Suppr超能文献

使用不同设计的阴茎压迫夹时组织对施加负荷的反应。

Tissue response to applied loading using different designs of penile compression clamps.

作者信息

Lemmens Joseph Mh, Broadbridge Jackie, Macaulay Margaret, Rees Rowland W, Archer Matt, Drake Marcus J, Moore Katherine N, Bader Dan L, Fader Mandy

机构信息

University of Southampton, School of Health Sciences, Southampton SO17 1BJ, UK.

Department of Urology, University Hospital Southampton NHS Foundation Trust, Southampton, SO16 6YD, UK.

出版信息

Med Devices (Auckl). 2019 Jun 27;12:235-243. doi: 10.2147/MDER.S188888. eCollection 2019.

Abstract

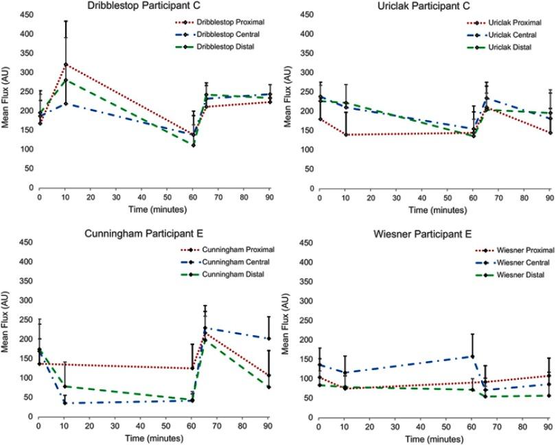
Penile compression devices (PCD) or clamps are applied to compress the urethra and prevent urinary incontinence (UI). PCDs are more secure and less likely to leak than pads, allowing men the opportunity to participate in short-term, vigorous activities. However, they are uncomfortable, can cause pressure ulcers (PU) and affect penile blood flow. No objective assessment of tissue health has been undertaken to assess and compare different PCD designs and to provide guidance on safe use. This study was designed to evaluate existing PCDs in terms of their physiological response and potential for pressure-induced injury. Six men with post-prostatectomy UI tested four selected PCDs at effective pressures, in a random order, in a controlled laboratory setting. Using objective methods for assessing skin injury, PCDs were measured in situ for their effects on circulatory impedance, interface pressures and inflammatory response. There was evidence for PCD-induced circulatory impedance in most test conditions. Interface pressures varied considerably between both PCDs and participants, with a mean value of 137.4±69.7 mmHg. In some cases, penile skin was noted to be sensitive to loading with elevated concentration of the cytokine IL-1α after 10 mins wear, indicating an inflammatory response. IL-1α levels were restored to baseline 40 mins following PCD removal. Skin health measures indicated tissue and blood flow compromise during the 50 mins of testing using all PCDs. Although there was an elevation in pro-inflammatory cytokines, PCDs did not cause sustained irritation and skin health measures recovered 40 mins after PCD removal. This research indicates that application of a clamp for one hour with an equal clamp free time before reapplication is likely to be safe. Longer periods are often recommended by manufacturers but have yet to be tested.

摘要

阴茎压迫装置(PCD)或夹子用于压迫尿道,防止尿失禁(UI)。与尿垫相比,PCD更安全,漏尿的可能性更小,使男性有机会参与短期剧烈活动。然而,它们使用起来不舒服,可能导致压疮(PU)并影响阴茎血流。尚未进行客观的组织健康评估以评估和比较不同的PCD设计,并为安全使用提供指导。本研究旨在评估现有PCD的生理反应和压力性损伤的可能性。六名前列腺切除术后尿失禁的男性在受控实验室环境中,以随机顺序在有效压力下测试了四种选定的PCD。使用客观方法评估皮肤损伤,对PCD进行原位测量,以评估其对循环阻抗、界面压力和炎症反应的影响。在大多数测试条件下,有证据表明PCD会引起循环阻抗。PCD和参与者之间的界面压力差异很大,平均值为137.4±69.7 mmHg。在某些情况下,发现佩戴10分钟后阴茎皮肤对细胞因子IL-1α浓度升高的负荷敏感,表明存在炎症反应。去除PCD后40分钟,IL-1α水平恢复到基线。皮肤健康测量表明,在使用所有PCD进行50分钟测试期间,组织和血流受到损害。尽管促炎细胞因子有所升高,但PCD并未引起持续刺激,去除PCD后40分钟皮肤健康指标恢复。这项研究表明,使用夹子一小时,重新使用前有相等的无夹时间,可能是安全的。制造商通常建议使用更长的时间,但尚未进行测试。

https://cdn.ncbi.nlm.nih.gov/pmc/blobs/011e/6603992/07ea5c1079d0/MDER-12-235-g0001.jpg

