Suppr超能文献

冷榨和常规离心榨汁对新鲜果汁品质属性的影响:冷榨果汁是否具有更高的营养品质和抗氧化能力?

Effect of cold-pressed and normal centrifugal juicing on quality attributes of fresh juices: do cold-pressed juices harbor a superior nutritional quality and antioxidant capacity?

作者信息

Khaksar Gholamreza, Assatarakul Kitipong, Sirikantaramas Supaart

机构信息

Molecular Crop Research Unit, Department of Biochemistry, Faculty of Science, Chulalongkorn University, Bangkok, 10330, Thailand.

Special Task Force of Activating Research (STAR) in Novel Technology for Food Packaging and Control of Shelf Life, Department of Food Technology, Faculty of Science, Chulalongkorn University, Bangkok, 10330, Thailand.

出版信息

Heliyon. 2019 Jun 18;5(6):e01917. doi: 10.1016/j.heliyon.2019.e01917. eCollection 2019 Jun.

Abstract

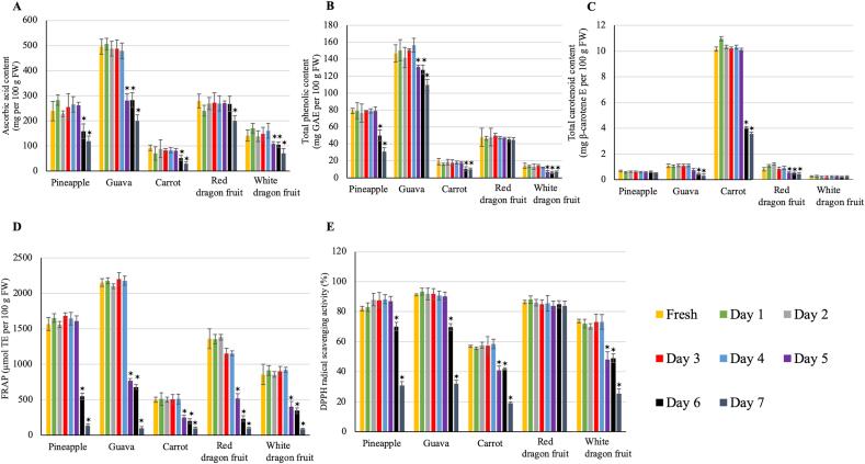
Cold-pressed juices are claimed to contain higher levels of antioxidants and bioactive compounds compared to normally centrifuged ones. Herein, we evaluated the antioxidant capacity and the bioactive compound contents of some freshly prepared fruit juices, extracted by a cold-pressed juicer and compared them to those prepared by a normal centrifugal juicer. We observed no significant differences between cold-pressed and normal centrifugal juices in terms of the contents of bioactive compounds (ascorbic acid, total phenolic, and total carotenoid) and antioxidant capacity (ferric ion reducing antioxidant power (FRAP) and 1,1-diphenyl-2-picrylhydrazyl (DPPH) radical scavenging activity). Storage at room temperature (∼28 °C) adversely affected the ascorbic acid, total phenolics, total carotenoids, FRAP and DPPH values of the cold-pressed juices within 48 h. However, under simulated home-refrigerated storage conditions, the antioxidant capacity, contents of bioactive compounds and physicochemical properties of the cold-pressed juices remained unchanged till day 5 post-storage. However, at day 6, most of the parameters exhibited a decreasing trend and reached their lowest values at day 7. Principal component analysis confirmed significant changes in the quality of juices at day 7 of storage related to the first two principal components (ascorbic acid and FRAP). Our results strongly question the claim regarding the superior quality of cold-pressed juices. Moreover, our findings provided compelling evidence regarding the possible adverse effects of long storage under home-refrigerated conditions on the quality of cold-pressed juices.

摘要

与常规离心法制备的果汁相比,冷压果汁据称含有更高水平的抗氧化剂和生物活性化合物。在此,我们评估了一些新鲜制备的果汁的抗氧化能力和生物活性化合物含量,这些果汁由冷压榨汁机提取,并与常规离心榨汁机制备的果汁进行了比较。我们观察到,在生物活性化合物(抗坏血酸、总酚和总类胡萝卜素)含量和抗氧化能力(铁离子还原抗氧化能力(FRAP)和1,1-二苯基-2-苦基肼(DPPH)自由基清除活性)方面,冷压果汁和常规离心果汁之间没有显著差异。室温(约28°C)储存会在48小时内对冷压果汁的抗坏血酸、总酚、总类胡萝卜素、FRAP和DPPH值产生不利影响。然而,在模拟家庭冷藏储存条件下,冷压果汁的抗氧化能力、生物活性化合物含量和理化性质在储存后第5天之前保持不变。然而,在第6天,大多数参数呈现下降趋势,并在第7天达到最低值。主成分分析证实,储存第7天时果汁质量与前两个主成分(抗坏血酸和FRAP)相关的显著变化。我们的结果强烈质疑了冷压果汁质量更优的说法。此外,我们的研究结果提供了令人信服的证据,证明家庭冷藏条件下长时间储存可能会对冷压果汁的质量产生不利影响。

https://cdn.ncbi.nlm.nih.gov/pmc/blobs/a400/6587058/9a415ee6d134/gr1.jpg

文献AI研究员

20分钟写一篇综述,助力文献阅读效率提升50倍。

立即体验

用中文搜PubMed

大模型驱动的PubMed中文搜索引擎

马上搜索

文档翻译

学术文献翻译模型,支持多种主流文档格式。

立即体验