• 文献检索
  • 文档翻译
  • 深度研究
  • 学术资讯
  • Suppr Zotero 插件Zotero 插件
  • 邀请有礼
  • 套餐&价格
  • 历史记录
应用&插件
Suppr Zotero 插件Zotero 插件浏览器插件Mac 客户端Windows 客户端微信小程序
定价
高级版会员购买积分包购买API积分包
服务
文献检索文档翻译深度研究API 文档MCP 服务
关于我们
关于 Suppr公司介绍联系我们用户协议隐私条款
关注我们

Suppr 超能文献

核心技术专利:CN118964589B侵权必究
粤ICP备2023148730 号-1Suppr @ 2026

文献检索

告别复杂PubMed语法,用中文像聊天一样搜索,搜遍4000万医学文献。AI智能推荐,让科研检索更轻松。

立即免费搜索

文件翻译

保留排版,准确专业,支持PDF/Word/PPT等文件格式,支持 12+语言互译。

免费翻译文档

深度研究

AI帮你快速写综述,25分钟生成高质量综述,智能提取关键信息,辅助科研写作。

立即免费体验

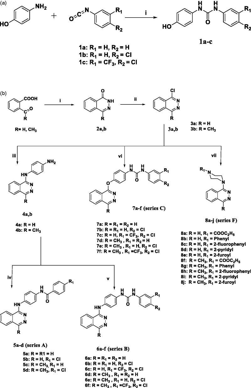
基于邻苯二甲酰亚胺的化合物的设计与合成作为潜在的抗血管生成活性的抗肿瘤药物通过 VEGFR-2 抑制。

Design and synthesis of phthalazine-based compounds as potent anticancer agents with potential antiangiogenic activity via VEGFR-2 inhibition.

机构信息

a Pharmaceutical Organic Chemistry Department, Faculty of Pharmacy , Cairo University , Cairo , Egypt.

b Pharmaceutical Chemistry Department, Faculty of Pharmacy , Nahda University , Beni Suef , Egypt.

出版信息

J Enzyme Inhib Med Chem. 2019 Dec;34(1):1347-1367. doi: 10.1080/14756366.2019.1642883.

DOI:10.1080/14756366.2019.1642883
PMID:31322015
原文链接:https://pmc.ncbi.nlm.nih.gov/articles/PMC6691788/
Abstract

In the designed compounds, either a biarylamide or biarylurea moiety or an N-substituted piperazine motif was linked to position 1 of the phthalazine core. The anti-proliferative activity of the synthesised compounds revealed that eight compounds () exhibited excellent broad spectrum cytotoxic activity in NCI 5-log dose assays against the full 60 cell panel with GI values ranging from 0.15 to 8.41 µM. Moreover, the enzymatic assessment of the synthesised compounds against VEGFR-2 tyrosine kinase showed the significant inhibitory activities of the biarylureas () with ICs of 4.4, 2.7 and 2.5 μM, respectively, and with 79.83, 72.58 and 71.6% inhibition of HUVEC at 10 μM, respectively. Additionally, compounds ( were found to induce cell cycle arrest at S phase boundary. Compound triggered a concurrent increase in cleaved caspase-3 expression level, indicating the apoptotic-induced cell death.

摘要

在设计的化合物中,要么是联苯甲酰胺或联苯脲部分,要么是 N-取代哌嗪基序连接到苯并嗪核的 1 位。所合成化合物的抗增殖活性表明,有 8 种化合物()在 NCI 5 对数剂量测定中对完整的 60 个细胞系表现出优异的广谱细胞毒性活性,GI 值范围为 0.15 至 8.41 μM。此外,对合成化合物对 VEGFR-2 酪氨酸激酶的酶评估表明,联苯脲()具有显著的抑制活性,IC 分别为 4.4、2.7 和 2.5 μM,在 10 μM 时对 HUVEC 的抑制率分别为 79.83%、72.58%和 71.6%。此外,化合物()被发现诱导细胞周期停滞在 S 期边界。化合物 触发了裂解 caspase-3 表达水平的同时增加,表明诱导细胞凋亡死亡。

