Suppr超能文献

酪朊复合颗粒的制备及特性研究——通过静电复合酪蛋白-果胶复合物对酸性水介质中结构稳定性的改善

Fabrication and Characterization of Zein Composite Particles Coated by Caseinate-Pectin Electrostatic Complexes with Improved Structural Stability in Acidic Aqueous Environments.

机构信息

Department of Food Science & Engineering, School of Agriculture and Biology, Shanghai Jiao Tong University, Shanghai 200240, China.

Department of Nutrition and Food Science, University of Maryland, College Park, MD 20742, USA.

出版信息

Molecules. 2019 Jul 11;24(14):2535. doi: 10.3390/molecules24142535.

Abstract

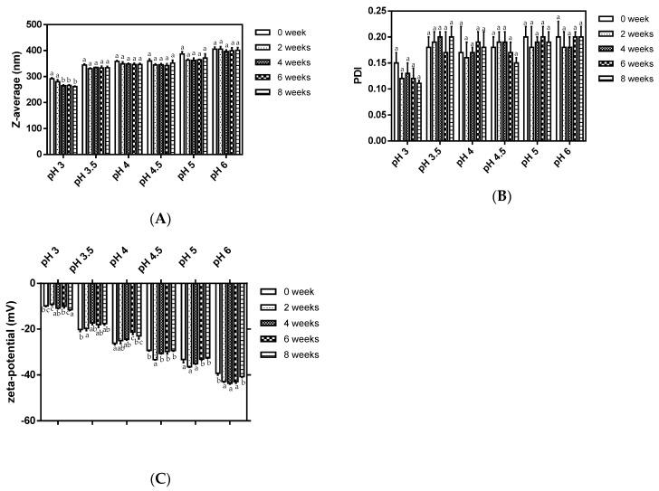
Zein composite particles coated with caseinate-pectin electrostatic complexes (zein-caseinate-pectin particles) were fabricated using an electrostatic deposition and liquid-liquid dispersion method without heating treatment. Compared to zein particles coated only with caseinate, the acidic stability of zein-caseinate-pectin particles was greatly improved, and the particle aggregation was suppressed at pH 3-6, especially at pH values near the isoelectric point of caseinate (pH 4-5). Besides, desirable long-term storage stability and re-dispersibility were observed. Under different zein to curcumin (Cur) feeding ratios (10:1, 20:1, 30:1 and 40:1, /), the Cur-loaded zein-caseinate-pectin particles had a spherical shape with an average diameter ranging from 358.37 to 369.20 nm, a narrow size distribution (polydispersity index < 0.2) and a negative surface charge ranging from -18.87 to -19.53 mV. The relatively high encapsulation efficiencies of Cur (81.27% to 94.00%) and desirable re-dispersibility were also achieved. Fluorescence spectroscopy indicated that the encapsulated Cur interacted with carrier materials mainly through hydrophobic interactions. The release profile showed a sustained release of Cur from zein-caseinate-pectin particles in acidic aqueous environment (pH 4) up to 24 h, without any burst effect. In addition, the encapsulation retained more ABTS radical scavenging capacity of Cur during 4 weeks of storage. These results suggest that zein-caseinate-pectin particles may be used as a potential delivery system for lipophilic nutrients in acidic beverages.

摘要

采用静电沉积和液-液分散法制备了酪蛋白-果胶静电复合物包覆的玉米醇溶蛋白复合粒子(zein-caseinate-pectin 粒子),无需热处理。与仅包覆有酪蛋白的玉米醇溶蛋白粒子相比,zein-caseinate-pectin 粒子的酸性稳定性得到了极大的提高,在 pH3-6 时抑制了粒子聚集,特别是在接近酪蛋白等电点(pH4-5)时。此外,还观察到了良好的长期储存稳定性和再分散性。在不同的玉米醇溶蛋白与姜黄素(Cur)进料比(10:1、20:1、30:1 和 40:1,/)下,载有 Cur 的 zein-caseinate-pectin 粒子呈球形,平均直径为 358.37 至 369.20nm,粒径分布较窄(多分散指数<0.2),表面带负电荷,范围为-18.87 至-19.53mV。还实现了相对较高的 Cur 包封效率(81.27%至 94.00%)和良好的再分散性。荧光光谱表明,包封的 Cur 与载体材料主要通过疏水相互作用相互作用。释放曲线表明,Cur 从 zein-caseinate-pectin 粒子在酸性水相环境(pH4)中持续释放长达 24 小时,没有任何突释效应。此外,在 4 周的储存过程中,包封保留了更多的 Cur 对 ABTS 自由基的清除能力。这些结果表明,zein-caseinate-pectin 粒子可用作酸性饮料中脂溶性营养素的潜在递送系统。

https://cdn.ncbi.nlm.nih.gov/pmc/blobs/5d9b/6681193/491cb0b103cd/molecules-24-02535-g001.jpg

文献检索

告别复杂PubMed语法,用中文像聊天一样搜索,搜遍4000万医学文献。AI智能推荐,让科研检索更轻松。

立即免费搜索

文件翻译

保留排版,准确专业,支持PDF/Word/PPT等文件格式,支持 12+语言互译。

免费翻译文档

深度研究

AI帮你快速写综述,25分钟生成高质量综述,智能提取关键信息,辅助科研写作。

立即免费体验