Int J Epidemiol. 2020 Feb 1;49(1):173-192. doi: 10.1093/ije/dyz099.
Although high-density lipoprotein (HDL) and non-HDL cholesterol have opposite associations with coronary heart disease, multi-country reports of lipid trends only use total cholesterol (TC). Our aim was to compare trends in total, HDL and non-HDL cholesterol and the total-to-HDL cholesterol ratio in Asian and Western countries.
We pooled 458 population-based studies with 82.1 million participants in 23 Asian and Western countries. We estimated changes in mean total, HDL and non-HDL cholesterol and mean total-to-HDL cholesterol ratio by country, sex and age group.
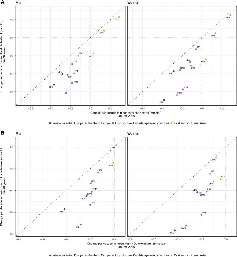
Since ∼1980, mean TC increased in Asian countries. In Japan and South Korea, the TC rise was due to rising HDL cholesterol, which increased by up to 0.17 mmol/L per decade in Japanese women; in China, it was due to rising non-HDL cholesterol. TC declined in Western countries, except in Polish men. The decline was largest in Finland and Norway, at ∼0.4 mmol/L per decade. The decline in TC in most Western countries was the net effect of an increase in HDL cholesterol and a decline in non-HDL cholesterol, with the HDL cholesterol increase largest in New Zealand and Switzerland. Mean total-to-HDL cholesterol ratio declined in Japan, South Korea and most Western countries, by as much as ∼0.7 per decade in Swiss men (equivalent to ∼26% decline in coronary heart disease risk per decade). The ratio increased in China.
HDL cholesterol has risen and the total-to-HDL cholesterol ratio has declined in many Western countries, Japan and South Korea, with only a weak correlation with changes in TC or non-HDL cholesterol.
虽然高密度脂蛋白(HDL)和非高密度脂蛋白胆固醇与冠心病呈相反关联,但多个国家的脂质趋势报告仅使用总胆固醇(TC)。我们的目的是比较亚洲和西方国家的总胆固醇、HDL 胆固醇和非 HDL 胆固醇以及总胆固醇与 HDL 胆固醇比值的趋势。
我们汇总了来自 23 个亚洲和西方国家的 458 项基于人群的研究,共涉及 8210 万名参与者。我们根据国家、性别和年龄组估计了总胆固醇、HDL 胆固醇和非 HDL 胆固醇以及总胆固醇与 HDL 胆固醇比值的变化。
自 1980 年以来,亚洲国家的平均 TC 升高。在日本和韩国,TC 升高是由于 HDL 胆固醇升高所致,日本女性每十年升高高达 0.17mmol/L;在中国,是由于非 HDL 胆固醇升高所致。除波兰男性外,西方国家的 TC 下降。芬兰和挪威的下降幅度最大,约为 0.4mmol/L 每十年。大多数西方国家 TC 的下降是 HDL 胆固醇升高和非 HDL 胆固醇下降的净效应,新西兰和瑞士的 HDL 胆固醇升高幅度最大。日本、韩国和大多数西方国家的总胆固醇与 HDL 胆固醇比值下降,瑞士男性下降幅度最大,每十年下降约 0.7(相当于每十年冠心病风险降低约 26%)。中国的比值上升。
在许多西方国家、日本和韩国,HDL 胆固醇升高,总胆固醇与 HDL 胆固醇比值下降,与 TC 或非 HDL 胆固醇的变化相关性较弱。