https://cdn.ncbi.nlm.nih.gov/pmc/blobs/26f7/6691788/4fd6c61dd279/IENZ_A_1642883_F0013_C.jpg
https://cdn.ncbi.nlm.nih.gov/pmc/blobs/26f7/6691788/169d2c8db57b/IENZ_A_1642883_F0001_B.jpg
https://cdn.ncbi.nlm.nih.gov/pmc/blobs/26f7/6691788/e117eb4f2d7e/IENZ_A_1642883_F0002_C.jpg
https://cdn.ncbi.nlm.nih.gov/pmc/blobs/26f7/6691788/88f09970c01f/IENZ_A_1642883_SCH0001_B.jpg
https://cdn.ncbi.nlm.nih.gov/pmc/blobs/26f7/6691788/29725ef9cb05/IENZ_A_1642883_SCH0002_B.jpg
https://cdn.ncbi.nlm.nih.gov/pmc/blobs/26f7/6691788/c6d146db3dd2/IENZ_A_1642883_SCH0003_B.jpg
https://cdn.ncbi.nlm.nih.gov/pmc/blobs/26f7/6691788/ef4bf9c059f1/IENZ_A_1642883_F0003_B.jpg
https://cdn.ncbi.nlm.nih.gov/pmc/blobs/26f7/6691788/789d5cdffe51/IENZ_A_1642883_F0004_C.jpg
https://cdn.ncbi.nlm.nih.gov/pmc/blobs/26f7/6691788/72f2f1ee8c42/IENZ_A_1642883_F0005_C.jpg
https://cdn.ncbi.nlm.nih.gov/pmc/blobs/26f7/6691788/a21ad7f22c81/IENZ_A_1642883_F0006_C.jpg
https://cdn.ncbi.nlm.nih.gov/pmc/blobs/26f7/6691788/c3134cdc26a2/IENZ_A_1642883_F0007_C.jpg
https://cdn.ncbi.nlm.nih.gov/pmc/blobs/26f7/6691788/9d2331d2fd9c/IENZ_A_1642883_F0008_B.jpg
https://cdn.ncbi.nlm.nih.gov/pmc/blobs/26f7/6691788/93144560db0f/IENZ_A_1642883_F0009_B.jpg
https://cdn.ncbi.nlm.nih.gov/pmc/blobs/26f7/6691788/a1c162d90462/IENZ_A_1642883_F0010_B.jpg
https://cdn.ncbi.nlm.nih.gov/pmc/blobs/26f7/6691788/07f266d9680c/IENZ_A_1642883_F0011_C.jpg
https://cdn.ncbi.nlm.nih.gov/pmc/blobs/26f7/6691788/89b5bb77bed4/IENZ_A_1642883_F0012_C.jpg
https://cdn.ncbi.nlm.nih.gov/pmc/blobs/26f7/6691788/4fd6c61dd279/IENZ_A_1642883_F0013_C.jpg
https://cdn.ncbi.nlm.nih.gov/pmc/blobs/26f7/6691788/169d2c8db57b/IENZ_A_1642883_F0001_B.jpg
https://cdn.ncbi.nlm.nih.gov/pmc/blobs/26f7/6691788/e117eb4f2d7e/IENZ_A_1642883_F0002_C.jpg
https://cdn.ncbi.nlm.nih.gov/pmc/blobs/26f7/6691788/88f09970c01f/IENZ_A_1642883_SCH0001_B.jpg
https://cdn.ncbi.nlm.nih.gov/pmc/blobs/26f7/6691788/29725ef9cb05/IENZ_A_1642883_SCH0002_B.jpg
https://cdn.ncbi.nlm.nih.gov/pmc/blobs/26f7/6691788/c6d146db3dd2/IENZ_A_1642883_SCH0003_B.jpg
https://cdn.ncbi.nlm.nih.gov/pmc/blobs/26f7/6691788/ef4bf9c059f1/IENZ_A_1642883_F0003_B.jpg
https://cdn.ncbi.nlm.nih.gov/pmc/blobs/26f7/6691788/789d5cdffe51/IENZ_A_1642883_F0004_C.jpg
https://cdn.ncbi.nlm.nih.gov/pmc/blobs/26f7/6691788/72f2f1ee8c42/IENZ_A_1642883_F0005_C.jpg
https://cdn.ncbi.nlm.nih.gov/pmc/blobs/26f7/6691788/a21ad7f22c81/IENZ_A_1642883_F0006_C.jpg
https://cdn.ncbi.nlm.nih.gov/pmc/blobs/26f7/6691788/c3134cdc26a2/IENZ_A_1642883_F0007_C.jpg
https://cdn.ncbi.nlm.nih.gov/pmc/blobs/26f7/6691788/9d2331d2fd9c/IENZ_A_1642883_F0008_B.jpg
https://cdn.ncbi.nlm.nih.gov/pmc/blobs/26f7/6691788/93144560db0f/IENZ_A_1642883_F0009_B.jpg
https://cdn.ncbi.nlm.nih.gov/pmc/blobs/26f7/6691788/a1c162d90462/IENZ_A_1642883_F0010_B.jpg
https://cdn.ncbi.nlm.nih.gov/pmc/blobs/26f7/6691788/07f266d9680c/IENZ_A_1642883_F0011_C.jpg
https://cdn.ncbi.nlm.nih.gov/pmc/blobs/26f7/6691788/89b5bb77bed4/IENZ_A_1642883_F0012_C.jpg
https://cdn.ncbi.nlm.nih.gov/pmc/blobs/26f7/6691788/4fd6c61dd279/IENZ_A_1642883_F0013_C.jpg