相似文献

1
Tissue response to applied loading using different designs of penile compression clamps.
Med Devices (Auckl). 2019 Jun 27;12:235-243. doi: 10.2147/MDER.S188888. eCollection 2019.
2
Penile compression devices for the treatment of urinary incontinence: current status and future prospects.
Expert Rev Med Devices. 2024 Sep;21(9):811-817. doi: 10.1080/17434440.2024.2400092. Epub 2024 Sep 4.
3
A trial of devices for urinary incontinence after treatment for prostate cancer.
BJU Int. 2015 Sep;116(3):432-42. doi: 10.1111/bju.13016. Epub 2015 Apr 6.
4
Penile compression clamps: A model of the internal mechanical state of penile soft tissues.
Neurourol Urodyn. 2017 Aug;36(6):1645-1650. doi: 10.1002/nau.23172. Epub 2016 Nov 15.
5
Use of an occlusive penile clamp during filling cystometry in men with symptoms of stress urinary incontinence.
Low Urin Tract Symptoms. 2019 May;11(3):133-138. doi: 10.1111/luts.12249. Epub 2018 Dec 18.
7
The influence of incontinence pads moisture at the loaded skin interface.
J Tissue Viability. 2019 Aug;28(3):125-132. doi: 10.1016/j.jtv.2019.05.002. Epub 2019 May 29.
9
Conservative management for postprostatectomy urinary incontinence.
Cochrane Database Syst Rev. 2012 Jan 18;1:CD001843. doi: 10.1002/14651858.CD001843.pub4.
10
The penile clamp: medieval pain or makeshift gain?
Neurourol Urodyn. 2015 Feb;34(2):115-6. doi: 10.1002/nau.22597. Epub 2014 Mar 26.

引用本文的文献

1
Technology for managing incontinence: What are the research priorities?
Proc Inst Mech Eng H. 2024 Jun;238(6):688-703. doi: 10.1177/09544119241233639. Epub 2024 Mar 19.

本文引用的文献

1
Effect of wavelength and beam width on penetration in light-tissue interaction using computational methods.
Lasers Med Sci. 2017 Nov;32(8):1909-1918. doi: 10.1007/s10103-017-2317-4. Epub 2017 Sep 12.
3
Penile compression clamps: A model of the internal mechanical state of penile soft tissues.
Neurourol Urodyn. 2017 Aug;36(6):1645-1650. doi: 10.1002/nau.23172. Epub 2016 Nov 15.
4
Urethral diverticulum: a potential hazard of penile clamp application for male urinary incontinence.
BMJ Case Rep. 2015 Apr 9;2015:bcr2015209957. doi: 10.1136/bcr-2015-209957.
5
A trial of devices for urinary incontinence after treatment for prostate cancer.
BJU Int. 2015 Sep;116(3):432-42. doi: 10.1111/bju.13016. Epub 2015 Apr 6.
6
How do microclimate factors affect the risk for superficial pressure ulcers: a mathematical modeling study.
J Tissue Viability. 2011 Aug;20(3):81-8. doi: 10.1016/j.jtv.2010.10.002. Epub 2010 Nov 5.
7
Vacuum therapy in erectile dysfunction--science and clinical evidence.
Int J Impot Res. 2010 Jul-Aug;22(4):211-9. doi: 10.1038/ijir.2010.4. Epub 2010 Apr 22.
9
EPUAP classification system for pressure ulcers: European reliability study.
J Adv Nurs. 2007 Dec;60(6):682-91. doi: 10.1111/j.1365-2648.2007.04474.x.
10
Spousal responses to prostate cancer: an integrative review.
Cancer Invest. 2006 Mar;24(2):192-8. doi: 10.1080/07357900500524652.

文献AI研究员

20分钟写一篇综述,助力文献阅读效率提升50倍。

立即体验

用中文搜PubMed

大模型驱动的PubMed中文搜索引擎

马上搜索

文档翻译

学术文献翻译模型,支持多种主流文档格式。

立即体验