Suppr超能文献

内镜超声引导下Ki67在无功能性胰腺神经内分泌肿瘤管理中的作用

The Role of Endoscopic Ultrasound-Guided Ki67 in the Management of Non-Functioning Pancreatic Neuroendocrine Tumors.

作者信息

Cui YongYan, Khanna Lauren G, Saqi Anjali, Crapanzano John P, Mitchell James M, Sethi Amrita, Gonda Tamas A, Kluger Michael D, Schrope Beth A, Allendorf John, Chabot John A, Poneros John M

机构信息

Department of Medicine, New York Presbyterian Columbia University Irving Medical Center, New York, NY, USA.

Division of Gastroenterology and Hepatology, Department of Medicine, New York University, New York, NY, USA.

出版信息

Clin Endosc. 2020 Mar;53(2):213-220. doi: 10.5946/ce.2019.068. Epub 2019 Jul 15.

Abstract

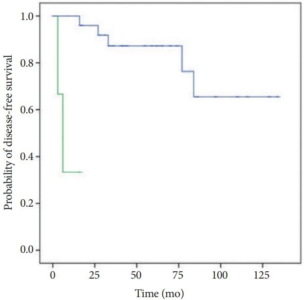
BACKGROUND/AIMS: The management of small, incidentally discovered nonfunctioning pancreatic neuroendocrine tumors (NF-PNETs) has been a matter of debate. Endoscopic ultrasound with fine-needle aspiration (EUS-FNA) is a tool used to identify and risk-stratify PNETs. This study investigates the concordance rate of Ki67 grading between EUS-FNA and surgical pathology specimens in NFPNETs and whether certain NF-PNET characteristics are associated with disease recurrence and disease-related death.

METHODS

We retrospectively reviewed the clinical history, imaging, endoscopic findings, and pathology records of 37 cases of NFPNETs that underwent pre-operative EUS-FNA and surgical resection at a single academic medical center.

RESULTS

There was 73% concordance between Ki67 obtained from EUS-FNA cytology and surgical pathology specimens; concordance was the highest for low- and high-grade NF-PNETs. High-grade Ki67 NF-PNETs based on cytology (p=0.028) and histology (p=0.028) were associated with disease recurrence and disease-related death. Additionally, tumors with high-grade mitotic rate (p=0.005), tumor size >22.5 mm (p=0.104), and lymphovascular invasion (p=0.103) were more likely to have poor prognosis.

CONCLUSION

NF-PNETs with high-grade Ki67 on EUS-FNA have poor prognosis despite surgical resection. NF-PNETs with intermediate-grade Ki67 on EUS-FNA should be strongly considered for surgical resection. NF-PNETs with low-grade Ki67 on EUSFNA can be monitored without surgical intervention, up to tumor size 20 mm.

摘要

背景/目的:偶然发现的小的无功能胰腺神经内分泌肿瘤(NF-PNETs)的管理一直存在争议。超声内镜引导下细针穿刺活检(EUS-FNA)是一种用于识别PNETs并进行风险分层的工具。本研究调查了NFPNETs中EUS-FNA与手术病理标本之间Ki67分级的一致性率,以及某些NF-PNET特征是否与疾病复发和疾病相关死亡有关。

方法

我们回顾性分析了在单一学术医疗中心接受术前EUS-FNA和手术切除的37例NFPNETs患者的临床病史、影像学、内镜检查结果和病理记录。

结果

EUS-FNA细胞学检查与手术病理标本的Ki67一致性率为73%;低级别和高级别NF-PNETs的一致性最高。基于细胞学(p=0.028)和组织学(p=0.028)的高级别Ki67 NF-PNETs与疾病复发和疾病相关死亡有关。此外,有高级别有丝分裂率(p=0.005)、肿瘤大小>22.5 mm(p=0.104)和脉管侵犯(p=0.103)的肿瘤预后更差。

结论

EUS-FNA显示高级别Ki67的NF-PNETs尽管接受了手术切除,预后仍较差。EUS-FNA显示中级别Ki67的NF-PNETs应强烈考虑手术切除。EUS-FNA显示低级别Ki67的NF-PNETs在肿瘤大小达20 mm之前可在不进行手术干预的情况下进行监测。

https://cdn.ncbi.nlm.nih.gov/pmc/blobs/0811/7137561/22cd4d26c3ab/ce-2019-068f1.jpg

文献AI研究员

20分钟写一篇综述,助力文献阅读效率提升50倍。

立即体验

用中文搜PubMed

大模型驱动的PubMed中文搜索引擎

马上搜索

文档翻译

学术文献翻译模型,支持多种主流文档格式。

立即体验