相似文献

1
Design and synthesis of phthalazine-based compounds as potent anticancer agents with potential antiangiogenic activity via VEGFR-2 inhibition.基于邻苯二甲酰亚胺的化合物的设计与合成作为潜在的抗血管生成活性的抗肿瘤药物通过 VEGFR-2 抑制。
J Enzyme Inhib Med Chem. 2019 Dec;34(1):1347-1367. doi: 10.1080/14756366.2019.1642883.
2
Design, Synthesis, In Vitro Anti-cancer Activity, ADMET Profile and Molecular Docking of Novel Triazolo[3,4-a]phthalazine Derivatives Targeting VEGFR-2 Enzyme.靶向VEGFR-2酶的新型三唑并[3,4-a]酞嗪衍生物的设计、合成、体外抗癌活性、ADMET特性及分子对接
Anticancer Agents Med Chem. 2018;18(8):1184-1196. doi: 10.2174/1871520618666180412123833.
3
N-Substituted-4-phenylphthalazin-1-amine-derived VEGFR-2 inhibitors: Design, synthesis, molecular docking, and anticancer evaluation studies.N-取代-4-苯基酞嗪-1-胺衍生的VEGFR-2抑制剂:设计、合成、分子对接及抗癌评估研究
Arch Pharm (Weinheim). 2021 Mar;354(3):e2000219. doi: 10.1002/ardp.202000219. Epub 2020 Nov 16.
4
Increasing the binding affinity of VEGFR-2 inhibitors by extending their hydrophobic interaction with the active site: Design, synthesis and biological evaluation of 1-substituted-4-(4-methoxybenzyl)phthalazine derivatives.通过扩展与活性位点的疏水相互作用提高VEGFR-2抑制剂的结合亲和力:1-取代-4-(4-甲氧基苄基)酞嗪衍生物的设计、合成及生物学评价
Eur J Med Chem. 2016 May 4;113:50-62. doi: 10.1016/j.ejmech.2016.02.029. Epub 2016 Feb 15.
5
1-Piperazinylphthalazines as potential VEGFR-2 inhibitors and anticancer agents: Synthesis and in vitro biological evaluation.1-哌嗪基酞嗪作为潜在的血管内皮生长因子受体-2(VEGFR-2)抑制剂和抗癌剂:合成与体外生物学评价
Eur J Med Chem. 2016 Jan 1;107:165-79. doi: 10.1016/j.ejmech.2015.10.053. Epub 2015 Nov 5.
6
Design, Synthesis, Molecular Docking, and Anticancer Activity of Phthalazine Derivatives as VEGFR-2 Inhibitors.设计、合成、分子对接及苯并嗪衍生物作为 VEGFR-2 抑制剂的抗癌活性。
Arch Pharm (Weinheim). 2017 Dec;350(12). doi: 10.1002/ardp.201700240. Epub 2017 Nov 13.
7
New quinoxaline derivatives as VEGFR-2 inhibitors with anticancer and apoptotic activity: Design, molecular modeling, and synthesis.新型喹喔啉衍生物作为具有抗癌和促凋亡活性的 VEGFR-2 抑制剂:设计、分子模拟和合成。
Bioorg Chem. 2021 May;110:104807. doi: 10.1016/j.bioorg.2021.104807. Epub 2021 Mar 5.
8
Phthalazine-based VEGFR-2 inhibitors: Rationale, design, synthesis, in silico, ADMET profile, docking, and anticancer evaluations.基于酞嗪的 VEGFR-2 抑制剂:原理、设计、合成、计算、ADMET 概况、对接和抗癌评估。
Arch Pharm (Weinheim). 2021 Nov;354(11):e2100201. doi: 10.1002/ardp.202100201. Epub 2021 Aug 19.
9
Design, synthesis and molecular modeling study of certain VEGFR-2 inhibitors based on thienopyrimidne scaffold as cancer targeting agents.基于噻吩嘧啶骨架的 VEGFR-2 抑制剂的设计、合成与分子模拟研究及其作为癌症靶向药物。
Bioorg Chem. 2019 Mar;83:111-128. doi: 10.1016/j.bioorg.2018.10.008. Epub 2018 Oct 10.
10
Novel potent substituted 4-amino-2-thiopyrimidines as dual VEGFR-2 and BRAF kinase inhibitors.新型强效取代的 4-氨基-2-硫代嘧啶作为双重 VEGFR-2 和 BRAF 激酶抑制剂。
Eur J Med Chem. 2019 Oct 1;179:707-722. doi: 10.1016/j.ejmech.2019.06.063. Epub 2019 Jun 26.

