

作者信息

Speedtsberg Merete B, Kastoft Rasmus, Barfod Kristoffer W, Penny Jeanette Ø, Bencke Jesper

机构信息

Human Movement Analysis Laboratory, Department of Orthopaedic Surgery, Copenhagen University Hospital Hvidovre, Hvidovre, Denmark.

Clinical Orthopaedic Research Hvidovre, Department of Orthopaedic Surgery, Copenhagen University Hospital Hvidovre, Hvidovre, Denmark.

出版信息

Orthop J Sports Med. 2019 Jun 27;7(6):2325967119854324. doi: 10.1177/2325967119854324. eCollection 2019 Jun.

Abstract

BACKGROUND

An Achilles tendon rupture (ATR) is known to cause persistent biomechanical deficits such as decreased muscle strength in end-range plantar flexion and reduced tendon stiffness.

PURPOSE/HYPOTHESIS: This study aimed to examine whether sustained asymmetries were present in dynamic stiffness and kinematic and kinetic variables in gait and single-leg balance at 4.5-year follow-up in conservatively treated patients recovering from an ATR. We hypothesized that patients who had recovered from ATRs exhibit a midterm increase in peak ankle dorsiflexion, a decrease in concentric work, and decreased dynamic stiffness during the stance phase of gait, along with increased single-leg standing sway in the injured leg compared with the uninjured leg.

STUDY DESIGN

Case series; Level of evidence, 4.

METHODS

This study was a cross-sectional medium-term follow-up of conservatively treated patients recovering from ATRs. A total of 34 patients who underwent nonoperative treatment were included for testing 4.5 years after a rupture. The Achilles tendon length was measured using ultrasound. Standard instrumented 3-dimensional (3D) gait analysis and single-leg standing balance were performed using 3D motion capture. Kinematic and kinetic ankle parameters were calculated during gait, and quasi-stiffness was calculated as the moment change per the change in the degree of dorsiflexion during the second (ankle) rocker of the gait cycle. Center of pressure displacement (sway length), along with rambling and trembling, was calculated for the single-leg balance task.

RESULTS

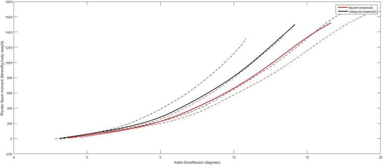
Peak dorsiflexion in stance was 13.4% larger in the injured leg than the uninjured leg (16.9° ± 3.1° vs 14.9° ± 0.4°, respectively; ≤ .001). Peak dorsiflexion was not associated with the normalized Achilles tendon length (B = 0.052; = .775). Total positive work in the plantar flexors was 23.9% greater in the uninjured leg than the injured leg (4.71 ± 1.60 vs 3.80 ± 0.79 J/kg, respectively; = .001). Quasi-stiffness was greater in the uninjured leg than the injured leg during the initial (0.053 ± 0.022 vs 0.046 ± 0.020 N·m/kg/deg, respectively; = .009) and late (0.162 ± 0.110 vs 0.139 ± 0.041 N·m/kg/deg, respectively; = .005) phases of eccentric loading. No difference was found in sway length during single-leg stance between the injured and uninjured legs (1.45 ± 0.4 vs 1.44 ± 0.4 m, respectively; = .955).

CONCLUSION

Patients treated conservatively have a small increase in peak dorsiflexion, decreased total concentric plantar flexor power, and decreased quasi-stiffness in initial and end-range dorsiflexion in the injured leg. These deviations could not be directly associated with the measured tendon elongation.

REGISTRATION

NCT02760784 (ClinicalTrials.gov).

摘要

背景

已知跟腱断裂(ATR)会导致持续的生物力学缺陷,如终末位跖屈时肌肉力量下降以及肌腱刚度降低。

目的/假设:本研究旨在调查在保守治疗后从跟腱断裂恢复的患者中,随访4.5年时步态和单腿平衡中的动态刚度、运动学和动力学变量是否存在持续的不对称性。我们假设,与未受伤的腿相比,从跟腱断裂恢复的患者在步态站立期会出现踝关节背屈峰值中期增加、向心功降低、动态刚度降低,以及受伤腿单腿站立时摆动增加。

研究设计

病例系列;证据等级,4级。

方法

本研究是对保守治疗后从跟腱断裂恢复的患者进行的横断面中期随访。共有34例接受非手术治疗的患者在断裂后4.5年纳入测试。使用超声测量跟腱长度。使用三维(3D)运动捕捉进行标准的仪器化3D步态分析和单腿站立平衡测试。在步态期间计算运动学和动力学踝关节参数,并且将准刚度计算为步态周期第二个(踝关节)摆动期背屈角度变化时的力矩变化。计算单腿平衡任务的压力中心位移(摆动长度)以及漫步和颤抖情况。

结果

站立期受伤腿的背屈峰值比未受伤腿大13.4%(分别为16.9°±3.1°和14.9°±0.4°;P≤.001)。背屈峰值与标准化跟腱长度无关(B = 0.052;P =.775)。未受伤腿跖屈肌的总正向功比受伤腿大23.9%(分别为4.71±1.60和3.80±0.79 J/kg;P =.001)。在离心加载的初始阶段(分别为0.053±0.022和0.046±0.020 N·m/kg/deg;P =.009)和后期阶段(分别为0.162±(此处原文似乎缺失部分数据)0.110和0.139±0.041 N·m/kg/deg;P =.005),未受伤腿的准刚度大于受伤腿。受伤腿和未受伤腿在单腿站立期间的摆动长度没有差异(分别为1.45±0.4和1.44±0.4 m;P =.955)。

结论

保守治疗的患者受伤腿背屈峰值有小幅增加,跖屈肌总向心功率降低,并且在初始和终末位背屈时准刚度降低。这些偏差与测量的肌腱伸长没有直接关联。

注册信息

NCT02760784(ClinicalTrials.gov)

https://cdn.ncbi.nlm.nih.gov/pmc/blobs/7428/6598330/f00b4a27f195/10.1177_2325967119854324-fig1.jpg

文献AI研究员

20分钟写一篇综述,助力文献阅读效率提升50倍。

立即体验

用中文搜PubMed

大模型驱动的PubMed中文搜索引擎

马上搜索

文档翻译

学术文献翻译模型,支持多种主流文档格式。

立即体验