引用本文的文献

1
Synthesis and Structure of Novel Hybrid Compounds Containing Phthalazin-1(2)-imine and 4,5-Dihydro-1-imidazole Cores and Their Sulfonyl Derivatives with Potential Biological Activities.新型含酞嗪-1(2)-亚胺和 4,5-二氢-1-咪唑核的杂合化合物及其具有潜在生物活性的磺酰衍生物的合成与结构。
Int J Mol Sci. 2024 Oct 26;25(21):11495. doi: 10.3390/ijms252111495.
2
Rationale, docking, ADMET profile, design, synthesis and cytotoxicity evaluations of phthalazine derivatives as VEGFR-2 inhibitors and apoptosis inducers.酞嗪衍生物作为VEGFR-2抑制剂和凋亡诱导剂的作用原理、对接、ADMET特性、设计、合成及细胞毒性评估
RSC Adv. 2024 Aug 27;14(37):27110-27121. doi: 10.1039/d4ra04956j. eCollection 2024 Aug 22.
3

本文引用的文献

1
Addressing Methionine in Molecular Design through Directed Sulfur-Halogen Bonds.通过定向硫-卤键在分子设计中解决甲硫氨酸问题。
J Chem Theory Comput. 2011 Jul 12;7(7):2307-15. doi: 10.1021/ct200245e. Epub 2011 Jun 17.
2
Evaluating the potential of halogen bonding in molecular design: automated scaffold decoration using the new scoring function XBScore.评估卤键在分子设计中的潜力:使用新的评分函数 XBScore 进行自动骨架修饰。
J Chem Inf Model. 2015 Mar 23;55(3):687-99. doi: 10.1021/ci5007118. Epub 2015 Feb 19.
3
New molecularly targeted therapies against advanced hepatocellular carcinoma: From molecular pathogenesis to clinical trials and future directions.
Synthesis of novel phthalazine-based derivatives with potent cytotoxicity against HCT-116 cells through apoptosis and VEGFR2 inhibition.
通过诱导凋亡和抑制VEGFR2合成具有抗HCT-116细胞强细胞毒性的新型酞嗪基衍生物。
RSC Adv. 2024 Apr 24;14(19):13027-13043. doi: 10.1039/d4ra02103g. eCollection 2024 Apr 22.
4
Repurposing Study of 4-Acyl-1-phenylaminocarbonyl-2-substituted-piperazine Derivatives as Potential Anticancer Agents-In Vitro Evaluation against Breast Cancer Cells.4-酰基-1-苯氨基羰基-2-取代哌嗪衍生物的再利用研究作为潜在的抗癌药物-体外评估对乳腺癌细胞的作用。
Int J Mol Sci. 2023 Dec 1;24(23):17041. doi: 10.3390/ijms242317041.
5
Synthesis of phthalazine-based derivatives as selective anti-breast cancer agents through EGFR-mediated apoptosis: in vitro and in silico studies.通过表皮生长因子受体(EGFR)介导的细胞凋亡合成酞嗪类衍生物作为选择性抗乳腺癌药物:体外和计算机模拟研究
BMC Chem. 2023 Jul 27;17(1):90. doi: 10.1186/s13065-023-00995-2.
6
Synthesis of Novel Phthalazinedione-Based Derivatives with Promising Cytotoxic, Anti-bacterial, and Molecular Docking Studies as VEGFR2 Inhibitors.新型基于酞嗪二酮的衍生物的合成及其作为VEGFR2抑制剂的细胞毒性、抗菌活性和分子对接研究
ACS Omega. 2022 Jun 27;7(30):26800-26811. doi: 10.1021/acsomega.2c03182. eCollection 2022 Aug 2.
7
A green microwave method for synthesizing a more stable phthalazin-1-ol isomer as a good anticancer reagent using chemical plasma organic reactions.一种利用化学等离子体有机反应合成更稳定的酞嗪-1-醇异构体作为优良抗癌试剂的绿色微波方法。
Heliyon. 2021 Mar 8;7(3):e06220. doi: 10.1016/j.heliyon.2021.e06220. eCollection 2021 Mar.
针对晚期肝细胞癌的新型分子靶向治疗:从分子发病机制到临床试验及未来方向。
Hepatol Res. 2015 Oct;45(10):E1-E11. doi: 10.1111/hepr.12459. Epub 2015 Jan 9.
4
Telatinib reverses chemotherapeutic multidrug resistance mediated by ABCG2 efflux transporter in vitro and in vivo.替拉替尼逆转 ABCG2 外排转运蛋白介导的体外和体内化疗多药耐药。
Biochem Pharmacol. 2014 May 1;89(1):52-61. doi: 10.1016/j.bcp.2014.02.012. Epub 2014 Feb 22.
5
Synthesis and antimicrobial activities of novel 1,2,4-triazolo [3,4-a] phthalazine derivatives.新型 1,2,4-三唑并[3,4-a]邻苯二甲酰亚胺衍生物的合成及抗菌活性。
Bioorg Med Chem Lett. 2014 Feb 15;24(4):1236-8. doi: 10.1016/j.bmcl.2013.12.010. Epub 2013 Dec 7.
6
Targeted therapies in hematology and their impact on patient care: chronic and acute myeloid leukemia.血液学中的靶向治疗及其对患者护理的影响:慢性和急性髓系白血病。
Semin Hematol. 2013 Oct;50(4):271-83. doi: 10.1053/j.seminhematol.2013.09.006. Epub 2013 Oct 3.
7
Substituted 2-hydroxy-N-(arylalkyl)benzamides induce apoptosis in cancer cell lines.取代 2-羟基-N-(芳烷基)苯甲酰胺诱导癌细胞凋亡。
Eur J Med Chem. 2013 Oct;68:253-9. doi: 10.1016/j.ejmech.2013.08.009. Epub 2013 Aug 14.
8
Principles and applications of halogen bonding in medicinal chemistry and chemical biology.卤键在药物化学和化学生物学中的原理与应用。
J Med Chem. 2013 Feb 28;56(4):1363-88. doi: 10.1021/jm3012068. Epub 2013 Jan 3.
9
Vascular endothelial growth factor (VEGF) receptors: drugs and new inhibitors.血管内皮生长因子 (VEGF) 受体:药物和新的抑制剂。
J Med Chem. 2012 Dec 27;55(24):10797-822. doi: 10.1021/jm301085w. Epub 2012 Nov 6.
10
Type II kinase inhibitors: an opportunity in cancer for rational design.II 型激酶抑制剂:癌症治疗中理性设计的机会。
Anticancer Agents Med Chem. 2013 Jun;13(5):731-47. doi: 10.2174/1871520611313050008.